преподаватель математики, Чувашский государственный педагогический университет имени И. Я. Яковлева, автор интерактивного обучения MRIE (MathRefresh: Insight Edition), РФ, г. Чебоксары
ИСПОЛЬЗОВАНИЕ ИСКУССТВЕННОГО ИНТЕЛЛЕКТА ДЛЯ ПОДДЕРЖКИ РЕШЕНИЯ МАТЕМАТИЧЕСКИХ ЗАДАЧ: ВОЗМОЖНОСТИ И РИСКИ
АННОТАЦИЯ
Статья посвящена анализу актуальных дискурсов и прогнозных сценариев внедрения генеративного искусственного интеллекта (ГИИ) в сфере образования. Исследование основано на систематическом обозрении экспертных обсуждений и научных публикаций, в которых рассматриваются возможности и риски технологий, подобных ChatGPT, для образовательных практик. Автор выделяет пять групп экспертных мнений – от скептиков, указывающих на угрозы самостоятельности учащихся, до оптимистов, рассматривающих ГИИ как катализатор системных изменений. В статье обнажены проблемные зоны: дефицит педагогической регламентации, возможное снижение качества аргументации обучающихся, риск академической нечестности. Одновременно представлены прогнозы: смена парадигмы обучения с ориентацией на компетенции ИИ-партнёрства, трансформация роли педагога и переосмысление оценки знаний. Заключительный блок предлагает ориентиры для дальнейшего развития – обеспечение этичности, мониторинга и подготовки кадров. Работа формирует целостное видение текущего состояния и ближайших перспектив ГИИ в образовании, подчёркивая, что технологический потенциал возможен лишь при сознательной педагогической интеграции.
ABSTRACT
The article analyzes current discourses and forecast scenarios regarding the implementation of generative artificial intelligence (GAI) in education. The study is based on a systematic review of expert discussions and academic publications examining the opportunities and risks of technologies such as ChatGPT in educational practice. The authors identify five groups of expert perspectives – from skeptics highlighting threats to students’ autonomy to optimists viewing GAI as a catalyst for systemic transformation. The paper reveals several problem areas, including insufficient pedagogical regulation, a potential decline in students’ argumentation quality, and risks of academic dishonesty. At the same time, it outlines forecasted trends such as a paradigm shift toward AI-partnership competences, the transformation of the teacher’s role, and the rethinking of assessment models. The concluding section formulates directions for further development – ensuring ethical standards, establishing monitoring systems, and preparing educators for AI-enhanced learning environments. The study presents an integrated view of the current state and near-term prospects of GAI in education, emphasizing that technological potential can be realized only through deliberate and pedagogically grounded integration.
Ключевые слова: генеративный искусственный интеллект; образование; ChatGPT; экспертные дискуссии; прогнозы; педагогическая регламентация; академическая честность; трансформация обучения.
Keywords: generative artificial intelligence; education; ChatGPT; expert discourse; forecasts; pedagogical regulation; academic integrity; learning transformation.
Введение.
Активное внедрение искусственного интеллекта (ИИ) в образование стало одной из узловых тенденций последних лет, радикально изменив характер познания и способы решения учебных задач. Появление систем вроде ChatGPT, Copilot, Gemini и MathGPT ускорило доступ к информации и трансформировало когнитивные стратегии учащихся. Если раньше решение математических задач требовало последовательных рассуждений и анализа ошибок, то теперь алгоритмы выполняют мгновенный разбор и проверку каждого шага. Возникает парадокс: облегчая обучение, технологии ослабляют когнитивные механизмы, лежащие в основе математического мышления.
Сегодня школьники живут в цифровой среде, где ИИ становится естественным партнёром в обучении. Однако остаётся вопрос – способен ли он быть педагогически безопасным инструментом, усиливающим, а не подменяющим процесс размышления. С одной стороны, ИИ помогает адаптировать обучение, визуализировать абстрактные понятия, поддерживать индивидуальные траектории; с другой – создаёт риски снижения самостоятельности, нарушения академической честности и поверхностного усвоения знаний. Данные противоречия требуют научного анализа, основанного на эмпирических данных.
Исследование направлено на поиск способов интеграции ИИ в процесс решения математических задач как средства развития, а не деградации мышления. Цель – выявить педагогические возможности и риски применения ИИ-ассистентов и выработать рекомендации по их ответственному использованию. Объект – процесс решения задач, предмет – влияние ИИ на рассуждение и академическую добросовестность учащихся.
Гипотеза заключается в том, что контролируемое использование ИИ развивает метакогнитивные навыки и повышает результативность, тогда как свободное обращение снижает глубину понимания и формирует зависимость. Для проверки проводится педагогический эксперимент, включающий анализ когнитивных стратегий и сравнение результатов групп с разными режимами доступа к ИИ.
Научная новизна состоит в первом в российской практике эмпирическом исследовании влияния генеративных ИИ на математическое мышление школьников. В центре внимания – не технологии, а трансформация рассуждения и когнитивной активности в цифровой среде. Практическая значимость – разработка концепции ответственного внедрения ИИ в обучение математике, основанной на принципах педагогической целесообразности и развитии самостоятельного мышления, что может стать основой обновления школьных программ в эпоху цифровизации.
