PhD, Термезский государственный университет, Республика Узбекистан, г. Термез
КОМПЛЕКСНЫЕ СОЕДИНЕНИЯ НА ОСНОВЕ СОЛЕЙ МЕДИ(II) И ИХ АНТИБАКТЕРИАЛЬНЫЕ СВОЙСТВА
АННОТАЦИЯ
В данной работе проведено исследование антибактериальной и антигрибковой активности комплексных соединений на основе солей меди (II). Биологические испытания были выполнены с использованием стандартных тест-штаммов Escherichia coli и Candida albicans, которые широко применяются для оценки антимикробной эффективности новых соединений. Экспериментальные результаты показали, что синтезированные комплексные соединения проявляют выраженную ингибирующую активность в отношении как бактериальных, так и грибковых клеток, что свидетельствует о высоком потенциале ионов меди (II) в составе координационных структур. Предполагается, что выявленный антимикробный эффект обусловлен способностью меди (II) нарушать метаболические процессы и целостность клеточных мембран микроорганизмов. Полученные данные подтверждают перспективность дальнейшего изучения солей меди (II) и их комплексных соединений в качестве основы для разработки новых антибактериальных и антигрибковых препаратов.
ABSTRACT
In this study, the antibacterial and antifungal activities of coordination compounds based on copper(II) salts were investigated. Biological assays were carried out using standard test microorganisms, namely Escherichia coli and Candida albicans, which are commonly employed for evaluating the antimicrobial potential of newly synthesized compounds. The experimental results demonstrated that the obtained copper(II)-based complexes exhibit pronounced inhibitory effects against both bacterial and fungal cells. This antimicrobial activity is likely associated with the ability of copper(II) ions to interfere with essential metabolic processes and disrupt the integrity of microbial cell membranes. The findings indicate that coordination compounds of copper(II) represent promising candidates for further development of effective antibacterial and antifungal agents. Overall, the results support the relevance of copper(II) salts as a valuable platform for the design of new antimicrobial materials.
Ключевые слова: соли меди (II), комплексные соединения, антибактериальная активность, антигрибковая активность, Escherichia coli, Candida albicans.
Keywords: copper (II) salts, complex compounds, antibacterial activity, antifungal activity, Escherichia coli, Candida albicans.
Введение
Лекарственная устойчивость является главным вызовом современной медицинской микробиологии и заставляет врачебное сообщество обращать внимание на нетрадиционные или считавшиеся устаревшими способы борьбы с инфекциями. Цель данного исследования – оценить противомикробное действие гелей на основе коллоидного хитозана и золей гидрофосфатов серебра и меди (II) в отношении грамположительных и грамотрицательных бактерий, а также дрожжевых грибков. В статье приведены данные о минимальных ингибирующих концентрациях нескольких комбинаций хитозана с гидрофосфатами серебра и меди, а также экспериментальные данные об эффективности препаратов сравнения (гентамицин и амфотерицин B). В данной работе было продемонстрировано синергетическое действие хитозана высокой молекулярной массы и нерастворимых соединений серебра, а также эффективность комбинированной композиции на основе солей меди и хитозана в отношении резистентного штамма дрожжевых грибков. В результате установлено, что исследуемые композиции на основе хитозана и нерастворимых соединений металлов обладают выраженной биологической активностью, что предполагает их потенциальную применимость в качестве противомикробных средств[1. С. 99-103, 2. C. 47-54].
/Yakubova.files/image001.png)
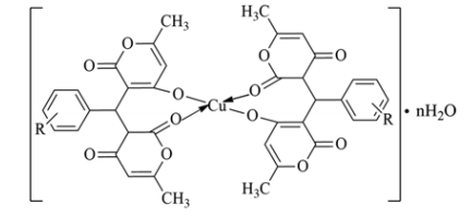
Рисунок 1. Комплексные соединения меди(II) на основе арил-метилен-бис(4-гидрокси- 6-метил-2H-пиран-2-онов) с общей формулой [3. С. 38-40].
Эти выводы согласуются с результатами предыдущих исследований где показано, что иммобилизованные металлоорганические соединения ингибируют гнойно-воспалительные процессы кожи и мягких тканей.
Механизм действия комплексных соединений объясняется нарушением функции бактериальных мембран и ингибированием метаболических процессов клеток через ионы металлов. Эти данные подчеркивают перспективность комплексных соединений на основе солей меди (II) для разработки новых антибактериальных и антигрибковых препаратов [4.С. 334-346, 5.C. 1-3].
