Academician of the Academy of Sciences of the Republic of Uzbekistan, scientific consultant of the State Unitary Enterprise "Fan va tarakkiyot" at the Tashkent State Technical University named after Islam Karimov, Republic of Uzbekistan, Tashkent
INFLUENCE OF ORGANOMINERAL FILLERS CONTENT ON ELECTRICAL-PHYSICAL PROPERTIES OF DEVELOPED COMPOSITE POLYMER MATERIALS
ABSTRACT
The article presents the results of theoretical and experimental studies in the field of operational characteristics and strength of highly effective electrical insulating composite thermosetting polymeric materials and coatings based on them, which are used in the working bodies of machines and mechanisms of the electrical industry and certain results are achieved. In this regard, the development of effective resource-saving technologies for obtaining electrical insulating composite polyethylene polymeric materials for structural purposes based on local raw materials and the establishment of optimal technological parameters for the manufacture of products from them.
The obtained results of the study consist in the fact that by identifying patterns of change, electrophysical and physicomechanical properties of composite epoxy materials depending on the type and content of organomineral fillers, combining fibrous, mineral and carbon-graphite fillers in their composition, which fit well into the framework of the molecular-mechanical-electrical theory of adhesion for the "polymer-filler" and "composite-filler" systems.
АННОТАЦИЯ
В статье приведены результаты теоретических и экспериментальных исследований в области эксплуатационных характеристик и прочности высокоэффективных электроизоляционных композиционных термореактивных полимерных материалов и покрытий на их основе, которые используются в рабочих органах машин и механизмов электротехнической промышленности и достигаются определенные результаты. В связи с этим разработка эффективных ресурсосберегающих технологий получения электроизоляционных композиционных полиэтиленовых полимерных материалов конструкционного назначения на основе местных сырьевых ресурсов и установление оптимальных технологических параметров изготовления из них изделий.
Полученных результатов исследования заключается в том, что путем выявления закономерностей изменения, электрофизических и физико-механических свойств композиционных эпоксидных материалов в зависимости от вида и содержание органоминеральных наполнителей, сочетающие в своем составе волокнистые, минеральные и углеграфитовые наполнители, которые хорошо вписываются в рамки молекулярно-механо-электрической теории адгезии для системы «полимер-наполнитель» и «композит-наполнитель».
Keywords: polymer, electrical insulation, physical and mechanical properties, textolite, epoxy resin, dielectric constant, kaolin, phosphogypsum, wollastonite.
Ключевые слова: полимер, электроизоляционность, физико-механическая свойства, текстолит, эпоксидная смола, диэлектрический проницаемость, каолин, фосфогипс, волластонит.
Introduction. Electrical insulating materials are a special class of electrical materials that are actively used in radio engineering, electronics, mechanical engineering and instrument making to provide electrical insulation between current-carrying parts, construction, power engineering, etc. Their main task is to create an obstacle to the passage of electric current along paths that are not provided for by the electrical circuit.
Also, electrical insulating materials serve to increase the capacity of capacitors, they are able to remove heat when used in electrical machines. One of their key differences is a significantly higher specific volume electrical resistance, due to which they are called dielectric [1-4].
These are just a few examples of the use of electrical insulating materials in industry. But they allow you to clearly imagine the relevance and demand for such products. When it comes to choosing materials, it is important to consider all their characteristics. For example, dielectric strength is an indicator that indicates the ability of a material to withstand high voltage without breakdown.
Today, there is increased interest in the creation of effective electrical insulating composite polymer materials (CPM) with improved physical and mechanical characteristics, including for machines and mechanisms in the electrical industry, which is due to modern requirements and determines the prospects for the development of innovative technologies [5-7].
Based on the analysis of existing works, it should be noted that composite thermosetting epoxy polymer materials used in the electrical industry and designs of electrical-physical machines and mechanisms, and the issues of obtaining polymer coatings with high electrical insulation and physical-mechanical properties obtained on their basis, have not yet been fully resolved. In this regard, the development of technologies for obtaining electrical insulating composite polymer materials for structural purposes based on local raw materials for machines and mechanisms of the electrical industry is relevant [8].
Object and methods of the study. The objects of the study are thermosetting epoxy polymer and dispersed organic-mineral fillers based on local and secondary raw materials and industrial waste, as well as cotton fabric - calico.
Research methods. To study composite epoxy polymer materials, standard methods for determining electrical insulation and physical-mechanical properties were used in the work. The structure and structure of the CPM were studied using an optical microscope, X-ray structural analysis, EPR and IR spectroscopy, differential thermal, and chemical analysis.
Results of the research and their analysis. In order to determine the contribution of fillers to the indicators of electrical-physical properties, measurements of these properties of each component and the original composition were carried out. This made it possible to determine the patterns of change in the indicators of electrical quantities depending on the degree of filling and external influence on the formed composition. Along with studying the properties of composite polymer materials based on ED-16 and FAED-20 depending on the degree of filling, we conducted research to identify the effect of a constant electric field on the standardized material on the same properties.