Литературный обзор
Анализ исследований 2020–2025 гг. показывает, что интерес к применению искусственного интеллекта в математическом образовании сформировался не стихийно, а на фоне двух взаимосвязанных процессов – качественного скачка генеративных моделей и их стремительного внедрения в учебную практику. По данным обзорных и библиометрических исследований K. Holman (2025), Q. Van Pham (2025) и D. T. Nguyen (2025), после выхода публичных LLM в 2023 г. количество публикаций по данной теме удвоилось, а внимание исследователей сместилось от описания технологий к анализу когнитивных и этических эффектов [10;11;18]. Математика при этом рассматривается как «чистая» экспериментальная среда, где вклад ИИ можно измерить наиболее объективно, поскольку граница между правильным и ошибочным решением чётко фиксируется.
Сегодня научная повестка сосредоточена на поиске баланса между дидактическим потенциалом и возможными рисками. Потенциал ИИ проявляется в трёх стержневых направлениях (рис. 1):
/Savina.files/image001.png)
Рисунок 1. Потенциал искусственного интеллекта в математическом образовании
Однако, как отмечают J. Garzоn (2025) и H. Yu (2023), устойчивость положительных эффектов возможна только при наличии чётких педагогических целей и ограничений на использование подсказок [9;19].
Особый пласт исследований демонстрирует верхние границы возможностей ИИ в самой математике. Проект AlphaGeometry (T. H. Trinh et al., Nature, 2024) показал способность модели самостоятельно решать задачи олимпиадного уровня, формируя собственные доказательства [4]. Серия отчётов по DeepSeekMath (Z. Shao et al., 2024–2025) подтвердила, что открытые модели, обученные на специализированных корпусах, достигают 50 % точности по бенчмарку MATH и приближаются к проприетарным системам [15]. Эти достижения важны прежде всего педагогически: они доказывают, что ИИ уже способен генерировать готовые решения, что требует смещения образовательного акцента с получения ответа на его обоснование и проверку (табл. 1).
Таблица 1.
Сравнительная характеристика систем
|
Система / источник |
Что демонстрирует |
Педагогическая релевантность |
|
AlphaGeometry (Nature, 2024) |
Автоматическое построение и доказательство сложных геометрических задач |
Показывает «потолок» возможностей ИИ; аргумент в пользу смещения акцента на объяснение |
|
DeepSeekMath (arXiv, 2024–2025) |
Решение олимпиадных задач с высокой точностью на открытых данных |
Источник готовых ответов для учащихся, требует педагогического регулирования |
|
LLM общего назначения (ChatGPT, Gemini, 2023–2025) |
Переформулировка, проверка шагов, генерация подсказок |
Инструмент повседневной поддержки, эффективный при контролируемом использовании |
К 2024–2025 гг. центр научных дискуссий смещается к рискам – подмене рассуждения автоматическими ответами и росту академического недобросовестного поведения. Работы D. R. E. Cotton (2024), E. D. L. Evangelista (2025) и A. Finkel-Gates (2025) фиксируют феномен «квазизнания», когда учащиеся представляют правильные решения без понимания логики рассуждения [5;7;8]. В ответ предлагаются новые форматы контроля: устные защиты, индивидуализированные задания и регламенты «разрешённого использования» ИИ на этапах черновика и проверки.
Российская научная литература развивается в аналогичном направлении, но с акцентом на нормативно-методические аспекты. В статье Л. В. Константиновой (2023) подчёркивается, что генеративный ИИ меняет принципы проектирования учебных заданий и требует внедрения регламентов на уровне образовательных организаций [1]. Более поздние исследования фиксируют высокую готовность студентов России и Казахстана применять нейросети при недостатке методических ориентиров со стороны преподавателей. Таким образом, для отечественной системы ключевой задачей становится управляемость использования ИИ и согласование педагогических решений с документами цифровой трансформации образования (концепции Минпросвещения РФ, 2023–2025), а не просто технологическая готовность обучающихся [2].
Теоретический обзор
Развитие когнитивных и дидактических основ математического образования в эпоху искусственного интеллекта требует нового синтеза – объединения классических представлений о мышлении с концепцией «распределённого интеллекта», в рамках которой человек и алгоритм формируют единую познавательную систему. Данная перспектива позволяет не только фиксировать влияние ИИ на результаты обучения, но и понять, какие именно когнитивные механизмы трансформируются при включении машинного посредника в процесс рассуждения.
Классическая когнитивная традиция, заложенная G. Polya, рассматривала решение математической задачи как процесс последовательных действий – понимание условия, разработка плана, реализация решения и ретроспективный анализ [13]. Особенность этой схемы – её динамичность: каждое звено не просто следует другому, а корректирует и перестраивает предыдущее. A. H. Schoenfeld расширил этот подход, показав, что эффективность решения зависит не столько от набора знаний, сколько от управления когнитивными ресурсами: контроля, времени, убеждений о природе математики [14]. Если включить в этот цикл ИИ, то структура преобразуется: этапы понимания и планирования частично берёт на себя цифровой партнёр, что снижает когнитивное напряжение, но одновременно ослабляет «зоны саморегуляции» – контроль и ретроспекцию.