Материалы и методы
Антибактериальная и антигрибковая активность комплексных соединений на основе солей меди (II) оценивалась с использованием стандартных микробиологических методов in vitro. В качестве тест-микроорганизмов применялись Escherichia coli и Candida albicans, выбранные как репрезентативные модели бактериальных и грибковых патогенов. Микробные культуры выращивали на соответствующих питательных средах при оптимальных температурных условиях. Антимикробную активность исследуемых соединений определяли методом диффузии в агаре, а также путем оценки зон ингибирования роста микроорганизмов. Для повышения достоверности результатов все эксперименты проводились в нескольких повторностях. Полученные данные обрабатывались статистически с использованием стандартных методов, а результаты представлялись в виде средних значений с учетом допустимой погрешности. Сравнительный анализ позволил объективно оценить эффективность комплексных соединений меди (II) в отношении исследуемых микроорганизмов.
Результаты и обсуждение
Рост числа микроорганизмов, устойчивых к антибиотикам и противогрибковым препаратам, делает поиск новых биоактивных соединений особенно актуальным. В этом контексте комплексы на основе металлов, особенно комплексы меди(II) с лигандами, проявляют значительную активность против бактериальных и грибковых патогенов.
Комплексы меди (II) демонстрируют эффективность против грамотрицательной бактерии Escherichia coli и гриба Candida albicans. В случае E. coli внешняя мембрана и липополисахаридный слой ограничивают проникновение комплексов внутрь клетки, однако они воздействуют на целостность мембраны, ингибируют синтез белка и усиливают окислительный стресс. В Candida albicans комплексы взаимодействуют с глюкановым и хитиновым слоями клеточной стенки, вызывая повреждение мембраны, нарушение её функций и ингибирование метаболических процессов, обеспечивая таким образом противогрибковую активность.
Таким образом, комплексы меди(II) обладают широким спектром биоактивности против бактериальных и грибковых патогенов и могут рассматриваться как перспективные вещества для клинического и промышленного применения.
/Yakubova.files/image003.jpg)
Рисунок 2. Антифунгальная активность синтезированных комплексных соединений против Candida albicans
На рисунке представлены результаты исследования антифунгальной активности 11 образцов, нанесённых в лунки на агаровую среду, засеянную штаммом Candida albicans. Серые зоны ингибирования вокруг лунок отражают степень подавления роста грибка исследуемыми комплексами. Наибольшая зона ингибирования отмечена у образца №11, вокруг которого наблюдается выраженное жёлтое окрашивание, указывающее на высокую антифунгальную активность.
/Yakubova.files/image005.jpg)
Рисунок 3. Результаты исследования антибактериальной активности синтезированных комплексных соединений против Escherichia coli.
На рисунке представлены результаты агаровой диффузии для оценки антибактериальной активности 11 образцов против штамма Escherichia coli. Зоны ингибирования роста бактерий вокруг лунок свидетельствуют о подавляющем действии исследуемых комплексов. Образец №11 образовал самую крупную зону ингибирования, вокруг которой наблюдается жёлтая пигментация, что может указывать на сопутствующие химические реакции или ионизацию вещества в агаре. Остальные образцы сформировали меньше выраженные или незначительные зоны подавления, что указывает на их относительно низкую активность или недостаточную концентрацию действующего вещества.
Заключение
Антибактериальная активность комплексных соединений на основе солей меди (II) была исследована на Escherichia coli и Candida albicans. Результаты испытаний показали, что все подготовленные комплексные соединения в определённой степени ингибируют рост микроорганизмов. В частности, некоторые комплексы продемонстрировали высокую активность против E. coli, что свидетельствует о их способности взаимодействовать с клеточной стенкой и мембраной бактерий.
Испытания на Candida albicans выявили также выраженные антигрибковые свойства комплексных соединений. Полученные результаты указывают на то, что комплексные соединения на основе солей меди (II) могут быть потенциальными средствами против бактериальных и грибковых инфекций.
Список литературы:
- Халимов Р. И. и др. оценка противомикробной активности биополимеров на основе хитозана, функционализированных нерастворимыми соединениями металлов //Bulletin of Medical Science. – 2021. – №. 1 (21). – С. 99-103.
- Любимова Л.В. Исследование активности антибактериальных композиций в отношении бактерий рода Proteus. Новые технологии. 2020;3: 47-54
- Арзямова Е. М., Егорова А. Ю., Бурыгин Г. Л. цитотоксическая, антибактериальная и альгицидная активность комплексных соединений меди (II) на основе арилметиленибис (4игидроксии 6иметили 2hипирани 2ионов) //Химико-фармацевтический журнал. – 2023. – Т. 57. – №. 4. – С. 38-40.
- Кадомцева А. В., Зарубенко П. А., Логинова Л. Б. Роль иммобилизованных металлоорганических соединений в комплексном лечении гнойно-воспалительных процессов кожи и мягких тканей //Новости хирургии. – 2021. – Т. 29. – №. 3. – С. 334-346.
- Ostapiuk L. Analysis of the Risk Factors of the Development of Purulent-Inflammatory Diseases. Online Journal of Gynecology and Reproductive Medicine. 2020;1(1):1-3.