д-р техн. наук, DSc, Ташкентский государственный технический университет, Узбекистан, г. Ташкент
ОПРЕДЕЛЕНИЕ МОЛЕКУЛЯРНОГО СТРОЕНИЯ ИОНИТА С ПОМОЩЬЮ ПОЛУЭМПИРИЧЕСКИХ МЕТОДОВ РАСЧЕТА
АННОТАЦИЯ
В статье представлены результаты сравнения молекулярных моделей и данные экспериментальных расчетов молекулярных характеристик предварительных продуктов синтеза с использованием компьютерных программных обеспечений. На основе вычисленных показателей были сформулированы: геометрия мономерного звена полимеров и соединений, определение компоновки атомов в пространстве. По вычисленным показателям электростатических потенциалов реагентов установлена молекулярная структура ионита, синтезированного на основе вторичных продуктов полимерного производства и аминов.
Молекулярное моделирование и расчет значения зарядов начальных соединений выполнены с помощью программных обеспечений: «Chem Office (2022)» методом Extended Huckel; «Hyper Chem» методами AM1 и PM3 и «Gausssion 09W» методами Graund state, DFT, Undestricted, B3LYP
На основании данных расчёта зарядных значений реагентов реакционной цепочки, предположено структурное строение элементарного звена макромолекулы исследуемого ионита, где в структуре имеется наличие ионогенных и активных групп, позволяющее им активно участвовать в процессах ионного обмена или поглощения ионов.
ABSTRACT
The article presents comparisons of molecular models and experimental results of calculations of molecular characteristics of preliminary synthesis products using computer software. Based on the calculated data, the geometry of the monomeric link of polymers and compounds was formulated, and the arrangements of atoms in space were determined. The calculated parameters of the electrostatic potentials of the reagents determine the molecular structure of ionite synthesized on the basis of secondary products of polymer production and amines.
Molecular modeling and calculation of the charge values of the initial compounds were performed using the following software: “Chem Office (2022)” using the Extended Huckel method; “Hyper Chem” using AM1 and PM3 methods and “Gausssion 09W” using Ground state, DFT, Undestricted, B3LYP methods.
Based on the data from the calculation of the charge values of the reagents of the reaction chain, it was assumed that the structural structure of the elementary link of the macromolecule of the ion exchanger under study was in which the presence of ionogenic and active groups in the structure of the ion exchanger allows them to actively participate in the processes of ion exchange or absorption of ions.
Ключевые слова: молекулярное строение, молекулярное моделирование, полиэтиленполиамин, вторичный продукт полимерного производства, фурфурол, энергия молекулы, зарядное значение.
Keywords: molecular structure, molecular modeling, polyethylene polyamine, a secondary product of polymer production, furfural, energy of the molecule, charging value.
Введение
В последние годы всё чаще используются полуэмпирические методы расчета с использованием программных обеспечений, которые позволяют предсказать 3D модели новых синтезированных молекул и соединений. Для химических соединений это означает открытие молекулярного состава всех компонентов в некотором веществе, их количества и их расположение по отношению друг к другу.
Результаты молекулярного моделирования позволяют понять механизмы возможных взаимодействий синтезированных соединений с потенциальными объектами. Это дает вероятность дальнейшей оптимизации синтезированных структур с учетом полученных данных в процессе проведения молекулярного моделирования и молекулярной динамики [9]. Детальное определение молекулярной структуры требует идентификацию пространственного расположения всех атомов в молекулах, то есть атомных расстояний и углов связей. Важно понимать, что трехмерная архитектура молекул во многом определяет их реакционную способность и функцию.
Существуют ряд различных компьютерных программных обеспечений, которые позволяют определить геометрию молекулы, рассчитать несколько энергетических характеристик, таких как электронная энергия, полная энергия молекулы, заряды на атомах и электростатический потенциал, и в каждой программе расчет осуществляется с помощью нескольких полуэмпирических методов. Так, например, в программе «Hyper Chem» расчет молекулярных характеристик и молекулярного моделирования осуществляется с помощью нескольких методов, но методы АМ1 и РМ3 в настоящее время считаются наиболее надежными из всех полуэмпирических методов, и в среднем обеспечивают большую точность. Однако использование более современного метода не означает, что для конкретного свойства анализируемого соединения результат расчета будет более точным. Расчет целесообразно проводить несколькими методами, сравнивая затем полученные результаты [3].