Для интерпретации когнитивных эффектов целесообразно обратиться к теории когнитивной нагрузки Дж. Суэллера, позволяющей измерить «цену» взаимодействия с ИИ. Общая нагрузка CLtotal представляется суммой внутренней (CLintrinsic), внешней (CLextraneous) и полезной (CLgermane) составляющих:
CLtotal = CLintrinsic + CLextraneous + CLgermane
ИИ, выступая как тьютор, способен снижать CLextraneous (устраняя избыточные формулировки и рутинные вычисления) и усиливать CLgermane – то есть стимулировать формирование устойчивых когнитивных схем. Однако при отсутствии регуляции может наблюдаться обратный эффект: рост внешней нагрузки за счёт переключений между интерфейсом и задачей, а также ослабление внутренней активности обучающегося (рис. 2).
/Savina.files/image002.png)
Рисунок 2. Модельное представление влияния ИИ на структуру когнитивной нагрузки при решении математической задачи
В рамках метакогнитивных теорий обучения (B. Zimmerman, 2013; A. Efklides, 2018) акцент переносится на способность обучающегося контролировать собственное мышление – планировать, мониторить и оценивать свои действия [6;20]. При этом ИИ можно рассматривать как инструмент «внешней метакогниции»: он подсказывает, где допущена ошибка, предлагает план или напоминает о пропущенном шаге. Однако при неосознанном использовании этот внешний контроль подменяет внутренний, что ведёт к снижению способности к саморефлексии [6]. Так, главной задачей становится создание таких педагогических условий, при которых ИИ выполняет роль когнитивного зеркала, а не когнитивного протеза.
Актуальные концепции цифровой дидактики интерпретируют взаимодействие с ИИ через призму распределённого познания (R. Pea, 2020). В этой логике интеллект не принадлежит ни человеку, ни машине отдельно – он «распределён» между ними в процессе деятельности [12], что требует чёткого нормативного разграничения функций: человек отвечает за постановку цели и интерпретацию решения, ИИ – за вариативность подходов и оперативную обратную связь (рис. 3).
/Savina.files/image003.png)
Рисунок 3. Двухконтурная модель взаимодействия «человек – ИИ – задача»
Переходя к нормативно-педагогическому уровню, важно подчеркнуть появление понятия «ответственного использования ИИ», закреплённого в рекомендациях UNESCO (2021) и OECD (2023) [3;17]. Оно предполагает три принципа: прозрачность происхождения данных и ответов; верифицируемость рассуждений; недопустимость подмены авторства и интеллектуальной автономии обучающегося. В контексте образования это означает необходимость формулировать задания с обязательным требованием реконструкции решения, маркировать использование ИИ в работах и развивать навыки критического осмысления цифровой подсказки.
Как видно из теоретической систематизации (табл. 2), ключевые концепции – от когнитивных моделей G. Polya и A. H. Schoenfeld до принципов ответственного использования ИИ – образуют взаимосвязанную структуру, позволяющую интерпретировать взаимодействие ученика и ИИ в когнитивно-педагогическом контексте [13;14].
Таблица 2.
Теоретические основания анализа влияния искусственного интеллекта на процесс решения математических задач
|
Теоретический элемент |
Эмпирический индикатор в исследовании |
|
Этапы решения задач по Поля |
Полнота интерпретации условия, наличие плана, качество рефлексии |
|
Регуляторы Шёнфельда |
Частота обращений к ИИ, тип запросов («подсказка»/«ответ»), самоконтроль |
|
Когнитивная нагрузка (Суэллер) [3] |
Время выполнения, степень фрагментации внимания, количество уточняющих вопросов |
|
Метакогнитивная саморегуляция (Циммерман) |
Уровень самооценки стратегии, качество самообъяснений |
|
Распределённое познание (Pea) |
Доля действий, инициированных ИИ, соотношение «запрос–реакция» |
|
Ответственное использование ИИ (UNESCO, OECD) |
Соблюдение правил обращения к ИИ, отсутствие прямого копирования решений |
Взаимодействие «человек – ИИ – задача» превращается в динамическую систему, где интеллект распределяется между агентами, но ответственность за смысл и результат остаётся на стороне человека.
Методы исследования
Методология исследования направлена на выявление влияния различных режимов взаимодействия с искусственным интеллектом на качество и структуру математического мышления учащихся старшей школы. Работа построена в формате квазиэксперимента, что позволяет сохранять естественные условия учебного процесса и одновременно обеспечивать достаточный уровень научной строгости. Экспериментальная схема «до – воздействие – после» использована для фиксации динамики показателей успешности, глубины рассуждения и метакогнитивных проявлений учащихся, что делает возможным выявление причинно-следственных связей между форматом использования ИИ и учебными результатами.
