д-р техн. наук, профессор, профессор кафедры «Инженерные коммуникации и системы», Ташкентский государственный транспортный университет, Республика Узбекистан, г. Ташкент
КОМПОЗИЦИОННЫЕ ЭЛАСТОМЕРНЫЕ МАТЕРИАЛЫ ДЛЯ ПРИМЕНЕНИЯ В МАШИНОСТРОЕНИИ
АННОТАЦИЯ
В данной статье рассмотерен вопрос о возможности применения кизилгия Ангренского месторождения в качестве минерального наполнителя при производстве композиционных эластомерных материалов различного назначения. Установлено, что обогащение и модификация кизилгия приводят к структурным изменениям и увеличению геометрической поверхности. Показано, что технологические свойства наполненных резиновых смесей с модифицированным ГЛЕЖ по своим технологическим показателям практически не отличаются от серийно применяемых минеральных наполнителей. Однако при высоких степенях (более 30 мас.ч. на 100 мас.ч.) наполнения каучуков необходимо будет учитывать его удельную поверхность и структурные особенности, которые способствуют более значительному увеличению эффективной вязкости и конфекционной клейкости резиновых смесей. Установлено, что существенное отличие исходного и модифицированного ГЛЕЖ по диспергируемости, распределению частиц в эластомерной матрице и технческим показателям композиции. Показана целесообразность и перспективность использования его в рецептурах резиновых смесей для производства различных типов резинотехнических изделий, работающих в сложных условиях железнодорожных путей, а также в машиностроении.
ABSTRACT
This article considers the possibility of using kizilgiya from the Angren deposit as a mineral filler in the production of composite elastomeric materials for various applications. It has been established that the enrichment and modification of kizilgiya lead to structural changes and an increase in the specific surface area. The technological properties of filled rubber compounds containing modified GLEZH were studied and it was shown that, in terms of technological parameters, they practically do not differ from conventionally used mineral fillers. However, at high filling levels (more than 30 parts by weight per 100 parts of rubber), it is necessary to take into account its specific surface area and structural features, which contribute to a more significant increase in effective viscosity and the tackiness of rubber compounds. A significant difference between the original and modified GLEZH has been established in terms of dispersibility, particle distribution in the elastomer matrix, and the technical properties of the compositions. The expediency and prospects of its use in rubber compound formulations for the production of various types of rubber technical products operating under complex conditions of railway tracks, as well as in mechanical engineering, have been demonstrated.
Ключевые слова: минеральный наполнитель, резиновые смеси, композиция, модификация, прочность, формовые, неформоые, реология, технология, технические, машиностроение, эластомер, смола, дисперсность, смешение, техника.
Keywords: mineral filler, rubber compounds, composite, modification, strength, molded products, non-molded products, rheology, technology, technical materials, mechanical engineering, elastomer, resin, dispersity, mixing, equipment.
Введение. В машиностроении и сельскохозяйственной технике широко применяются армированные и неармированные, формовые и неформовые резинотехнические изделия на основе эластомерных композиций. В состав резинотехнических изделий вводят различные по своему составу, свойствам и структуре ингредиенты, при этом особое внимание уделяется созданию изделий на их основе с универсальными наполнителями, формирующими технологические, реологические, физико-механические и динамические свойства резины [1; 8; 9; 14].
По созданию универсальных модифицированных минеральных наполнителей для улучшения технологических, реологических и технических свойств композиций на основе природных и синтетических эластомеров, проводятся научные исследования относительно модификации ингредиентов, входящих в состав эластомерных композиций, состава и технологий для производства армированных и неармированных, формовых и неформовых резинотехнических изделий, применяемых в машиностроении, обладающих повышенной стойкостью к органическим кислотам и растворителям, радиации, теплу, холоду, износостойкостью применяемых производных в различных условиях [2; 4; 5; 7].
