мастер турбинного отделения ПАО «Северсталь», РФ, г. Череповец
ПОВЫШЕНИЕ ЭЛЕКТРИЧЕСКОЙ МОЩНОСТИ НА ТЕПЛОЭЛЕКТРОЦЕНТРАЛИ В ЛЕТНИЙ ПЕРИОД ВРЕМЕНИ
АННОТАЦИЯ
В статье рассмотрена проблема сезонного снижения мощности турбогенераторов ТЭЦ-1 (г. Череповец) в летний период, вызванная деградацией вакуума в конденсаторах из-за повышения температуры циркуляционной воды. Для решения предложено внедрение гибридной системы охлаждения с использованием чиллеров модели ChelPr-1920-40/20, подключенных параллельно существующим градирням. Проведены расчеты теплового баланса, обоснована необходимость охлаждения 30% циркуляционного потока (1800 т/ч) и выбрана схема интеграции оборудования. Реализация проекта позволила снизить температуру воды на входе в конденсатор с +35°C до +23°C, восстановив вакуум до 0.095 кгс/см² и увеличив выработку электроэнергии на 12 МВт. Экономический анализ показал срок окупаемости затрат (12.77 млн руб.) в 21 день за счет дополнительного дохода 611 тыс. руб./сутки. Проект демонстрирует эффективность модернизации систем охлаждения для повышения энергоэффективности ТЭЦ в условиях климатических изменений.
ABSTRACT
The article addresses the seasonal power loss of turbine generators at CHP Plant-1 (Cherepovets) during summer, caused by vacuum degradation in condensers due to elevated circulating water temperature. A hybrid cooling system using ChelPr-1920-40/20 chillers, integrated in parallel with existing cooling towers, is proposed as a solution. Heat balance calculations justify cooling 30% of the water flow (1800 t/h), and a technical integration scheme is developed. Implementation reduced the condenser inlet water temperature from +35°C to +23°C, restoring vacuum to 0.095 kgf/cm² and increasing power generation by 12 MW. Economic analysis revealed a payback period of 21 days for the capital costs (12.77 million RUB) due to additional daily revenue of 611,000 RUB. The project highlights the effectiveness of cooling system modernization for enhancing CHP plant efficiency under climate variability.
Ключевые слова: ТЭЦ, мощность турбогенераторов, вакуум в конденсаторе, система охлаждения, чиллеры, тепловой баланс, экономическая эффективность, срок окупаемости, гибридные системы.
Keywords: CHP plant, turbine generators, vacuum degradation, cooling system, chillers, heat balance, economic efficiency, payback period, hybrid cooling systems.
Введение
В Российской Федерации значительное количество промышленных предприятий оснащено теплоэлектроцентралями (ТЭЦ), обеспечивающими энергоснабжение производственных процессов. Ключевой задачей таких ТЭЦ является достижение максимальной часовой выработки электроэнергии. Данная стратегия направлена на сокращение объемов закупки электроэнергии у внешних поставщиков, что способствует оптимизации эксплуатационных расходов предприятия.
Большинство ТЭЦ используют замкнутую систему охлаждения циркуляционной воды в конденсаторах паровых турбин. Принцип работы данной системы заключается в следующем: нагретая в конденсаторе вода транспортируется в градирни, где осуществляется ее охлаждение за счет теплообмена с атмосферным воздухом. Основным недостатком этой технологии является сезонная зависимость эффективности охлаждения. В летний период рост температуры окружающей среды приводит к снижению теплосъема в градирнях, что вызывает перегрев циркуляционной воды, ухудшение вакуума в конденсаторе и, как следствие, падение электрической мощности турбоагрегатов.
Исходные данные и выявленная проблема
Теплоэлектроцентраль ТЭЦ-1 г. Череповца является ключевым объектом энергоснабжения промышленного региона. Её мощность обеспечивается тремя турбогенераторами:
- ТП-120 – 510 (120 МВт)
- ВТ-80 - 420 (81 МВт)
- ВТ-50 – 260 (60 МВт)
Основная эксплуатационная проблема связана с сезонным снижением мощности генерации в период с апреля по сентябрь, когда среднесуточная температура воздуха достигает +20°C. Это приводит к годовым потерям выработки электроэнергии на 8–12%, что негативно влияет на экономические показатели станции.
Детальный анализ причин деградации мощности
Термодинамические аспекты работы конденсатора
Вакуум в конденсаторе турбины — критический параметр, определяющий КПД цикла Ренкина. При повышении температуры охлаждающей воды:
Ухудшается теплопередача между паром и водой, что снижает скорость конденсации пара.
