аспирант, Навоинский государственный университет, Узбекистан, г. Навои
СИНТЕЗ ЭПОКСИДИРОВАННОЙ АКРИЛАТ-МОДИФИЦИРОВАННОЙ ГИДРОКСИПРОПИЛМЕТИЛЦЕЛЛЮЛОЗЫ (ГПМЦ), ЕЁ ОТВЕРЖДЕНИЕ ПОЛИЭТИЛЕНПОЛИАМИНОМ (ПЭПА) И ФИЗИКО-ХИМИЧЕСКИЙ АНАЛИЗ ПОЛУЧЕННЫХ СТРУКТУР
АННОТАЦИЯ
В представленной исследовательской работе был осуществлен синтез сложного эфира акриловой кислоты с гидроксипропилметилцеллюлозой (ГПМЦ), после чего путем окисления в присутствии катализатора Ag2O получены эпоксидные сложные эфиры. Наличие эпоксидных групп в составе полученного сложного эфира было подтверждено анализом в соответствии с ГОСТ 12497-78. В дальнейшем синтезированный эпоксидный сложный эфир был отвержден с использованием полиэтиленполиамина (ПЭПА) согласно требованиям ГОСТ Р 50096-2015. Физико-химические свойства полученного твердого вещества были изучены методами ИК-спектроскопии, а также термогравиметрического (ТГА) и дифференциально-термического анализа (ДТА).
ABSTRACT
In the present research, the synthesis of an acrylic acid ester with hydroxypropyl methylcellulose (HPMC) was carried out, followed by oxidation in the presence of a silver oxide Ag2O catalyst to obtain epoxy esters. The presence of epoxide groups within the resulting ester was confirmed through analysis in accordance with GOST 12497-78. Subsequently, the synthesized epoxy ester was cured using polyethylenepolyamine (PEPA) according to the requirements of GOST R 50096-2015. The physicochemical properties of the obtained solid material were comprehensively investigated using Infrared (IR) spectroscopy, as well as thermogravimetric analysis (TGA) and differential thermal analysis (DTA).
Ключевые слова: Гидроксипропилметилцеллюлоза (ГПМЦ), акриловая кислота, этерификация, эпоксидирование, оксид серебра (Ag2O), серная кислота (H2SO4), полиэтиленполиамин (ПЭПА), оксирановое кольцо, ИК-спектроскопия, термогравиметрический анализ (ТГА/ДТА), ГОСТ 12497-78, ГОСТ Р 50096-2015.
Keywords: Acrylic acid, FTIR spectroscopy, HPMC (Hydroxypropyl methylcellulose), TGA and DTA thermogravimetric analysis, PEPA (Polyethylenepolyamine), ester, oxirane group, catalyst, Sulfuric acid, silver oxide catalyst Ag2O, GOST 12497-78, GOST R 50096-2015
ВВЕДЕНИЕ. В настоящее время наблюдается значительное расширение сфер применения органических соединений и функционализированных веществ на их основе. В частности, особую актуальность приобретают соединения, содержащие оксирановые (эпоксидные) группы, благодаря их уникальным физико-химическим свойствам. Область эксплуатации данных материалов охватывает широкий спектр отраслей. Защитные покрытия: разработка коррозионностойких и химически стабильных покрытий для металлических и бетонных поверхностей. Композиционные материалы: создание высокопрочных армированных волокнистых композитов и полимеров конструкционного назначения. Адгезивы: производство быстроотверждающихся клеев и строительных адгезивов. Электротехника: использование в качестве электроизоляционных материалов и защитных составов для трансформаторов. Лакокрасочная промышленность: применение в составе лаков и красок для повышения механической прочности покрытий. Широкий диапазон применения обуславливает необходимость синтеза новых модифицированных эпоксидных производных с улучшенными эксплуатационными характеристиками.
Обзор литературы. Механизм реакции реагента, снижающего вязкость эпоксиакрилата, был проанализирован с помощью инфракрасной спектроскопии с преобразованием Фурье (FTIR). Кроме того, для анализа стабильности полимера и изменений, происходящих после введения мономера ГМА (глицидилметакрилата), были измерены размер частиц и дзета-потенциал. Термогравиметрический анализ (ТГА) показал значительное улучшение термической стабильности смолы в результате модификации ГМА. Результаты испытаний по снижению вязкости продемонстрировали существенное уменьшение вязкости тяжелой нефти, а также значительное увеличение скорости её снижения. Данные FTIR-анализа подтвердили успешное внедрение молекулярных цепей полиакрилата ГМА в структуру [1].