Объекты и методы исследования. Объектами исследования являлись стандартная резиновая смесь на основе каучуков СКИ-3, СКМС-30АРК, СКН-26, кубового остатка вторичного тар-продукта газпирролизной смолы — отхода производства полимеров и кизилгия Ангренского месторождения. Смеси изготавливали на лабораторных вальцах, а также в смесительной камере пластикордера Брабендер типа РIУ-151 объемом 75 см3 при частоте вращения роторов 30 мин-1 и начальной температуре камеры 343±3К. Степень объемного заполнения камеры составляла 77 %. Все добавки вводились в эластомерные матрицы в дозировках 2,5; 5,0; 7,5 и 10,0 мас. ч. на 100,0 мас. ч. каучука. Образцом сравнения являлась резиновая смесь, наполненная Еленинским каолином.
Определение пласто-эластических свойств резиновых смесей проводилось на сдвиговом дисковом вискозиметре MV2000 в соответствии с ГОСТ 10722–76, а исследование кинетики вулканизации — на реометре ODR2000 согласно ГОСТ 12535–84, жесткость (ЖД) и эластическое восстановление (ЭД) по Дефо по ГОСТ 1020–95. Физико-механические свойства вулканизатов определяли с соответствующими ГОСТами.
Основная часть. На основе анализа данных многочисленных исследований и экспериментальных результатов установлено, что основные физико-механические показатели композиционных эластомерных материалов повышаются с помощью минеральных наполнителей. Поэтому авторы статьи исследовали возможности применения кизилгия (ГЛЕЖ) Ангренского месторождения в качестве минерального наполнителя. Однако без предварительных обработок и соответствующих химических модификаций его не могут использовать в производстве резинотехнических изделий, поскольку рассматриваемое вещество содержат до 5,7 % оксида железа и до 30 % воды, которые отрицательно влияют на технологические и физико-механические свойства эластомерных композиций и изделий из них. К основным требованиям, предъявляемым к наполнителям, является, их содержание — не более 0,3 %. После электромагнитной сепарации и сушки при 373–426 К содержание оксидов металлов и связанной воды уменьшается до 0,20 % [12; 17].
Подвергли термической обработке смолу тар-продуктом, образующемся в процессе пиролиза газа технологического процесса производства пропилена при температуре 200–220 °C. В результате образовалось черное жидкое вещество с молекулярной массой 1000–1100. Его количество уменьшилось до 45 %, изучены ИКС (рис. 2).
/Ibadullaev.files/image001.png)
Рисунок 1. Сравнительная ИКС пластификатор дибутилфталата и кубового остатка газапиролизной смолы
Как видно из рисунка 1, структура кубового остатка газопиролизной смолы аналогична структуре пластификатора дибутилфталата, что означает возможность его использования в качестве пластификатора в эластомерах и модификатора в ингредиентах. Исследования показали, что при модификации обогащенного кизилгия оптимальное содержание кубового остатка газопиролизной смолы 12 %, при этом не наблюдалось появление модификатора на его поверхности. Установлено, что количество оксида железа в физико-химических свойствах обогащенного и модифицированного кизилгия уменьшилось до 0,3 %, адсорбционные свойства до 8 %, а дисперсность до 70 нм.
Таблица 1.
Физико-химические свойства обогощенного и модифицированного қизилгия
|
Наименование и содержание показателей,% |
Адсорб- ция,% |
Дисперс- ность,нм |
|||||||
|
SiO2 |
Al2O3 |
Fе2О3 |
CaO |
ТiО2 |
MgO |
SO3 |
П.П.П |
||
|
65,90 |
30,36 |
0,22 |
2,22 |
0,63 |
0,35 |
- |
0,32 |
8 |
70 |
Исследования показали, что обогащение и модификация кизилгия приводят к структурным изменениям и увеличению геометрической поверхности. С помощью метода ЭПР было обнаружено увеличение концентрации свободных радикалов, что указывает на образование парамагнитных центров в исследуемых образцах.
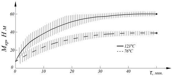
Обнаружено также существенное отличие исходного и модифицированного ГЛЕЖ по диспергируемости и распределению частиц в эластомерной матрице. Лучшая диспергируемость и, соответственно, наибольшая степень равномерности распределения частиц наполнителя характерны для резиновых смесей, наполненных модифицированным ГЛЕЖ. При изучении процесса смешения каучуков с модифицированным ГЛЕЖ, установлена повышенная втираемость и обнаружено поглощение в матрице по сравнению с исходными показателями, которые характеризуются меньшими значениями амплитуды колебаний крутящего момента (рисунок 2).