Давление в конденсаторе возрастает (снижение вакуума), увеличивая удельный расход пара на выработку 1 МВт·ч.
Экспериментальные данные (летний период):
- Температура циркуляционной воды на входе в конденсатор: +35°C (при норме ≤25°C)
- Падение вакуума: с 0.1 кгс/см² до 0.25 кгс/см²
- Снижение мощности турбин: 8–15% (см. Табл. 1)
Таблица 1.
Сравнение параметров турбогенераторов
|
Параметр |
ТП-120 |
ВТ-80 |
ВТ-50 |
|
Номинальная мощность |
120 |
81 |
60 |
|
Летняя мощность |
110 |
65 |
50 |
|
Потери, МВт |
10 |
16 |
10 |
Ограничения существующей системы охлаждения
Циркуляционная система включает три градирни с суммарной пропускной способностью 12 000 м³/ч. Однако:
- В летний период эффективность испарительного охлаждения падает из-за высокой влажности и температуры воздуха.
- Тепловая нагрузка на градирни превышает расчётную, что приводит к недостаточному теплоотводу
Разработка и обоснование технического решения
Выбор технологии дополнительного охлаждения
Для компенсации сезонных потерь предложено внедрение чиллеров с водяным охлаждением (модель ChelPr-1920-40/20). Критерии выбора:
- Способность обеспечить температуру воды на выходе +22°C при пиковой нагрузке
- Совместимость с существующей инфраструктурой (давление, диаметр трубопроводов)
- Минимизация энергопотребления (COP ≥ 4.5)
- Расход охлаждающей воды 1920 м³/ч
Расчёт теплового баланса конденсаторов
Турбина ТП-120-560
/Katkov.files/image001.png)
Требуемый расход воды:
/Katkov.files/image002.png)
Турбина ТП-80-420
/Katkov.files/image003.png)
Требуемый расход воды:
/Katkov.files/image004.png)
Турбина ТП-50-260
/Katkov.files/image005.png)
Требуемый расход воды:
/Katkov.files/image006.png)
Общий расход воды: 11 000 т/ч.
Для снижения температуры на 10°C необходимо охлаждение 30% потока (3300 т/ч), что соответствует производительности трёх чиллеров (1950 т/ч каждый).
Интеграция чиллеров в циркуляционный контур
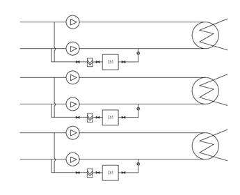
Чиллеры установлены параллельно градирням на линии всаса циркуляционных насосов, как показано на схеме подключения рис.1.
/Katkov.files/image007.jpg)
Рисунок 1. Схема подключения
Регулирование режима работы: автоматическое (на основе данных датчиков температуры воды).
Особенности монтажа данной установки заключаются в установке фильтров грубой очистки (ячейка 200 мкм) для защиты теплообменников от загрязнений.
Результаты внедрения
Технические показатели:
- Температура воды на входе в конденсатор: +23°C (вместо +35°C).
- Восстановление вакуума: 0.095 кгс/см².
- Прирост мощности: 12 МВт (суммарно 240 МВт·ч/сутки).
Экономический эффект
Капитальные затраты на оборудование: 12.77 млн руб. (3 × 4.256 млн руб.).
Прибыль с прироста мощности: 240 МВт/сут × 2124 руб./МВт = 509 760 руб./сутки
Срок окупаемости:/Katkov.files/image008.png)
Заключение
Внедрение чиллеров в систему охлаждения ТЭЦ-1 позволило стабилизировать вакуум в конденсаторах, восстановить номинальную мощность турбогенераторов в летний период и обеспечить высокую рентабельность проекта за счет минимального срока окупаемости. Решение демонстрирует эффективность модернизации теплообменных процессов для повышения энергоэффективности объектов генерации.
Список литературы:
- Трухний А.Д., Макаров А.А., Клименко В.В./Тепловые и атомные электрические станции. / М.Издательский дом МЭИ, 2017. – 576 с.
- Рыжкин В.Я./Тепловые электрические станции./ М.: Энергоатомиздат, 2019. – 480 с.
- Smith R., Jones T./Economic Analysis of Energy Efficiency Projects in Power Generation. / Energy Policy. – 2019. – Vol. 132. – P. 1224-1233.
- Иванов С.П., Петров К.Л./Оптимизация вакуумных систем конденсаторов турбин ТЭЦ. / Теплоэнергетика. – 2020. – № 5. – С. 34-41.
- ASME PTC 12.2-2020/ Performance Test Code on Steam Surface / Condensers./New York: ASME, 2020.