Кинетика жидкофазной этерификации ряда карбоновых кислот различными спиртами в присутствии серной кислоты в качестве катализатора протекает с образованием алкилсульфата, который и выступает в роли активного каталитического агента [2]. Акриловая полиэфирная смола является важной синтетической смолой. Благодаря своим превосходным механическим характеристикам, исключительной коррозионной стойкости и способности выдерживать экстремальные температуры, она стала незаменимым материалом во многих отраслях промышленности. Однако по мере дальнейшего роста рыночного спроса на акриловые полиэфирные смолы постепенно выявились определенные технические трудности, возникающие в процессе их производства. Из-за колебаний температуры и вязкости в ходе реакции полимеризации, а также ограничений параметров реакционных условий, процесс производства акриловых полиэфирных смол не позволяет достичь выхода продукции, достаточного для полного удовлетворения потребностей рынка [3].
Сшивание гидроксипропилметилцеллюлозы (ГПМЦ) и акриловой кислоты (АК) проводилось для создания матрицы высокой жесткости с варьируемыми характеристиками стеклования в различных составах. Установлено, что в зависимости от количества добавленной акриловой кислоты реологическая и калориметрическая температуры стеклования значительно изменяются, переходя после нагрева в широкое плато высокоэластического состояния (резиноподобное плато). Дополнительный анализ ТГА (термогравиметрический анализ) показывает, что исходный состав всех сеток ГПМЦ-АК сохраняет стабильность до 200 °C, что является благоприятным показателем для применения в системах направленной доставки биоактивных соединений [4].
Эпоксиакрилат получают путем этерификации эпоксидной смолы и акриловой кислоты в ходе реакции с раскрытием кольца. Данный процесс является сильно экзотермическим, что создает определенные трудности в контроле процесса гелеобразования. В ходе исследования термический профиль реакции в диапазоне температур 80–110 °C был классифицирован как умеренный. Данная работа подчеркивает важность строгого учета условий реакции для предотвращения неконтролируемых процессов при синтезе эпоксиакрилата и предоставляет ценные данные для промышленного производства этого материала [5].
Стабильный эпоксидно-акрилатный композитный латекс был успешно получен путем эмульсионной полимеризации модифицированного эпоксиакрилатного (ЭПАК) олигомера с акрилатным мономером. Олигомер ЭПАК был синтезирован с использованием активной акриловой кислоты, вступающей в реакцию с эпоксидной смолой [6]. Для более глубокого понимания высокой активности серебра в качестве катализатора окисления — например, в процессах окисления этилена в эпоксид и дегидратации метанола в формальдегид — было проведено комплексное исследование взаимодействия и стабильности многочисленных атомных форм кислорода на поверхности Ag [7-8].
Было изучено прямое окисление этилена в оксид этилене в проточной системе под каталитическим воздействием серебра. Известно, что серебряный катализатор обладает более высоким выходом при окислении олефинов по сравнению с некоторыми другими оксидами металлов или их смесями. [9] Новые фосфорсодержащие олигоэфирметакрилаты (ФОЭМ), содержащие алифатические и ароматические спейсеры, успешно синтезированы в два этапа. На первом этапе путем взаимодействия оксихлорида фосфора с глицидилметакрилатом (ГМА) был получен диэфирный промежуточный продукт, который на втором этапе вводился в диэпоксидные смолы (Э-181 и ЭД-20). Структуры полученных олигоэфирметакрилатов (ОЭМ) были всесторонне изучены методами ИК-фурье, ГХ-МС, СТА, ЯМР и определением эпоксидного числа. Результаты анализа подтвердили полное исчезновение эпоксидных групп вследствие реакции раскрытия оксиранового кольца и образования эфирных групп [10]. Водоразбавляемые полимерные системы часто применяются для улучшения характеристик обычного цементного раствора или бетона. В настоящее время широко используются как отдельные полимеры, так и их комбинации, включая поливинилацетат, сополимеры винилацетата с этиленом, стирол-бутадиеновые и стирол-акриловые сополимеры, а также акриловые и стирол-бутадиеновые каучуковые эмульсии. [11]
Методология исследования. Синтез сложного эфира, содержащего двойные связи, осуществлялся в трехгорлой колбе, оснащенной обратным холодильником и термометром, при температуре 100-140 °C и нормальном атмосферном давлении. Последующее окисление полученного продукта проводилось в присутствии катализатора Ag2O.