Цель работы заключается в разработке вычислительно эффективных квантовохимических методов расчета для определение молекулярного строения исследуемого ионита с помощью полуэмпирических методов
Материалы и методы исследований
Молекулярное моделирование и расчет значения зарядов начальных и синтезированных соединений были выполнены с помощью программных обеспечений: «Chem Office (2022)» методом Extended Huckel; «Hyper Chem» методами AM1 и PM3 и «Gausssion 09W» методами Graund state, DFT, Undestricted, B3LYP.
Выявлены и рассчитаны молекулярные характеристики мономерного звена макромолекулы, такие как геометрия молекулы, её энергия, зарядные значения составляющих атомов, дипольный момент и распределение электростатического потенциала молекулы.
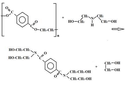
Синтез и строение конечного продукта раскрывают, исходные соединения. Так при взаимодействии аминов или аминоамидов с фурфуролом образуются различные азотсодержащие соединения. Вышеуказанные исследования направляют на синтез ВРМП (вторичных ресурсов масложирового производства), ВППП (вторичного продукта полимерной продукции) с аминами и фурфуролом, образующийся продукт взаимодействия которых представляет большой интерес и может найти широкое применение при производстве ионообменных материалов [6]. Ранее рассмотрены вопросы химической переработки ВППП с получением олигомеров.
В наших исследованиях, при взаимодействии химически переработанного ВППП с аминами и фурфуролом были получены ионообменные материалы, при этом для химической модификации ВППП в качестве аминов были использованы полиэтиленполиамин, диэтаноламин, вторичный диэтаноламин, вторичный метилдиэтаноламин, а также анилин [7]. В качестве структурирующего агента был использован фурфурол [8].
Применяемые в исследованиях ОПДЭА и отработанный метилдиэтаноламин (ОПМДЭА) представляют собой практический интерес использования их при частичной или полной замене аминов, в том числе полиэтиленполиамина. Данный вид продукта образуется при многократном и продолжительном использовании диэтаноламина (ДЭА) и метилдиэтаноламина (МДЭА) при этом абсорбционные растворы безвозвратно теряют свои эффективные эксплуатационные свойства, сохранив при этом функциональные особенности.
ИК спектры исходных соединений для создания ионита исследовали на Фурье- спектрометре Bruker Invenio S-2021, в интервале 4000‒400 см–1 ATR. ИК-спектры ВППП, полиэтиленполиамина, и фурфурола подробно изучены и представлены в работе [6].
Результаты и обсуждение.
По литературным источникам и по полученным данным ИК спектроскопии [6], было прогнозировано следующее молекулярное структурное строение для модифицированного продукта ВППП и ДЭА (рисунок 1):
|
|
|
Рисунок 1. Продукт химической переработки ВППП |
Исходя из молекулярного строения промежуточного продукта (рис.1) и структурирования последнего фурфуролом, предполагаемая структура полученного ионита может иметь структуру, представленную на рисунке 2:
|
|
|
Рисунок 2. Предполагаемое молекулярное строение синтезированного ионита |
Однако изучение и определение молекулярных характеристик всех составляющих реагентов, в частности продукта химической переработки ВППП, позволило пересмотреть наши суждения о молекулярной структуре строения синтезированного ионита.
Квантово-химические исследования и расчеты моделей изучены в работах [1; 2; 4; 5; 10], а исследование полуэмпирических орбитальных свойств продукта химической переработки ВППП и составляющих реагентов реакции синтеза ионитов были вычислены в несколько этапов. На первом этапе создали молекулярную структуру в химическом редакторе «Chem Office (2022)» и вывели молекулярные 3D модели мономерного звена макромолекулы и соединений. Также, в этой же программе методом Extended Huckel были выполнены теоретические расчеты длины связей, валентных и торсионных углов, а также конформации молекулы и общей энергии (Таблица 1).