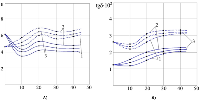
Fig. 1 shows the dependence of the logarithms of the specific volume resistance (pv) and specific surface resistance (ps) on the type and content of fillers in the epoxy composition. As can be seen from Fig. 1, the values of pv and ps with an increase in the filler content tend to decrease towards the predominant component with a lower value of these characteristics for samples treated in a non-uniform constant magnetic field (NCMF) and untreated in them. The values of dielectric constant (ε) in Fig. 2 with an increase in the filler content for samples untreated in NCMF slightly decrease to 25-27 mass parts of filling, then, starting from 30 mass parts, they increase practically with the same step as they decreased and have, upon reaching a filler content over 40 parts by weight, even slightly higher than the value of the original epoxy composition. The influence of the filler contribution on the dielectric properties of the composition as a whole becomes noticeable. A somewhat different picture is observed with external influence on the formed composition of the NCMF.
/Djabarov.files/1.png)
Figure 1. Effect of content and type of organic-mineral ingredients on ρv (A) and ρs (B) of coatings based on ED-16 (──) treated in a magnetic field and (- - -) untreated: 1 - kaolin, 2 - phosphogypsum, 3 – wollastonite
With an increase in the filler content to NCMF 10 mass parts, some increase in the permittivity is observed, then a decrease to 25-27 mass parts occurs, then a slow increase.
Apparently, the orienting effect of NCMF at low filling leads to the ordering of the composition structure, at which the process of enveloping the filler particles with the polymer composition proceeds most favorably. At the same time, the direct interaction between the filler particles weakens. As a result, the total value of the permittivity, although it increases, does not reach the maximum.
This occurs due to the fact that the filler particles experience the orienting effect of the external NCMF in a medium with increased viscosity and for orientation it is initially necessary to attain a certain value of magnetization, at which the magnetic moment acting on the particle will experience this orienting effect.
/Djabarov.files/2.png)
Figure 2. Effect of the content and type of organic-mineral ingredients on ε (A) and tgδ (B) of coatings based on ED-16 (──) treated in a magnetic field and (- - - -) untreated: 1 - kaolin, 2 - phosphogypsum, 3 – wollastonite.
Therefore, the value of the dielectric constant increases with the filler content up to 10 mass parts, reaching some extreme value. With a further increase in the filler content, a certain decrease in the value of the dielectric constant is observed up to 25-27 mass parts. This decrease in the value of the dielectric constant, apparently, can be explained by a less ordered structure caused by an increase in the filler content in the composition. In addition, the orienting effect of the NCMF on such a composition and the dispersion of filler particles located in the form of individual aggregates in a viscous composition becomes more difficult. With a further increase in the filler content, this contribution to the total dielectric constant increases, but does not exceed one relative value. The value of the dielectric loss tangent for untreated and NCMF -treated compositions with kaolin, phosphogypsum and wollastonite change almost identically. The difference is that the effect of NCMF is manifested in a higher tgδ value for the formed compositions with these fillers.
Conclusion. The influence of the content of various mineral fillers on the electrophysical and physicomechanical properties of epoxy and furan-epoxy compositions, which have a complex and extreme character, passing through a maximum, was studied. Optimum electrical insulation properties of epoxy compositions are observed at 30 mass parts of fillers, and for furan-epoxy compositions they are at 40 mass parts of fillers. High adhesive strength of epoxy compositions is observed at 10-20 mass parts of fillers, and for furan-epoxy compositions it is at 20-30 mass parts of filler.
References:
- Электрические свойства полимеров / Сажин Б.И., Лобанов A.M., Романовская О.С. и др.; Под ред. Сажина Б.И. - 3-е изд., перераб. - Л.: Химия, 1986.- 224 с.
- Блайт Э.Р., Блур Д Электрические свойства полимеров Пер.с.англ. М:ФИЗМАТЛИТ, 2008-376с.
- Эминов Ш.О.: Антиэлектростатические композиционные полимерныее материалы и технология получения покрытий триботехнического назначения для хлопкоперерабатывающих машин и механизмов: Дисс. … канд. техн. наук. – Ташкент, 2019. – 125 с.
- Негматов С.С., Абед Н.С., Камолов И.Р., Камолова Д.И., Сайфуллаева Г.И. «Исследование электрофизических свойств композиционных полимерных материалов». Научный вестник Наманганского Государственного Университета. - Наманган 2021 №.1 С. 42-48
- Thermodynamic compatibility and structural characteristics of interpenetrating polymer vibration damping systems for engineering purposes. Soyibjon Negmatov, Nodira Abed, Tulkin Ulmasov and Burkhon Khaminov. E3S Web of Conf., 401 (2023) 05095. DOI: https://doi.org/10.1051/e3sconf/202340105095
- Olim Eshkobilov, Soyibjon Negmatov, Nodira Abed, Giyas Gulyamov. Investigation of the process of electrification of composite polymer coatings in the case of frictional interaction with the fibrous mass. AIP Conf. Proc. 16 June 2022; 2432 (1): 050009. https://doi.org/10.1063/5.0089709
- Sergienko, V.P., Bukharov, S.N., Anisovich, A.G., N.S. Abed, A.Ya. Grigoriev. The Effect of a High-Frequency Electromagnetic Field on Dynamic Mechanical and Tribotechnical Characteristics of Frictional Composites with a Thermosetting Polymer Matrix. J. Frict. Wear 42, 401–407 (2021). https://doi.org/10.3103/S106836662106009X
- Джабаров Б.Т. Исследования современного состояния электрофизических полимерных материалов и их применение в электротехнике// Молодой исследователь: вызовы и перспективы: сб. ст. по материалам CCCLXXVIII Международной научно-практической конференции «Молодой исследователь: вызовы и перспективы». – № 40(378). – М., Изд. «Интернаука», 2024.