Наличие эпоксидных групп в полученном веществе подтверждено лабораторными испытаниями согласно ГОСТ 12497-78. С использованием ПЭПА (полиэтиленполиамина) по ГОСТ Р 50096-2015 изучены время и пропорции отверждения. ИК-спектры полученного твердого соединения зафиксированы в диапазоне 500–4000 см⁻¹ на ИК-фурье спектрофотометре и проанализированы. Также проведен термогравиметрический анализ методами ТГА и ДТА.
Экспериментальная часть. Акриловая кислота и ГПМЦ (гидроксипропилметилцеллюлоза) в массовом соотношении 6:1 помещались в трехгорлую колбу объемом 500 мл, оснащенную термометром и обратным холодильником. На начальном этапе смесь постепенно нагревали на масляной бане от 28 °C до 50-55 °C до образования гомогенной системы реагентов. Затем в смесь добавляли серную кислоту в качестве катализатора (0,6 % от общей массы) и доводили температуру до 115-125 °C. Для удаления воды, выделяющейся в процессе этерификации, в верхней части обратного холодильника устанавливали хлоркальциевую трубку с CaCl2, которую заменяли 3-4 раза в ходе синтеза. Реакцию проводили в течение 35 минут, после чего смесь охлаждали до комнатной температуры. К полученному эфиру добавляли катализатор Ag2O в количестве 0,6 % от исходной массы, после чего через тонкую стеклянную трубку медленно подавали кислород воздуха. Реакционную смесь выдерживали при температуре 125-135 °C в течение 90 минут. Полученное вещество после охлаждения до комнатной температуры представляло собой труднотекучую массу светло-желтого цвета.
Анализ и результаты. Наличие эпоксидных функциональных групп в конечном продукте анализировали согласно требованиям ГОСТ 12497. Для этого был приготовлен 0,1 М раствор соляной кислоты в ацетоне с добавлением двух капель фенолфталеина. Навеску исследуемого образца массой 1 г помещали в раствор и перемешивали при температуре 25 °C в течение 15-20 минут.
Соляная кислота была взята в избытке по отношению к исследуемому веществу. Остаточное количество HCl, не вступившее в реакцию с эпоксидными группами, титровали раствором гидроксида натрия в присутствии фенолфталеина до появления устойчивого малинового окрашивания. Разность между исходным количеством соляной кислоты и количеством затраченного титранта NaOH показала, что содержание эпоксидных групп составляет 0,004 моль на 1 г образца, что эквивалентно 0,4 моль функциональных групп на 100 г продукта.
В таблице 1 представлены данные по отверждению акрилат-оксирана ГПМЦ (гидроксипропилметилцеллюлозы) под воздействием ПЭПА при различных массовых соотношениях, временных интервалах и температурных режимах согласно ГОСТ Р 50096-2015.
Таблица 1.
