доцент, Ташкентский институт текстильной и легкой промышленности, Узбекистан, г. Ташкент
ИСПОЛЬЗОВАНИЕ ЭКСТРАКТА - Lamiáceae ДЛЯ ЗАЩИТЫ ШЕРСТЯНОГО ВОЛОКНА ОТ МОЛИ
АННОТАЦИЯ
В данной статье приведены исследования по приданию молезащитных свойств шерстяному волокну местной породы "Каракуль" диаметром 58,86 мкм и длиной 11-14 мм, выступающему в качестве объекта исследования. В отличие от традиционных технологий, для придания шерстяному волокну молезащитных свойств с целью обеспечения безопасности труда и экологической безопасности использовали экстракт натурального репеллента - Lamiáceae. Благодаря наличию в составе эфирного масла Lamiáceae ряда трудноразлагаемых соединений 26,14-57,07% линалоола и 9,08-24,45% линалилацетата, удалось защитить кератиновый белок шерсти от личинок моли. После выделения Lamiáceae - экстракта лаванды на установке "SOX406" из него были приготовлены водные растворы различной концентрации. При окрашивании образцов полушерстяных тканей был предложен двухэтапный периодический и непрерывный способ окрашивания путем совместного применения натурального красителя - Кармина и эфирного масла растения Лаванды (Lamiaceae). В зависимости от концентрации водного экстракта Лаванды, молезащитные свойства смешанной волокнистой ткани оценивали по потере массы ткани и повреждению образцов в соответствии с ГОСТ 9.055-75.
ABSTRACT
This article presents research on imparting mole-proof properties to wool fiber of the local Karakul breed with a diameter of 58.86 microns and a length of 11-14 mm, which serves as the object of research. Unlike traditional technologies, an extract of a natural repellent - Lamiáceae - was used to impart moth-proof properties to wool fiber in order to ensure occupational safety and environmental safety. Due to the presence of a number of difficult-to-degrade compounds in the essential oil of Lamiáceae (26.14-57.07% linalool and 9.08-24.45% linalyl acetate), it was possible to protect the keratin protein of wool from moth larvae.
After isolating Lamiáceae, a lavender extract, using the SOX406 installation, aqueous solutions of various concentrations were prepared from it. When dyeing samples of wool blend fabrics, a two-stage periodic and continuous dyeing method was proposed by combining the use of natural dye - Carmine and essential oil of the Lavender plant (Lamiaceae). Depending on the concentration of Lavender aqueous extract, the mole-protective properties of mixed fibrous fabric were assessed by tissue weight loss and damage to samples in accordance with GOST 9.055-75.
Ключевые слова: шерстяная ткань, молезащитная отделка, заключительная отделка, интенсивность окраски, состав, крашение, концентрация, прочность.
Keywords: wool fabric, mothproof finishing, final finishing, color intensity, composition, dyeing, concentration, strength.
Введение. Инновационные навыки, направленные на экономию ресурсов, защиту окружающей среды, изготовление экологически чистой и соответствующей стандартам продукции, а также достижение экономической и социальной эффективности, является сегодня одним из главных и актуальных вопросов экономического роста и промышленного развития страны [1]. Поэтому применяемая при отделке смесь известного состава и количества веществ, называемая аппретом делится на две группы: смываемые и несмываемые. Смываемые аппреты уходят после первой стирки ткани, несмываемые - после 5 стирок. Несмотря на то, что смываемые аппреты уходят при первой стирке, они широко используются в промышленности. Очень часто применяют также несмываемые аппреты. В их состав входят синтетические смолы, термопластичные полимеры, эластомеры. Эти вещества используются в виде эмульсий [2]. Качество ткани после заключительной отделки измеряется не только ее внешними характеристиками, но и удлинением срока службы этой ткани.
Теоретические исследования. Для молезащитной отделки шерстяных изделий используются такие алкалоиды как, например, хинин, никотин, брусин, кофеин. Эти соединения, относящиеся к классу терпенов, являются перспективными для придания молезащитной отделки. Помимо этих соединений, красители на растительной основе, содержащие биологически активные соединения [3], наряду с окрашиванием, могут придавать тканям антибактериальные, защитные от ультрафиолета, антиоксидантные и другие полезные свойства [4].
