PhD., Бухарский инженерно-технологический институт, Республика Узбекистан, г. Бухара
ИССЛЕДОВАНИЕ ВЛИЯНИЯ ОСНОВНЫХ ПАРАМЕТРОВ ДИСКОВОГО ТРИБОМЕТРА И РЕЖИМОВ ЭКСПЛУАТАЦИИ МАШИН НА КОЭФФИЦИЕНТ ТРЕНИЯ ЭПОКСИДНЫХ КОМПОЗИТОВ ПРИ ВЗАИМОДЕЙСТВИИ С ХЛОПКОМ-СЫРЦОМ
АННОТАЦИЯ
Авторами исследовано влияние основных параметров (радиус трения, диаметр короба, высота короба) дискового трибометра и режимов эксплуатации машин на коэффициент трения эпоксидных композиционных материалов при взаимодействии с хлопком-сырцом. В качестве объектов исследования выбраны антифрикционно-износостойкие композиционные полимерные покрытия на основе эпоксидной смолы ЭД-16. Коэффициент трения, температура в зоне трения и величина плотности трибоэлектрического заряда антифрикционно- износостойких композиционных полимерных покрытий на основе эпоксидной смолы ЭД-16 определяли с помощью O’z DSt 3330: 2018. Установлено что с увеличением номинального давления на хлопок-сырец коэффициент трения композиционных полимерных материалов в основном снижается и оптимальные значения лежат в следующих пределах: средний радиус трения Rтp=140-160 мм, диаметр цилиндрического короба 70÷90 мм и высота короба 60÷80 мм.
ABSTRACT
The authors investigated the influence of the main parameters (friction radius, box diameter, box height) of a disc tribometer and machine operating modes on the friction coefficient of epoxy composite materials when interacting with raw cotton. Antifriction and wear-resistant composite polymer coatings based on ED-16 epoxy resin were chosen as the subjects of the study. The friction coefficient, temperature in the friction zone and the triboelectric charge density of antifriction-wear-resistant composite polymer coatings based on ED-16 epoxy resin were determined using O’z DSt 3330: 2018. It was found that with an increase in the nominal pressure on raw cotton, the friction coefficient of composite polymer materials generally decreases and the optimal values lie within the following limits: average friction radius Rtp = 140-160 mm, cylindrical box diameter 70 ÷ 90 mm and box height 60 ÷ 80 mm.
Ключевые слова: дисковый трибометр, цилиндрический короб, параметр, радиус, диаметр, высота, хлопок-сырец, эпоксидный композит, коэффициент трения, температура в зоне трения, плотность трибоэлектрического заряда.
Keywords: disk tribometer, cylindrical box, parameter, radius, diameter, height, raw cotton, epoxy composite, friction coefficient, temperature in the friction zone, triboelectric charge density.
Введение. Основными параметрами дискового трибометра являются расстояние от центра диска до центра цилиндрического короба, которое в дальнейшем будем именовать радиусом трения Rтр, диаметр цилиндрического короба dr и высота цилиндрического короба hк [1]. Радиус трения Rтр, диаметр цилиндрического короба dr и высота цилиндрического короба hк в значительной мере, могут оказать влияние на показания приборов при измерении антифрикционных свойств полимерных и композиционных полимерных материалов при трении их с хлопком-сырцом.
В связи с этим исследования влияния основных параметров дискового трибометра и режимов эксплуатации машин на коэффициент трения эпоксидных композитов при взаимодействии с хлопком-сырцом играют важную практическую роль при выборе полимеров и разработке композиционных материалов для деталей рабочих органов различных машиностроительных машин и механизмов.
Полученные результаты и их обсуждение. Исследовано влияние основных параметров (радиус трения, диаметр короба, высота короба) дискового трибометра и режимов эксплуатации машин на коэффициент трения эпоксидных композиционных материалов при взаимодействии с хлопком-сырцом. Результаты наших экспериментальных исследований (рис.1) показали, что с возрастанием радиуса трения Rтр, при любых скоростях скольжения коэффициент трения эпоксидных композиций с хлопком-сырцом сначала интенсивно падает, затем в основном стабилизируется. Это объясняется тем, что при малых значениях радиуса трения возрастет влияние разности линейных скоростей скольжения элементарных площадок фрикционного контакта по радиусу трения, в результате чего происходит сильная дезориентация волокон в контактной зоне, приводящая к повышению фактической площади контакта (ФПК) [2-3] и, следовательно, растет сила фрикционного взаимодействия. А стабилизация коэффициента трения f при радиусе трения, равной Rтр=140-160 мм, объясняется уменьшением разности линейных скоростей, способствующем ориентации хлопковых волокон, что приводит к снижению ФПК, и соответственно к снижению плотности трибоэлектрического заряда и температуры в зоне трения (рис. 1).Такой характер изменения коэффициента трения, заряда и температуры объясняется тем, что при больших значениях Rтp значение температур снижается в результате передачи ее в окружающую среду через большую поверхность диска, а при меньших его значениях увеличивается частота контакта, в результате чего интенсифицируется образование заряда трибоэлектричества и температуры в зоне трения, которые, в свою очередь, увеличивают молекулярную составляющую коэффициента трения за счет повышения ФПК с хлопком из- за ухудшения физико-механических свойств поверхностного слоя полимерных материалов
/Sadikova.files/image002.png)
/Sadikova.files/image004.png)
Рисунок 1. Зависимость коэффициента трения (а), температуры в зоне трения (б) и плотность трибоэлектрического заряда (в) от радиуса трения при взаимодействии эпоксидного композита с хлопком-сырцом
1- V=6 м/с; 2- V=4 м/с; 3- V=1 м/с
Следует отметить, что чем больше давление и скорость скольжения, тем сильнее влияние радиуса трения Rтp на величину коэффициента трения f и плотности трибоэлектрического заряда в зоне взаимодействия полимерных материалов с хлопком-сырцом. Полученные данные показывают, что оптимальный радиус трения лежит в пределах 140÷160 мм, а именно, в области перехода на стабильные показания её свойств.