Таблица 1.
Молекулярные характеристики мономерного звена полимеров и соединений
|
|
ВППП |
ДЭА |
ПЭПА |
фурфурол |
|
Stretch: |
1.4142 |
0.1968 |
0.0537 |
0.1869 |
|
Bend: |
5.6909 |
1.3508 |
0.2023 |
12.2499 |
|
Stretch-Bend: |
0.0939 |
0.0895 |
0.0194 |
-0.0531 |
|
Torsion: |
-7.2048 |
-0.2589 |
-0.3078 |
-2.5300 |
|
Non-1,4 VDW: |
1.1442 |
-1.2167 |
-0.4148 |
-0.3725 |
|
1,4 VDW: |
12.8705 |
3.5005 |
0.7427 |
2.0778 |
|
Dipole/Dipole: |
3.2258 |
0.0112 |
0.2261 |
5.1861 |
|
Total Energy, kcal/mol: |
17.2346 |
3.6730 |
0.5216 |
16.7451 |
Следующим этапом вычисления стало определение зарядных значений атомов составляющих молекул. С помощью программы «Hyper Chem» методами AM1 и PM3 были вычислены и определены зарядные значения атомов (рисунок 3) и 2D изображение электростатического потенциала.
|
|
|
|
а) мономерное звено ВППП |
б) мономерное звено ДЭА |
|
|
|
|
в) мономерное звено ПЭПА |
г) фурфурол |
|
Рисунок 3. Молекулярное моделирование соединений участвующих в синтезе макромолекулы |
|
Программным обеспечением «Gausssion 09W» методами Graund state, DFT, Undestricted, B3LYP были прогнозированы такие значения характеристик как энергия высшей занятой орбитали и энергий низшей свободной орбитали, а также выявлены молекулярные орбитали распределения электронов (рисунок 4):
|
Chem Office методом Extended Huckel |
Hyper Chem методами AM1 и PM3 |
Gausssion 09W Методом B3LYP |
|
|
|
|
|
мономерное звено ВППП |
||
|
|
|
|
|
мономерное звено ДЭА |
||
|
|
|
|
|
мономерное звено ПЭПА |
||
|
|
|
|
|
фурфурол |
||
|
Рисунок 4. Молекулярное моделирование соединений участвующих в синтезе макромолекулы |
||
По результатам расчета молекулярных характеристик для начальных продуктов синтеза (рисунок 3) и по зарядным значениям атомов молекулы продукта химической переработки ВППП (рисунок 5) было спрогнозировано молекулярное строение структуры для синтезированного ионита (рисунок 6) на основе вторичного продукта полимерной продукции и аминов.
|
|
|
||||||||||||||||
|
Рисунок 5. Молекулярные характеристика продукта ВППП выполненный программой Chem Office (2022) методом Extended Huckel |
|||||||||||||||||
Поскольку расчетные значение заряда у продукта химической переработки ВППП у атома водорода №25 [Н(25)] бензольного кольца – низкое (-0,372), то реакционная способность у этого водорода активная. Взаимодействие этого водорода с атомом кислорода №7 [О(7)] у молекулы фурфурола с зарядным значением (0,300) наиболее вероятна. И структурное строение молекулы синтезированного ионита можно предположить в следующем виде (рисунок 6):
|
|
|
|
Рисунок 6. Молекулярное строение элементарного звена синтезированного ионита |
|
Выводы
В результате вышеописанного исследования можно сделать следующие выводы:
- Выполнено молекулярное моделирование и расчет значения зарядов начальных соединений с помощью программных обеспечений: «Chem Office (2022)» методом Extended Huckel; «Hyper Chem» методами AM1 и PM3 и «Gausssion 09W» методами Graund state, DFT, Undestricted, B3LYP.