Химические реагенты, используемые в целях защиты шерсти от насекомых, направлены на повышение ее устойчивости к вредителям. Эти вещества помогают защищать поверхность шерстяного волокна, уничтожая вредителей, особенно насекомых и бактерий.
Обычно для придания шерсти молеустойчивых свойств используют различные соединения, в том числе Пиретрин, Эдолан/Эулан U33 и Митин ФФ [5]. Однако эти ингредиенты токсичны, вызывают аллергию на коже и неэффективны в обеспечении шерсти защитными свойствами от моли.
В настоящее время проводятся исследования по возможности совмещения процессов крашения и заключительной отделки шерсти с целью повышения эффективности процесса молезащитной отделки [6].
Методическая часть. В настоящей работе исследования по возможности совмещения процессов крашения натуральными красителями и молезащитной отделки шерсти проводились двумя способами: периодическим и непрерывным.
По периодическому способу шерстяное волокно обрабатывалось в начале в растворе следующего состава: натуральный карминовый краситель (3-10% от массы волокна), глицерин (2,0 г/л), гидросульфит натрия (2,0 г/л) и уксусная кислота (до рН 4,5-5) в течение 30 мин при температуре 50оС и при модуле ванны 1:40. После чего в целях придания молезащитной отделки следовала обработка в водном растворе экстракта Лаванды (10-20 % от массы волокна) в течение 30 мин. Далее следовала промывка в холодной воде, теплой 40оС–ной воде и снова в холодной и теплой воде.
По непрерывному же способу шерстяные волокна пропитывались в растворе, содержащем натуральный карминовый краситель (3-10% от массы волокна), глицерин (2,0 г/л), гидросульфит натрия (2,0 г/л) и уксусную кислоту (до рН 4,5-5) и в этой же ванне водный раствор экстракта Лаванды (10-20 % от массы волокна) в течение 10 мин при температуре 50оС. Далее следовал процесс запаривания в течение 5 мин при температуре 105оС. Процесс промывки аналогичен периодическому способу.
Крашение шерстяного волокна натуральными красителями и молезащитная отделка осуществлялась на приборе DL-2003 Water Bath Shaker. Все прочностные качественные характеристики определяли в условиях лаборатории при “Kor-Uz Textile Texnopark”. Молезащитные свойства оценивались по ГОСТу 9.055-75.
Результаты и обсуждение. Объектом данной исследовательской работы является шерстяное волокно породы "Каракуль." Содержание жиров в волокне составляет 11,2%, количество отходов 2,4% и влажность 5,3%.
В экспериментах были изучены возможности придания шерстяным волокнам молезащитных свойств с использованием природных препаратов и с применением классов красителей, образующих прочные окраски на шерсти.
Лаванда – известное средство, используемое в домашних условиях, в виде эфира для защиты шерстяных изделий от моли. Однако сильно пахнущие вещества, в данном случае эфиры, могут вызывать аллергию, оставлять пятна на одежде в местах контакта. Кроме того, вследствие их летучести молезащитные свойства шерсти снижаются.
В отличие от способов и препаратов, описанных ранее, в данном исследовании молезащитная отделка проводилась совмещенным способом одновременно с окрашиванием шерсти натуральным красителем. Благодаря применению совмещенной технологии крашения натуральным красителем и молезащитной отделки были достигнуты положительные результаты в плане прочности окраски и молезащитных свойств при использовании эфирного лавандового масла Lamiáceae, содержащего ряд трудноразлагаемых, органических и ароматических соединений. После выделения экстракта Лаванды - Lamiáceae на установке "SOX406" из него были приготовлены водные растворы различной концентрации. В соответствии с ГОСТом 9.055-75 оценивали свойства шерстяных волокон по потере веса и повреждению образцов в зависимости от концентрации водного экстракта лаванды. Обработка водным экстрактом лаванды проводилась периодическим и непрерывным методами. Результаты эксперимента приведены на рисунке 1.
/Islamova.files/image001.jpg)
Рисунок 1. Зависимость молезащитных свойств волокон шерсти от концентрации водного экстракта лаванды
Результаты экспериментов показали, что повреждение волокна и снижение массы ткани до 4,3% у необработанных образцов свидетельствуют о полном разрушении белковой части шерстяного волокна - кератина под влиянием пищеварительных ферментов желудочного сока личинок моли, тогда как у обработанных водными растворами экстракта Лаванды образцов повреждение минимально, что указывает на правильность выбора молезащитного средства.