В исследовании приняли участие 147 учащихся 11-х классов школ Московской области, репрезентативных по уровню подготовки и техническому оснащению. Все участники были разделены на три группы: контрольную, выполнявшую задания без ИИ; экспериментальную с регламентированным использованием цифрового помощника, где количество обращений и этапы взаимодействия были заранее определены; и группу со свободным доступом, использовавшую ИИ без ограничений. Такое распределение позволило сравнить не только влияние самого факта применения интеллектуальной системы, но и степень автономии цифрового посредника в учебной деятельности.
Эмпирическая база включала три взаимодополняющих инструмента. Во-первых, использовался комплект математических заданий трёх уровней сложности – от базовых по алгебре до доказательных задач с элементами олимпиадной логики. Во-вторых, применялись генеративные ИИ-ассистенты (ChatGPT, Claude, MathGPT), функционировавшие в тьюторском режиме; при этом фиксировались журналы обращений, тип запросов, их частота и временные интервалы между ними. В-третьих, проводилось анкетирование и полуструктурированные интервью, направленные на выявление отношения учащихся к ИИ и стратегий взаимодействия с ним – от рефлексивного и инструментального до зависимого поведения.
Анализ данных сочетал количественные и качественные методы. Количественная обработка включала t-тест Стьюдента и дисперсионный анализ (ANOVA) для проверки статистически значимых различий между группами, а также корреляционный анализ, позволивший установить связи между интенсивностью обращений к ИИ и успешностью решения задач (уровень значимости p <0,05). Качественная часть опиралась на контент-анализ рассуждений учащихся, тематический анализ интервью и сопоставление логов взаимодействия с ИИ, что дало возможность классифицировать когнитивные паттерны пользователей как аналитические, проверочные или зависимые.
Этические принципы исследования обеспечивались обязательным информированным согласием всех участников и их родителей, а также полной анонимизацией данных. Загрузка персональной или экзаменационной информации в ИИ-системы исключалась. Все процедуры соответствовали требованиям Федерального закона №152-ФЗ «О персональных данных» и принципам академической добросовестности.
Результаты
В эксперименте приняли участие 147 учащихся 11-х классов общеобразовательных школ Московской области, обучавшихся как по базовой, так и по углублённой математической программе. Возраст участников находился в диапазоне от 16,7 до 17,4 лет (M = 17,1; SD = 0,2), половой состав был сбалансирован: 74 юноши и 73 девушки. Случайным образом учащиеся были распределены по трём экспериментальным условиям:
- группа A – контрольная, без доступа к ИИ (n = 49);
- группа B – с регламентированным доступом к ИИ (n = 50);
- группа C – с полным свободным доступом к ИИ-инструментам (n = 48).
Распределение участников по типам школ (обычная / математический профиль) не показало статистически значимых различий (χ² = 1,84; p> 0,1), что подтверждает исходную сопоставимость условий.
До начала основного этапа эксперимента проведён входной тест, включавший 20 заданий базового и среднего уровня сложности: логарифмические преобразования, линейные и квадратные уравнения с параметрами, задачи на арифметические и геометрические прогрессии, а также элементы планиметрии. Итоговый балл определялся по числу верных решений. Средние результаты оказались равномерными: группа A – 14,8 балла (SD = 2,1), группа B – 14,6 (SD = 2,3), группа C – 14,9 (SD = 2,0). Однофакторный дисперсионный анализ подтвердил отсутствие статистически значимых различий между группами (F (2,144) = 0,312; p = 0,732), что позволяет считать выборку однородной и пригодной для сопоставления дальнейших результатов (табл. 3).
Таблица 3.
Состав выборки и исходные показатели успешности до эксперимента
|
Показатель |
Группа A (n = 49) |
Группа B (n = 50) |
Группа C (n = 48) |
Всего (n = 147) |
|
Средний балл (входной тест) |
14,8 (SD = 2,1) |
14,6 (SD = 2,3) |
14,9 (SD = 2,0) |
14,77 (SD = 2,1) |
|
Мальчики |
24 |
26 |
24 |
74 |
|
Девочки |
25 |
24 |
24 |
73 |
|
Учащиеся мат. классов |
21 |
23 |
20 |
64 |
|
Учащиеся обычных классов |
28 |
27 |
28 |
83 |
По результатам входного теста по группам построена гистограмма, где основное скопление значений приходится на 15 баллов – уровень уверенного базового владения материалом. Отсутствие перекосов подтверждает репрезентативность выборки (рис. 4).
/Savina.files/image004.png)
Рисунок 4. Распределение результатов входного теста по группам
На следующем этапе участники выполняли основной диагностический тест, состоявший из 12 математических задач трёх уровней сложности (по 4 задачи каждого уровня). Задания соответствовали структуре профильного ЕГЭ и включали ключевые темы курса:
- Базовый уровень – вычисления с корнями и степенями, уравнения первой степени, задачи на проценты;
- Средний уровень – квадратные уравнения с параметрами, системы уравнений, задачи на прогрессии;
- Повышенный уровень – логарифмические и тригонометрические уравнения, неравенства с модулями, стереометрические задачи и задачи на движение.