Результаты потверждения полученного оксирана с ПЭПА согласно требованиям ГОСТ Р 50096-2015 при различных массовых соотношениях времени и температурах
|
№ |
Соотношение эпоксидной смолы и ПЭПА (% по массе) |
Температура, °C |
Время, ч |
|
1 |
100 : 6 |
25 (°C) |
24 ч |
|
2 |
100 : 8 |
25 (°C) |
24 ч |
|
3 |
100 : 8 |
50 (°C) |
18 ч |
|
4 |
100 : 8 |
80 (°C) |
10 ч |
|
5 |
100 : 10 |
25 (°C) |
24 ч |
|
6 |
100 : 10 |
50 (°C) |
12 ч |
|
7 |
100 : 10 |
80 (°C) |
6 ч |
|
8 |
100 : 12 |
25 (°C) |
22 ч |
|
9 |
100 : 12 |
50 (°C) |
8 ч |
|
10 |
100 : 12 |
80 (°C) |
2 ч |
Исследование влияния массовых соотношений при температуре 25 °C показало, что при соотношениях 100:6, 100:8 и 100:10 время отверждения практически не меняется. Однако при соотношении 100:12 наблюдается сокращение времени отверждения, что объясняется избытком аминных групп. При температуре 50 °C для соотношений 100:8, 100:10 и 100:12 зафиксировано значительное ускорение процесса. Это свидетельствует о повышении реакционной способности аминных связей и интенсификации процесса полимеризации при нагревании. При температуре 80 °C и массовых соотношениях 100:8, 100:10 и 100:12 наблюдалось резкое сокращение времени отверждения, что обусловлено высокой интенсивностью взаимодействия аминных групп с оксирановыми циклами и образованием разветвленной структуры. При визуальном анализе образцов, отвержденных в диапазоне 50–80 °C, в составе с соотношением 100:8 были обнаружены незначительные хрупкие участки. Это свидетельствует о недостаточном количестве ПЭПА для полного взаимодействия с эпоксидными группами. Образец, полученный при соотношении 100:10, характеризуется хорошими оптическими свойствами, отсутствием хрупкости и высокой механической прочностью. В свою очередь, продукт, отвержденный при соотношении 100:12, несмотря на высокие показатели прочности, имел выраженный запах амина. Это указывает на наличие остаточного количества ПЭПА, не вступившего в полную реакцию с функциональными группами олигомера. Наличие свободного амина в полученном твердом веществе повышает его гигроскопичность (способность поглощать влагу), а также ухудшает диэлектрические свойства материала. Установлено, что оптимальным массовым соотношением при отверждении синтезированного эпоксида с ПЭПА является 100:10, а оптимальным режимом - 50 °C в течение 12 часов. В данных условиях степень отверждения достигает 97 %, что обеспечивает высокую термическую стабильность продукта.
ИК-спектры синтезированного акрилат-оксирана ГПМЦ (гидроксипропилметилцеллюлозы) были записаны на ИК-фурье спектрофотометре Shimadzu в диапазоне 500–4000 см-1. Анализ полученных данных представлен на рис. 1
/Khusanov.files/image001.jpg)
Рисунок 1. ИК-спектр твердого продукта, полученного в результате отверждения акрилат-оксирана ГПМЦ (гидроксипропилметилцеллюлозы) полиэтиленполиамином (ПЭПА)
В области высоких частот валентных колебаний спектра наблюдаются интенсивные полосы поглощения при 1772,58 и 1718,58 см-1 соответствующие валентным колебаниям карбонильных групп. Полоса поглощения в области 1718,58 см-1 относится к карбонилу сложного эфира C=O, что подтверждает наличие сложноэфирных функциональных групп в структуре вещества. Пик в области 1772,58 см-1 также соответствует высокочастотному поглощению карбонильной группы.
Полосы поглощения в диапазонах 1606,70 и 1508,33 см-1 относятся к валентным колебаниям связей C-C и C-O ароматического кольца, что достоверно подтверждает наличие глюкозного ядра в структуре вещества. Полоса поглощения, зафиксированная при 1456,26 см-1, соответствует деформационным колебаниям алифатических групп -CH2- и -CH3.
Полоса поглощения средней интенсивности в области 1361,74 см-1 соответствует симметричным деформационным колебаниям метильных групп, что подтверждает наличие алифатических углеводородных фрагментов в структуре молекулы. Полосы поглощения в диапазонах 1294,24, 1244,09, 1182,36, 1074,35 и 1033,85 см-1 преимущественно относятся к валентным колебаниям связей C-O и C-O-C. Данные пики связаны с формированием спиртовых (-OH) и аминоспиртовых (-C-OH, -C-N) структур, образующихся в результате раскрытия эпоксидного кольца. Это служит прямым доказательством взаимодействия эпоксидных групп с аминогруппами ПЭПА.