- Проведено предсказательное компьютерное моделирование посредством программного обеспечения «Chem Office (2022)» нового соединения – продукта химической переработки ВППП. Методом Extended Huckel были выполнены теоретические расчеты длины связей, валентных и торсионных углов, а также конформации молекулы и общей энергии.
- Основываясь на данных расчёта зарядных значений реагентов реакционной цепочки, было предположено структурное строение элементарного звена макромолекулы исследуемого ионита, которые позволяют сделать вывод о том, что наличие ионогенных и активных групп, в структуре ионита позволяют им активно участвовать в процессах ионного обмена или поглощения ионов.
Список литературы:
- Айгинина T.B., Серазетдинов А.Д., Юлдашева Г.А., Еркасов Р.Ш., Нурахметов Н.Н. Квантово-химический расчет моделей (тио)амидов карбоновых кислот // Известия АН РК. Серия: химия. – 1992. – № 4. – С.59–63.
- Касимов Ш.А. ИК спектроскопические исследование и квантово-химические характеристики азот и фосфорсодержащего полимерного лиганда // Universum: химия и биология: электрон. научн. журн. – 2019. – № 6 (60).
- Котельникова Т.С. Архитектура химических соединений и молекулярный дизайн: методические указания к практическим занятиям обучения. – Кемерово, 2019.
- Нейн Ю.И., Ельцов О.С., Костерина М.Ф. Химия и технология высокомолекулярных соединений: учеб.-метод. пособие [науч. ред. Т.В. Глухарева] ; М-во образования и науки Рос. Федерации, Урал. федер. ун-т. –Екатеринбург: Изд-во Урал. ун-та, 2018. – 116 с.
- Панченко А.Н., Какорин И.А. Квантово-химические исследования получения композита на основе полимера-пиролизованного полиакрилонитрила // Международный журнал гуманитарных и естественных наук. – 2022. – № 6-2(69). – С. 10–12. – DOI 10.24412/2500-1000-2022-6-2-10-12.
- Содикова М.Р. Cинтез, исследование и спектрометрическая идентификация амфотерных ионитов на основе вторичного сырья // Композиционные материалы. Узбекский Научно-технический и производственный журнал. – 2024. – № 2. – C. 56–58.
- Содикова М.Р. Химическая переработка вторичных полимерных материалов для получения олигомерной продукции целевого назначения и совершенствование их классификации // Universum: Технические науки: электронный научный журнал. – 2023. – № 10 (115). – С. 48–52. URL: https://7universum.com/ru/tech/archive/item/16086
- Содикова М.Р., Джалилов А.Т., Таджиходжаев А.Т. Ресурсосберегающие технологии получения ионообменных материалов // ДАН РУз. – 2024. – № 3. – С.100–106.
- Beyond the Molecular Frontier: Challenges for Chemistry and Chemical Engineering [Электронный ресурс]. – Режим доступа: http://www.nap.edu/catalog/10633.html (дата обращения: 12.12.2024).
- Kravchenko A.A., Ermakova T.A., Davletova O.A. The semi-empirical research of the adsorption of biologically active molecules on the outer surface of carbon nanotubes // Nanosystems: Physics, Chemistry, Mathematics. – 2014. – Vol. 5. – № 1. – Pр. 98–100.
/Saynazarova.files/image001.jpg)
/Saynazarova.files/image002.jpg)
/Saynazarova.files/image003.png)
/Saynazarova.files/image004.png)
/Saynazarova.files/image005.png)
/Saynazarova.files/image006.png)
/Saynazarova.files/image007.png)
/Saynazarova.files/image008.png)
/Saynazarova.files/image009.png)
/Saynazarova.files/image010.png)
/Saynazarova.files/image011.png)
/Saynazarova.files/image012.png)
/Saynazarova.files/image013.png)
/Saynazarova.files/image014.png)
/Saynazarova.files/image015.png)
/Saynazarova.files/image016.png)
/Saynazarova.files/image017.png)
/Saynazarova.files/image018.png)
/Saynazarova.files/image019.png)
/Saynazarova.files/image020.png)
/Saynazarova.files/image021.jpg)
/Saynazarova.files/image022.jpg)