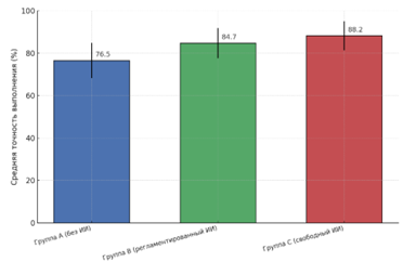
Каждое задание оценивалось в 1 балл, максимум – 12. Основной показатель – точность выполнения (доля верных решений) (табл. 4).
Таблица 4.
Средняя точность выполнения заданий по группам
|
Группа |
Средняя точность (%) |
Стандартное отклонение (SD) |
|
Группа A (без ИИ) |
76,5 |
8,3 |
|
Группа B (регламентированный ИИ) |
84,7 |
7,1 |
|
Группа C (свободный ИИ) |
88,2 |
6,9 |
Анализ дисперсии выявил статистически значимые различия (F (2,144) = 9,46; p <0,001). Парные t-тесты подтвердили достоверно более высокие показатели у групп B и C по сравнению с контрольной (t = –3,21; p = 0,002 для B и A; t = –5,12; p <0,001 для C и A), а также различия между B и C (t = –2,17; p = 0,032). Так, доступ к ИИ повышал успешность, особенно при решении задач повышенной сложности (рис.5).
/Savina.files/image005.png)
Рисунок 5. Гистограмма распределения точности выполнения заданий по группам
Рассмотрение итогов по уровням сложности показывает закономерное усиление различий. На базовом уровне различия минимальны: почти все участники (независимо от группы) справились успешно – точность> 90%. На среднем уровне наблюдался рост разрыва: A – 71%, B – 81%, C – 84%. На повышенном – максимальное расхождение: A – 59%, B – 72%, C – 80% (табл. 5), (рис. 6).
Таблица 5.
Точность выполнения заданий по уровням сложности (%)
|
Уровень сложности |
Группа A |
Группа B |
Группа C |
|
Базовый |
93 |
95 |
96 |
|
Средний |
71 |
81 |
84 |
|
Повышенный |
59 |
72 |
80 |
/Savina.files/image006.png)
Рисунок 6. График точности выполнения задач по уровням сложности
Наиболее выраженный эффект отмечается при решении задач повышенной сложности, где использование ИИ особенно способствует поиску решения. Например, при решении логарифмических уравнений вида:
/Savina.files/image007.png)
участники контрольной группы A тратили в среднем 6,8 минуты, тогда как в группе C – лишь 3,9 минуты.
Среднее время выполнения всех заданий также различалось: A – 62,4 мин (SD = 8,5), B – 58,7 (SD = 9,2), C – 45,3 (SD = 7,8). Однофакторный ANOVA (F (2,144) = 18,37; p <0,001) подтвердил значимость различий, а пост-хок анализ Тьюки показал, что C работала достоверно быстрее обеих остальных (p <0,001), в то время как между A и B различий не обнаружено (p> 0,05) (табл. 5), (рис. 7).
Таблица 5.
Среднее время выполнения заданий по группам
|
Показатель |
Группа A |
Группа B |
Группа C |
|
Среднее время (мин) |
62,4 |
58,7 |
45,3 |
|
Стандартное отклонение (SD) |
8,5 |
9,2 |
7,8 |
|
Минимальное время (мин) |
48 |
42 |
31 |
|
Максимальное время (мин) |
75 |
74 |
61 |
/Savina.files/image008.png)
Рисунок 7. Среднее время выполнения заданий по группам
Сокращение времени при одновременном росте точности демонстрирует формирование автоматизированного режима взаимодействия с ИИ. Особенно проявлялось в группе C: учащиеся часто запрашивали полное решение, минуя аналитическую проверку промежуточных шагов, что ускоряло процесс, но снижало вовлечённость в осмысление задачи.
Дополнительный анализ распределения времени внутри групп показал различия в центральных тенденциях и разбросе показателей. Медианное время выполнения в группе C оказалось существенно ниже, чем в группах A и B. При этом дисперсия значений в группе B была выше, что отражает большую вариативность индивидуальных стратегий выполнения. В группе A показатели распределения времени оказались наиболее однородными.
Проведён корреляционный анализ между временем выполнения и точностью ответов. В группе A коэффициент корреляции составил r = –0,31 (p <0,05), в группе B – r = –0,05, в группе C – r = 0,22 (p = 0,07, незначимая связь). Различия между группами носят количественный характер и могут указывать на разную степень соотношения скорости выполнения и успешности решений.
Помимо количественных показателей успешности и времени выполнения, значимым параметром выступило качество аргументации – степень самостоятельного построения логических рассуждений и обоснования промежуточных шагов. Экспертная комиссия из трёх преподавателей математики проводила оценку по 10-балльной шкале, где 0 означал отсутствие рассуждений (только ответ), а 10 – полное развёрнутое объяснение (табл. 6).
Таблица 6.