Особое внимание уделяется валентному колебанию в области 908,47 см-1, которое является диагностическим для эпоксидного кольца. Снижение интенсивности этого пика при взаимодействии эпоксидного соединения с ПЭПА однозначно указывает на раскрытие эпоксидных циклов. В результате реакции с ПЭПА кольцо раскрывается по нуклеофильному механизму с образованием beta-гидроксиаминных структур. В ходе этого процесса первичные и вторичные аминогруппы атакуют эпоксидное кольцо, что приводит к формированию новых связей –C–N и –C–OH.
/Khusanov.files/image002.jpg)
Рисунок 2. Данные дифференциально-термического (ДТА) и термогравиметрического (ТГА) анализа эпоксидированной акрилат-модифицированной ГПМЦ (гидроксипропилметилцеллюлозы)
В ходе исследования были изучены термические характеристики эпоксидированной акрилат-модифицированной ГПМЦ, включая температуру начала разложения, точку максимальной деструкции, а также эндотермические эффекты (разрыв связей) и экзотермические эффекты (процессы окисления). Синхронный термический анализ (ТГА и ДТА) проводился в температурном диапазоне 24,90–601,31 °C. Для обеспечения инертной среды в систему непрерывно подавался аргон (Ar) со скоростью потока 80 мл/мин. Нагрев осуществлялся со скоростью 10 °C/мин, что позволило точно зафиксировать эндотермические и экзотермические точки разложения продукта.
Таблица 2.
Данные термогравиметрического анализа (ТГА) эпоксидированной акрилат-модифицированной ГПМЦ
|
Температура, °C |
Потеря массы, мг |
Потеря массы, % |
|
24.90-370.43 |
-0.075 |
-1.1001 |
|
370.43-601.31 |
-6.391 |
-85.301 |
|
Итого |
-6.466 |
-86.4011 |
Таблица 3.
Данные дифференциально-термического анализа (ДТА) модифицированной ГПМЦ
|
Температура, °C |
Общее поглощение энергии, мкВ |
Удельное поглощение энергии (относительно единицы массы), мкВ/мг |
Тепловой эффект, мкал |
Удельная теплота (относительно единицы массы), кал/г |
|
164.26 |
1.65 |
0.24 |
59.71 |
8.77 |
|
278.56 |
-2.01 |
-0.33 |
-51.15 |
-53.53 |
|
478.49 |
-2.12 |
-0.42 |
-96.87 |
-126.87 |
Комплексный термический анализ показал, что синтезированная эпоксидированная акрилат-модифицированная ГПМЦ обладает высокой термостабильностью. В интервале 24,90–370,43 °C наблюдается крайне низкая потеря массы - всего 1,1001%, что подтверждает прочность сформированных химических связей. Наличие экзотермического пика при 164,26 °C объясняется процессами окончательного структурирования (до отверждения) полимерной матрицы. Последующий широкий эндотермический переход в диапазоне 278,56-478,49 °C соответствует поглощению энергии на разрыв межатомных связей и термическую деструкцию модифицированной целлюлозы. Совокупность данных ТГА и ДТА подтверждает успешный синтез термостойкого полимерного соединения. Анализ термограмм показал, что процесс термической деструкции модифицированной ГПМЦ протекает в два основных этапа. На первом этапе (до 370,43°C) наблюдается высокая устойчивость материала с минимальной потерей массы (1,1%). Присутствие экзотермического пика при 164,26°C свидетельствует о завершении процессов сшивки и упорядочивания структуры после модификации.
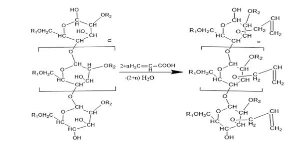
Предлагаемая схема реакции.
Реакция получения сложного эфира путем взаимодействия ГПМЦ (гидроксипропилметилцеллюлозы) с акриловой кислотой. Здесь радикалы: R1- метил, R2- гидроксипропил.
/Khusanov.files/image003.jpg)
Уравнение реакции 1
2-реакция: Реакция окисления сложного эфира, полученного в результате взаимодействия ГПМЦ (гидроксипропилметилцеллюлозы) и акриловой кислоты.
/Khusanov.files/image004.jpg)
Уравнение реакции 2:
Заключение.