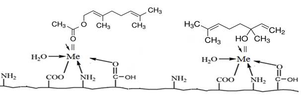
В связи с тем, что превышение концентрации экстракта более 20% практически не повлияло на молезащитные свойства волокон, для дальнейших исследований была принята 20%-ная концентрация водного раствора экстракта Лаванды. Непрерывный метод совмещенного крашения и отделки шерстяных волокон дал несколько лучшие результаты, чем периодический метод поскольку в непрерывном способе присутствует операция запаривания, в результате которой и происходит связывание аминогрупп кератина шерсти с группами Линалоол-C10H18O, Линалил ацетат - C12H20O2 экстракта Лаванды, что приводит к соединению и сшиванию двух полипептидных цепей и как следствие к повышению молезащитных свойств, так как Линалоол и Линалил могут оказывать антибактериальное и антиоксидантное действие за счет образования биологически активных соединений с шерстяным волокном (рис. 2).
/Islamova.files/image002.jpg)
Рисунок 2. Схема связей, возникающих между Линалоолом и Линалил ацетатом и кератином шерсти
В последующих исследованиях были проведены экспериментальные работы по определению молестойкости окрашенных образцов. Окрашенные образцы выдерживали в термостате с молью при температуре 24,5±1оС и влажности 65±8% в течение 14 дней.
Молестойкость обработанных образцов оценивали по ГОСТ 9.055-75. Полученные экспериментальные результаты представлены на рисунке 3.
/Islamova.files/image003.jpg)
Рисунок 3. Показатели молезащитных свойств окрашенных образцов
Приведенные результаты показывают, что введение в процесс крашения экстракта лаванды повышает молезащитные свойства шерстяных волокон, потеря массы уменьшилась на 87,8-89,2%. Помимо придания молезащитных свойств совмещенный процесс крашения и отделки позволяет сократить длительность процесса обработки шерстяных волокон.
Заключение. Таким образом, результаты эксперимента показали эффективность проведения предлагаемого способа придания молезащитных свойств совместно с окрашиванием. Предлагаемая схема совмещенного крашения и молезащитной отделки природными препаратами обеспечивает безопасность труда и экологическую безопасность. Помимо всего прочего повышается экономическая эффективность процесса за счет сокращения длительности обработки шерсти, сокращения расходов на электроэнергию и воду путем совмещения процессов крашения и отделки шерстяных волокон.
Список литературы:
- Khusniddin Ismoilov, Sachin Chauhan, Mingxing Yang, Islamova Zulaykho, Quan Heng. Preparation and Application of Anionic and Cationic Waterborne Polyurethanes and Graphene-Cellulose Nanocrystal as an Antistatic Agent for Cashmere // Scientific Research Publishing «Graphene» New York-2019, Oct. 8. – 19-31 p.p.
- H.N.Ismoilov, H.Quan, D.B.Matkarimova, Z.Sh.Islamova Improvements of the Antistatic and Antipilling Properties of Cashmere Fabric by Applying Foam Finishing Agents Based on Waterborne Polyurethane and Graphene Web of Semantics: Journal of Interdisciplinary Science 2 (4), 187-192 стр.
- Амирова Н.С. «Разработка эффективных процессов получения насыщенных и прочных окрасок на натуральном шелке», диссертация кандидата технических наук – Ташкент 2010, - 93-121 б.
- Menghan Jia, Xinhua He, Jingluan Wang, Longxiang Zhu, Zhu-Bao Shao //Effects of durable antibacterial, UV-resistant cotton fabrics with differentiated polydopamine metal complexes // Materials Letters Volume 355, 15 January 2024, 135495.
- Набиева И.А., Исламова З.Ш., Маткаримова Д., Садуллаева Г. //Применение биотехнологии в молезащитной отделке шерсти// Международный научный электронный журнал "Инновация и интеграция в образовании" Сборник 1, №30, октябрь – 2024. 129-135 стр.
- Iroda Nabiyeva, Dilnoza Matkarimova, Zulaykho Islamova, Anvar Abdumajidov // Properties of wool fiber, and environmental problems and solutions of its finishing // E3S Web of Conferences 538, 04006 (2024).