Средние баллы по критерию «Качество аргументации»
|
Показатель |
Группа A |
Группа B |
Группа C |
|
Средний балл аргументации |
7,8 |
7,0 |
4,5 |
|
Стандартное отклонение (SD) |
1,2 |
1,5 |
1,7 |
|
Минимум |
5 |
4 |
2 |
|
Максимум |
10 |
9 |
7 |
Разбор подтвердил статистически значимые различия (F(2, 144) = 56,82; p < 0,001). Парные сравнения выявили, что качество аргументации в группе C существенно ниже, чем в A и B (p <0,001), а также зафиксированы различия между A и B (t = –2,41; p = 0,018).
Разбор письменных решений подтвердил характерные различия в подходах. Учащиеся группы A (без ИИ) в 82% случаев представляли развёрнутые рассуждения, описывая выбор метода и последовательность вычислений. В группе B (ограниченный доступ) наблюдался комбинированный стиль – 58% решений включали пояснения идей при частичной автоматизации вычислений. В группе C (свободный доступ) 64% решений ограничивались краткой записью формулы и итогового ответа, часто полностью повторяя структуру решения, предложенного ИИ.
Содержательная оценка рассуждений позволила выделить три типовые модели аргументации: аналитическую, комбинированную и имитационную (табл. 7).
Таблица 7.
Распределение типов аргументации по группам (%)
|
Тип аргументации |
Группа A |
Группа B |
Группа C |
|
Аналитическая |
78 % |
45 % |
18 % |
|
Комбинированная |
17 % |
43 % |
22 % |
|
Имитационная |
5 % |
12 % |
60 % |
При анализе задач с параметрами и стереометрических заданий – требующих длительной последовательности рассуждений – различия проявились особенно ярко. Например, при решении уравнения:
/Savina.files/image009.png)
(необходимо определить количество корней в зависимости от параметра a) учащиеся группы C чаще копировали готовые формулы дискриминанта, не поясняя их применения. В группе B ИИ использовался для проверки отдельных шагов («правильно ли я нашёл D?»), тогда как финальный анализ выполнялся самостоятельно. Учащиеся группы A традиционно строили рассуждение полностью, сопровождая его таблицей значений параметра и анализом условий существования корней.
Во время эксперимента фиксировались модели взаимодействия с ИИ, различающиеся по степени вовлечённости: инструментальная (ИИ – вспомогательный инструмент), комбинированная (частичное редактирование решений) и автоматизированная (полное копирование) (табл. 8).
Таблица 8.
Распределение типов решений (%) по группам
|
Тип решения |
Группа A |
Группа B |
Группа C |
|
Аналитическое (самостоятельное) |
85 % |
60 % |
30 % |
|
Частичное с использованием подсказок |
0 % |
30 % |
10 % |
|
Полное решение, сгенерированное ИИ |
0 % |
0 % |
60 % |
|
Ошибочные решения |
15 % |
10 % |
10 % |
Результаты демонстрируют, что в контрольной группе A подавляющее большинство решений (85 %) были выполнены полностью самостоятельно. В группе B 60 % решений сохраняли аналитический характер, но треть заданий решалась при помощи ИИ-подсказок. В группе C самостоятельность резко снизилась – 60 % решений полностью генерировались системой.
Анализ логов взаимодействия показал значимые различия в интенсивности и характере обращений к ИИ (табл. 9).
Таблица 9.
Показатели взаимодействия с ИИ (средние значения)
|
Показатель |
Группа B |
Группа C |
|
Среднее число запросов |
5,2 (SD = 2,1) |
12,8 (SD = 3,4) |
|
Среднее время взаимодействия (мин) |
12,5 (SD = 3,1) |
25,8 (SD = 4,5) |
|
Доля запросов-подсказок |
80 % |
30 % |
|
Доля запросов «реши полностью» |
20 % |
70 % |
В группе B взаимодействие носило осознанный характер: учащиеся проверяли результаты, уточняли шаги и оценивали корректность. В группе C наблюдалась зависимость от готовых решений, что сопровождалось сокращением объёма пояснительных комментариев (в среднем 3 строки против 8 в группе B и 12 в группе A).
Сопоставление количественных и качественных данных показало чёткую зависимость между степенью доступа к ИИ и успешностью решения математических задач. Характер взаимодействия с цифровым помощником определял не только точность выполнения, но и структуру рассуждений учащихся. Средняя точность решений повышалась от 76,5 % в контрольной группе (A) до 84,7 % в группе с регламентированным использованием ИИ (B) и 88,2 % при свободном доступе (C), при этом время выполнения сокращалось на 30 %, а показатель аргументированности снижался с 7,8 до 4,5 балла (табл. 10).
Таблица 10.