/Ibadullaev.files/image002.jpg)
Рисунок 2. Кинетика изменения крутящего момента (Мкр) в поцессе смещения 40 мас.ч. Еленинского каолина (_____), модифицированный ГЛЕЖ (---) на 15 мас.ч. СКИ-3+15 мас.ч. СКН-26+70 мас.ч. СКС-30АРК
Это, в свою очередь, приводит к лучшей обрабатываемости и пластицируемости резиновых смесей, что обусловлено физико-химическими, структурными особенностями модификатора и ГЛЕЖ. В пользу высказанного предположения указывается уменьшение времени и температуры смешения эластомерных композиций.
Выяснено, что с увеличением содержания модифицированного ГЛЕЖ в каучуке значительно уменьшается восстанавливаемость резиновой смеси после деформирования. При этом способности системы к накоплению энергии эластической деформации, т.е. разбухания экструдата (Рэ), в значительной степени зависят от удельной геометрической поверхности модифицированного ГЛЕЖ.
Пласто-эластические свойства наполненных резиновых смесей с модифицированным ГЛЕЖ показали, что по своим технологическим показателям, практически не отличаются от серийно применяемых минеральных наполнителей. Однако, при высоких степенях (более 30 мас.ч. на 100 мас.ч.) наполнения каучуков необходимо будет учитывать его удельную поверхность и структурные особенности, которые способствуют более значительному увеличению эффективной вязкости и конфекционной клейкости резиновых смесей (рисунок 3).
/Ibadullaev.files/image004.jpg)
Рисунок 3. Зависимость вязкости по Муни (1,1ꞌ) и коэффициента клейкости (2,2ꞌ) резиновых смесей на основе 15% СКИ-3+15% СКН-26+70 СКМС-30 АРК (содержание каолина (2) и модифицированного ГЛЕЖ (2ꞌ) 40 мас.ч. на 100 мас.ч. каучуков)
Например, при наполнении 50 мас.ч. комбинации каучуков СКИ-3, СКС-30АРК и СКН-26 модифицированном ГЛЕЖом конфекционная клейкость резиновых смесей составляет 2,15.
С целью выявления влияния модифицированного ГЛЕЖ на технические свойства вулканизатов, подробно были рассмотрены упруго-прочностные свойства наполненных композиционных эластомерных материалов. Исследованиями установлено, что введение его в эластомерную композицию повышает значения условного напряжения при 100–300 %-ном удлинении и прочность при растяжении, по сравнению с резиной, содержащей серийно применяемые наполнители, а также значительно увеличивает сопротивление резин к раздиру и износу. Это особенно ярко проявляется при содержании 40–60 мас.ч. модифицированного ГЛЕЖ на 100 мас.ч. каучуков, т.е. сопротивление к раздиру повышается от 40,6 до 76,4 кН/м а износ от 0,4 до 0,86 (рисунок 4)./Ibadullaev.files/image005.png)
/Ibadullaev.files/image005.jpg)
Рисунок 4. Зависимость влияния содержание модифицированного ГЛЕЖ (____) и Еленинского каолина (---) на разрывную прочность и износо-стойкость резин на аснове 15% СКИ-3 + 15% СКН-26 + СКМС-30 АРК
Изучение влияния модифицированного ГЛЕЖ на динамические свойства вулканизатов при многократном сжатии показало, что при введении его в состав композиций наблюдается уменьшение теплообразования и остаточной деформации, а также увеличение динамической выносливости резины при многократном растяжении (Nрас). В предложенных композициях Nрас проходит через максимум и его наибольшее значение наблюдается при содержании 40–60 мас.ч. на 100 мас.ч. каучука.
Заключение. Авторами статьи предложена технология модификации и очистки ГЛЕЖ от оксидов металов. Установлено существенное отличие исходного и модифицированного ГЛЕЖ по диспергируемости и распределению частиц в эластомерной матрице. Доказана целесообразность и перспективность использования рассмотренного в данной работе компонента в рецептурах резиновых смесей для производства различных типов резинотехнических изделий, работающих в сложных условиях железнодорожных путей, а также в машиностроении.