При анализе полученного вещества в соответствии с требованиями ГОСТ-12497 было установлено, что мольное количество эпоксидных групп в 1 г исследуемого образца составляет 0,004 моль, что соответствует содержанию 0,4 моль эпоксидных функциональных групп в 100 г вещества. Можно констатировать, что полученные результаты полностью соответствуют требованиям ГОСТ-12497.
Процесс отверждения синтезированного эпоксида с использованием ПЭПА (полиэтиленполиамина) проводился согласно требованиям ГОСТ Р 50096-2015. Установлено, что оптимальное массовое соотношение составляет 100:10, а оптимальный режим отверждения - 50 °C в течение 12 часов. При данных условиях степень отверждения достигает 97 %, что свидетельствует о высокой термической стабильности продукта.
Примечательным аспектом является проявление пика поглощения в области 916,19 см⁻¹, характерного для эпоксидного кольца, с очень низкой интенсивностью. Наблюдаемая минимальная интенсивность эпоксидных групп свидетельствует о том, что большая часть этих групп вступила в реакцию с ПЭПА.
Результаты анализа ДТА и ТГА:
Термический анализ (ДТА и ТГА) проводился в температурном диапазоне 24,90-601,31 °C. На дериватограмме исследуемого вещества зафиксирован экзотермический эффект при температуре 149,33 °C и эндотермический эффект в интервале 278,56-478,49 °C.
В интервале температур 24,90-370,43 °C потеря массы анализируемого вещества составляет -1,1001% (-0,075 мг). В интервале температур 370,43-601,31 °C потеря массы составляет -85,301% (-6,391 мг).
Список литературы:
- Чжоу С. и др. Получение и свойства эпоксидно-модифицированного акрилового полимера // Полимеры. - 2025. - Т. 17. - № 3. - С. 380.
- Дханука В. Р., Мальше В. С., Чандалия С. Б. Кинетика жидкофазной этерификации карбоновых кислот спиртами в присутствии кислотных катализаторов: переосмысление опубликованных данных // Химические инженерные науки. - 1977. - Т. 32. - № 5. - С. 551-556.
- Ю Х. и др. Исследование процесса синтеза и перспективы акриловых полиэфирных смол // ACS omega. - 2025. - Т. 10. - № 8. - С. 7478-7484.
- Нассар Н. и др. Манипулирование характеристиками стеклования высокотвердой системы, изготовленной из сополимера акриловой кислоты и N,N′-метиленбисакриламида, привитого на гидроксипропилметилцеллюлозу // Международный журнал молекулярных наук. - 2021. - Т. 22. - № 5. - С. 2682.
- Ли В. и др. Оценка рисков безопасности эпоксиакрилата, полученного путем этерификации эпоксидной смолы и акриловой кислоты с раскрытием кольца // Журнал термического анализа и калориметрии. - 2024. - Т. 149. - № 10. - С. 4827-4838.
- Чжан К. и др. Контролируемое получение и свойства композитной эпоксидно-акрилатной эмульсии на основе акриловой кислоты для самосшивающихся покрытий // Журнал прикладных полимерных наук. - 2022. - Т. 139. - № 1. - С. 51441.
- Кенсон Р. Э., Лапкин М. Кинетика и механизм окисления этилена. Реакции этилена и оксида этилена на серебряном катализаторе // Журнал физической химии. - 1970. - Т. 74. - № 7. - С. 1493-1502.
- Ли Вэй-Сюэ, Штампфль К., Шеффлер М. Представления о функции серебра как катализатора окисления на основе первопринципной (ab initio) атомистической термодинамики // Физический обзор B. - 2003. - Т. 68. - № 16. - С. 165412.
- Мюррей К. Е. Исследование окисления этилена в оксид этилена на серебряном катализаторе // Австралийский химический журнал. - 1950. - Т. 3. - № 3. - С. 433-449.
- Аль-Хамзави А. К. Дж. и др. Синтез новых фосфорсодержащих олигоэфирметакрилатов с использованием алифатических и ароматических спейсеров // Журнал исследований полимеров. - 2025. - Т. 32. - № 6. - С. 195.
- Аггарвал Л. К., Тхаплиял П. С., Караде С. Р. Свойства полимерно-модифицированных растворов с использованием эпоксидных и акриловых эмульсий // Строительство и строительные материалы. - 2007. - Т. 21. - № 2. - С. 379-383.