Сводные показатели эффективности по группам
|
Показатель |
Группа A |
Группа B |
Группа C |
|
Средняя точность (%) |
76,5 |
84,7 |
88,2 |
|
Среднее время (мин) |
62,4 |
58,7 |
45,3 |
|
Средний балл аргументации (0–10) |
7,8 |
7,0 |
4,5 |
|
Среднее число запросов к ИИ |
– |
5,2 |
12,8 |
|
Тип решений: аналитические (%) |
85 |
60 |
30 |
Корреляционный анализ подтвердил статистически значимые связи между интенсивностью использования ИИ и параметрами эффективности: в группе C наблюдалась положительная зависимость между количеством обращений и точностью (r = 0,62; p <0,01) и отрицательная – с качеством аргументации (r = –0,54; p <0,01) (рис. 8).
/Savina.files/image010.png)
Рисунок 8. Корреляция между частотой обращений к ИИ, точностью и уровнем аргументации
Качественные данные интервью и анкет показали различия в когнитивных стратегиях. В группе B ИИ рассматривался как средство проверки и уточнения рассуждений («помог понять», «проверил логику»), тогда как в группе C он воспринимался как автоматизированный решатель («ввёл задачу – получил ответ»). Доля высказываний, отражающих понимание и самоконтроль, существенно различалась (табл. 11).
Таблица 11.
Семантический анализ речевых паттернов учащихся (%)
|
Категория высказываний |
Группа A |
Группа B |
Группа C |
|
Понимание / осмысление |
68 |
72 |
24 |
|
Механическое выполнение |
14 |
18 |
59 |
|
Самопроверка и сомнение |
42 |
57 |
11 |
|
Доверие к ИИ как авторитету |
– |
28 |
83 |
На основании полученных данных выделены три когнитивные модели взаимодействия с ИИ (рис. 9):
- Аналитическая (A) – решения строятся логически и самостоятельно;
- Интерактивная (B) – ИИ используется как партнёр для проверки и уточнения;
- Имитационная (C) – ИИ выполняет основную часть работы, а учащийся ограничивается минимальным вмешательством.
/Savina.files/image011.png)
Рисунок 9. Когнитивные модели взаимодействия с ИИ при решении математических задач
Данные подтверждают, что степень участия искусственного интеллекта прямо связана с изменением когнитивной структуры деятельности учащихся: при регламентированном доступе наблюдается баланс между эффективностью и аналитической глубиной, тогда как при свободном – увеличение продуктивности при снижении аргументированности.
Обсуждение
Полученные данные убедительно подтверждают гипотезу о двойственном характере влияния искусственного интеллекта на процесс решения математических задач. Эффект повышения успешности при контролируемом доступе к ИИ указывает на оптимизацию когнитивных ресурсов: обучающиеся, освобождаясь от рутинных операций, концентрируют внимание на смысловых аспектах задачи. Что согласуется с концепцией когнитивной нагрузки J. Sweller, согласно которой устранение внешней нагрузки и структурирование информации усиливают переработку содержательного материала [16]. Вместе с тем, зафиксированное снижение качества аргументации при свободном использовании ИИ демонстрирует иной механизм – перераспределение когнитивных функций, когда обучающийся делегирует этапы планирования и проверки алгоритму. Тем самым ослабевает внутренняя регуляция мышления, описанная A. H. Schoenfeld как стержневой фактор продуктивного рассуждения [14].
Результаты исследования созвучны международным исследованиям последних лет. Работы K. Holman (2025) и D. T. Nguyen (2025) отмечают аналогичный парадокс: краткосрочное улучшение академических показателей сопровождается ослаблением аналитических навыков [10;11]. В обзоре Q. Van Pham (2025) этот феномен определяется как «когнитивный комфорт» – склонность учащихся полагаться на мгновенную верификацию ответа вместо внутреннего рассуждения [18]. Наблюдения D. R. E. Cotton (2024) подтверждают, что потенциал ИИ как метакогнитивного партнёра реализуется только при педагогическом сопровождении: без него внешняя обратная связь вытесняет саморефлексию [5]. В контексте настоящего исследования это проявляется особенно отчётливо – при регламентированном доступе ИИ выступает тьютором, а при свободном – заместителем мышления.
Анализ качественных и количественных показателей выявил ряд системных рисков, связанных не столько с технологией, сколько с трансформацией когнитивных установок обучающихся. Формируется поверхностное мышление: учащиеся воспроизводят корректные решения без понимания логической структуры. Возникает феномен «квазипонимания», когда знание содержится в ответе, но не в рассуждении. Одновременно усиливается зависимость от цифровых подсказок – в группе свободного использования среднее количество обращений к ИИ достигало 13 запросов на задачу. Такая частота свидетельствует о снижении толерантности к неопределённости и готовности к самостоятельному поиску. Ещё одна проблема – размывание границ авторства, выражающееся в неосознанном копировании готовых решений и нарушении принципов академической добросовестности.
Настоящие тенденции отражают глубинное противоречие между доступностью знания и его осмыслением. Если ИИ становится постоянным посредником, акт мышления сокращается до выбора и подтверждения ответа. Так, педагогическая задача заключается не в ограничении технологий, а в создании условий, при которых искусственный интеллект стимулирует внутренние когнитивные процессы, а не замещает их (табл. 12).
Таблица 12.