Список литературы:
- Востракнутов Е.Г., Новиков М.И., Новиков В.И., Прозоровская Н.В. Переработка каучуков и резиновыҳ смесей (реологические основы технология, оборудование). — М.: Химия, 1990. — 280 с.
- Гоффман В. Вулканизатсия и вулканизуюшчие агенты. — М.: Химия, 1988. — 464 с.
- Ибадуллаев А., Муфтуллаева М.Б. Изучение влияние монтмориллонита Каракалпакстана на технологические свойства эластомерных композиции // Композиционные материалы. — 2019. — № 3. — Рр. 8–14.
- Ибадуллаев А., Негматов С.С., Хайдаров И.Ю., Тешабаева Э.У. Влияние дисперсних наполнителей на вязкоупругие свойства не вулканизованних эластомеров // Композиционние материалы. — 2003. — № 2. — С. 5–7.
- Ибадуллаев А., Таджибаева Г.С., Тешабаева Э.У., Негматов С.С. Исследование технологических свойств эластомерных композиций, наполненных кизилгия // Композиционные материалы. — 2004. — № 1. — Рр. 62.
- Ибадуллаев А., Тешабаева Э.У., Сейдабдуллаев Я. Исследование свойств эластомерних композитсий на основе комбинации каучуков СКИ-3+ СКМС-30АРК наполненных бентонитом // Композиционные материалы. — Ташкент, 2016. — № 2. — Рр. 34–38
- Ибадуллаев А., Юсупбеков А.Х., Абдурашидов Т.Р. Использование волластонита в качестве наполнителя резиновых смесей // Каучук и резина. 1984. — № 8. — С. 20–22.
- Кац Г.С., Милевский Д.В. Наполнители для полимерных композиционных материалов. — М.: Химия, 1981. — 736 с.
- Краус Дж. Усиление эластомеров / пер. с англ. под ред. К.А. Печковской. — М.: Химия, 1968. — 483 с.
- Кузьминский А.С., Кавун С.М., Кирпичев В.П. Физико-химические основы получения, переработки и применения эластомеров. — М.: Химия, 1976. — 368 с.
- Негматов С.С., Ибадуллаев А. Исследование и разработка путей усовершенствования основных стадий технологии получения тонкодисперсных високоэффективных инградиентов на основе местного сырья // Композиционные материалы». — 2003. — № 1.— Рр. 53–54.
- Негматов С.С., Лисенко А.М., Ибадуллаев А. К вопросу решения проблемы по разработке технологии получения тонкодисперсных ингредиентов из местного минерального сырья для электротехнической, резинотехнической и других отраслей промышленности // Композиционные материалы. — 2003. — № 2. — С. 43–44.
- Негматов С.С., Тешабаева Э.У., Ибадуллаев У., Таджибаева Г.С., Носирова Л.Т. Исследование влияния кизилгия на кинетику вулканизации резиновых смесей на основе каучуков общего и специального назначения // Композиционные материалы. — 2004. — № 4. — Рр. 45.
- Применение резиновых технических изделий в народном хозяйстве. Справочное пособие / под ред. Д.Л. Федюкина. — М.: Химия, 1986. — 240 с.
- Тешабаева Э.У., Ибадуллаев А., Жураев В.Н. Создание и применение ингредиентов на основе местных сырьевых ресурсов и отходов производств в эластомерных композиционных материалах // Химия и химическая технология. — 2016. — С. 66–71.
- Ibadullayev A., Muftullaeva M.B. Study of adsorption properties of montmorillonite of Karakalpakstan // Austrian Journal of Technical and Natural Sciences. — 2019. — № 7-8. — С. 57–63.
- Ibadullayev A., Muftullaeva M.B. Study of adsorption properties of montmorillonite of Karakalpakstan // Austrian Journal of Technical and Natural Sciences. — 2019. — № 7-8. — С. 57–63.
- Ibadullayev A., Muftullaeva M.B. Study of physic-chemical properties of montmorillonite of Karakalpakstan // Science and education in Karakalpakstan. Nukus. — 2019. — № 4. — Рр. 10–14.