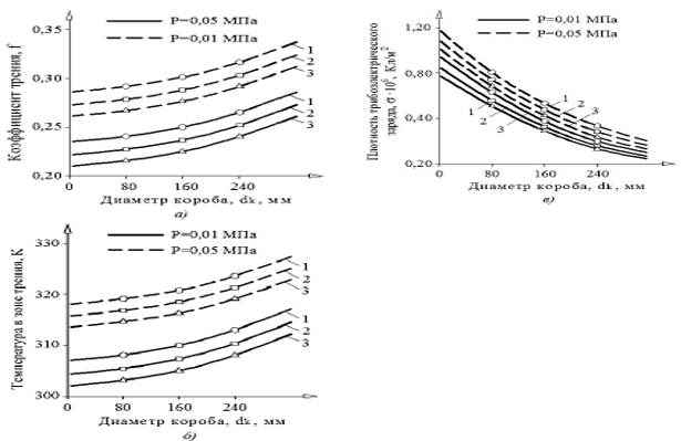
Вторым параметром дискового трибометра, определяющим площадь фактического контакта (ФПК) между волокнистой массой и полимерным материалом и соответственно антифрикционные свойства последнего, является диаметр цилиндрического короба dr.
Рисунок 2. Зависимость коэффициента трения (а), температуры в зоне трения (б) и величина плотности трибоэлектрического заряда (в) от диаметра короба при взаимодействии эпоксидного композита с хлопком-сырцом
1- V=6 м/с; 2- V=4 м/с; 3- V=1 м/с
Исследования показали (рис.2), что с увеличением диаметра цилиндрического короба до 80 мм и более наблюдается возрастание коэффициента трения эпоксидных композиций, взаимодействующих с хлопком- сырцом. А при значениях диаметра короба dк менее 80 мм, по-видимому, под влиянием повышается жесткость массы хлопка-сырца, и поверхностный контакт становится более дискретным, что приводит к снижению ФПК и некоторому снижению коэффициента трения. Увеличение диаметра цилиндрического короба увеличивает коэффициент взаимного перекрытия, что приводит к увеличению ФПК, накоплению трибоэлектрического заряда и повышению температуры в зоне трения, а, следовательно, и коэффициента трения.
Коэффициент взаимного перекрытия [4] для случая взаимодействия волокнистой массы с полимером равен отношению входящих в контакт площадей:
/Sadikova.files/image007.png)
где Aα1 - суммарная площадь хлопковых волокон и семян, взаимодействующих с полимером; Aα2 - площадь цилиндрического короба. Когда коэффициент взаимного перекрытия очень мал, т.е. Квз<1 большая часть выделяющейся при трении теплоты поглощается диском и передается с его поверхности в атмосферу, а при возрастании коэффициента взаимного перекрытия наблюдается увеличение плотности трибоэлектрического заряда и температуры в зоне трения, вследствие возрастания ФПК (рис.3-4 б, в). Увеличение, как давления, так и скорости скольжения приводит к соответствующему повышению плотности трибоэлектрического заряда и температуры в зоне трения.
Таким образом, оптимальным диаметром цилиндрического короба dк следует, очевидно, считать его значение в пределах 80÷100 мм, а именно также в переходной области изменения антифрикционных свойств полимерных материалов. Так как взаимодействие хлопка-сырца с полимером имеет свои особенности, а именно, учет его объемной плотности, которая, в свою очередь, зависит от параметра цилиндрического короба dк и давления, то, очевидно, что высота цилиндрического короба hк является также одним из основных параметров дискового трибометра [5].
Зависимость коэффициента трения, трибоэлектрического заряда и температуры в зоне взаимодействия полимерных материалов с хлопком-сырцом от высоты цилиндрического короба hк показана на рис.3./Sadikova.files/image008.png)
/Sadikova.files/image008.jpg)
Рисунок 3. Зависимость коэффициента трения (а), температуры в зоне трения (б) от высоты короба при взаимодействии эпоксидного композита с хлопком-сырцом
1- при V=6 м/с; 2- при V=4 м/с; 3- при V=1 м/с
Из рис. 3 видно, что коэффициент трения f с увеличением высоты цилиндрического короба hк до значений 90 мм (рис.3, а) не изменяется, а при дальнейшем увеличении hк наблюдается его уменьшение. Такой характер изменения коэффициента трения объясняется тем, что при hк≤ 90 мм и заданной нагрузке объемный вес хлопка-сырца возрастает, а коэффициент пористости интенсивно снижается, в результате существенно снижается взаимная подвижность отдельных элементов массы хлопка-сырца, что приводит к незначительному изменению коэффициента трения [6].
Снижение коэффициента трения с увеличением высоты короба связано с увеличением бокового давления о стенки короба, приводящего к некоторому снижению нормального давления, передаваемого через хлопковую массу. Полученные результаты показывают, что влияние высоты цилиндрического короба hк на коэффициент трения f полимерных и композиционных полимерных материалов согласно приведенных данных хоть и незначителен, но его необходимо считать, оптимальной высотой короба в пределах 60÷80 мм.
Выводы. Таким образом, исследовано влияние основных параметров (радиус трения, диаметр цилиндрического короба дискового трибометра и режимов эксплуатации машин на коэффициент трения. Установлено что с увеличением номинального давления на хлопок-сырец коэффициент трения композиционных полимерных материалов в основном снижается и оптимальные значения лежат в следующих пределах: средний радиус трения Rтp=140-160 мм, диаметр цилиндрического короба 70÷90 мм и высота короба 60÷80 мм.
Список литературы:
- Сайпидинов А., Умаров У.Х., Джалалов Т. и др. Исследование формирования ФПК композиционных полимерных материалов при взаимодействии с волокнистой массой // Композиционные полимерные материалы и их применение в народном хозяйстве: Тезисы докладов П Всесоюзной конференции. - Ташкент, 1983. -С. 126-128.
- Негматов С.С., Гулямов Г., Абед Н.С., Тухташева М.Н. Бозорбоев Ш.А., Эшкабилов О.Х. Исследование влияния минеральных наполнителей на физико-механические свойства полимерных материалов // Новые композиционные и нанокомпозиционные материалы: структура, свойства и применение: Матер. Респуб. научно-техн. конф. - Ташкент: ГУП "Фан ва тараккиёт". - Ташкент, 2018.
- Аскадский А.А., Хохлов А.Р. Введение в физико-химию полимеров. - М.: Научный мир, 2009.
- Абед Н.С., Гулямов Г., Эшкабилов О.Х. Композиты на основе функциональных термопластичных полимерных систем // Современные проблемы науки о полимерах": Cб. тез. Узбекско-Казахского Симпозиума. - Ташкент: ИХФП АН РУз, 2018. – С. 90-92.
- Абед Н.С., Гулямов Г., Негматов С.С., Тухташева М.Н., Эшкабилов О.Х. Особенности механизма химического взаимодействия полимеров с углеграфитовыми наполнителями // Перспективы инновационного развития горно-металлургического комплекса: Матер. Респуб. научно-техн. конф. - Навои: НГГИ, 2018. - С. 222-223.
- Эшкабилов О.Х., Абед Н.С., Гулямов Г., Негматов С.С. Прибор для определения коэффициента трения машиностроительных композиционных полимерных материалов // Перспективы иновационного развития горно- металлургического комплекса: Матер. Междун. научно-техн. конф. - Навои: НГГИ, 2018. – С. 304-305.
- Негматов Сайибжан Садикович, Абед Нодира Сайибжановна, Эшкобилов О. Х. Конструкционные материалы для деталей рабочих органов хлопкоперерабатывающих машин и механизмов // Современные материалы, техника и технологии. 2021. №2 (35).
- Негматов С.С., Гулямов Г., Улмасов Т.У., Абед Н.С., Саидова М.М., Бозорбоев Ш.А., Тухташева М.Н., Эминов Ш. Исследование технологического процесса контактного взаимодействия поверхностей металлических рабочих органов машин с хлопкомсырцом // Композиционные материалы, №1 // –Ташкент, 2020. –С. 120-124.
- Негматов С.С., Гулямов Г., Абед Н.С. Методы определения коэффициента трения, температуры и величины электростатического заряда в зоне трения машиностроительных конструкционных материалов Композиционные и металлополимерные материалы для различных отраслей промышленности и сельского хозяйства / Международная Узбекско-Белорусская научн.-техн. конф. / ГУП "Фан ва тараққиёт" 21-22-май. -Ташкент, 2020 г. –С. 209-211.