Основные когнитивные риски при использовании ИИ в обучении математике
|
Вид риска |
Когнитивный механизм |
Поведенческое проявление |
Педагогическая интерпретация |
|
Поверхностное мышление |
Подмена внутренней метакогниции внешним контролем |
Быстрое получение ответа без пояснений |
Снижение осмысленности рассуждений и аргументации |
|
Когнитивная зависимость |
Автоматизация принятия решений |
Частые обращения к ИИ, избегание трудных шагов |
Ослабление инициативы и самостоятельности |
|
Академическая нечестность |
Размывание границ авторства |
Использование готовых решений без анализа |
Утрата ответственности за результат, подмена творческого труда |
Педагогическая интерпретация этих рисков позволяет говорить о необходимости введения «зоны продуктивного напряжения» – состояния, в котором ИИ облегчает работу с рутинными элементами, но не устраняет потребность в размышлении. В группе с регламентированным доступом именно этот баланс был достигнут: алгоритм использовался как инструмент проверки и уточнения, что активизировало рефлексию и усиливало метакогнитивный контроль. Такой режим взаимодействия можно рассматривать как оптимальную форму «распределённого интеллекта», где человек сохраняет роль инициатора смысла, а система – роль аналитического партнёра.
Следовательно, выявленные эффекты подтверждают, что педагогическая ценность ИИ определяется не степенью его технологической развитости, а характером включения в образовательную среду. При отсутствии нормативных и методических рамок цифровой партнёр превращается в замену мышления, тогда как при осознанном, дозированном использовании – в катализатор рефлексии и развития познавательной автономии.
Тем не менее исследование имеет ряд ограничений, связанных с возрастом и составом выборки: эксперимент проводился среди учащихся 11-х классов одной образовательной территории. Не учитывались различия в когнитивной зрелости и мотивации младших школьников или студентов, для которых механизмы взаимодействия с ИИ могут быть иными. Кроме того, временные рамки эксперимента не позволили зафиксировать долгосрочные эффекты – изменение устойчивости мышления и зависимости от цифрового посредника. В дальнейшем представляется целесообразным проведение лонгитюдных наблюдений и разработка инструментов диагностики уровней осознанности при работе с ИИ, что позволит перейти от констатации эффектов к построению моделей ответственного педагогического управления цифровым взаимодействием.
Заключение. Исследование подтвердило, что применение искусственного интеллекта повышает эффективность решения математических задач, однако его неконтролируемое использование ведёт к потере самостоятельности и осмысленности рассуждений. Оптимальным является регламентированный формат, при котором ИИ дополняет мышление, сохраняя роль ученика как активного участника познания.
Учителям важно выстраивать правила работы с ИИ, ограничивая машинные подсказки на этапе решения и развивая навыки критического анализа. Методистам – внедрять задания с элементами рефлексии, а разработчикам – обеспечивать прозрачность и объяснимость цифровых инструментов.
Перспектива развития – создание нормативных моделей ответственного использования ИИ, интеграция их в школьные программы и подготовка педагогов к осмысленному применению технологий в обучении.
Список литературы:
- Л. В. Константинова, В. В. Ворожихин, А. М. Петров, Е. С. Титова, Д. А. Штыхно. Генеративный искусственный интеллект в образовании: дискуссии и прогнозы // Открытое образование. – 2023. – Т. 27, № 2, С. 36-48. DOI: 10.21686/1818-4243-2023-2-36-48
- Министерство просвещения Российской Федерации. Концепция цифровой трансформации образования в Российской Федерации на 2023–2025 годы. – М.: Минпросвещения РФ, 2023. – 42 с.
- OECD. Principles for Responsible Use of Artificial Intelligence in Education. – Paris: OECD Publishing, 2023. – 52 p.
- AlphaGeometry: Autonomous Discovery and Proof Generation in Geometry Problems / T. H. Trinh et al. // Nature. – 2024. – Vol. 627. – P. 134–139.
- Cotton D. R. E. Academic Integrity in the Age of Generative AI // Assessment & Evaluation in Higher Education. – 2024. – Vol. 49(5). – P. 678–692.
- Efklides A. Metacognition and Learning: Theoretical Frameworks and Trends // Educational Psychologist. – 2018. – Vol. 53(3). – P. 222–240.
- Evangelista E. D. L. AI-Driven Learning and the Risk of Cognitive Substitution // Journal of Educational Technology and Society. – 2025. – Vol. 28(1). – P. 112–128.
- Finkel-Gates A. Automation of Thought: Ethical and Cognitive Challenges of AI in Education // Learning, Media and Technology. – 2025. – Vol. 50(2). – P. 99–116.
- Garzоn J. Pedagogical Constraints in AI-Supported Mathematics Learning // British Journal of Educational Technology. – 2025. – Vol. 56(2). – P. 458–474.
- Holman K. Artificial Intelligence in Mathematics Education: Cognitive and Ethical Perspectives // Journal of Educational AI Research. – 2025. – Vol. 3(1). – P. 15–33.
- Nguyen D. T. Generative AI in STEM Learning: From Assistance to Dependence // Education and Information Technologies. – 2025. – Vol. 30. – P. 512–529.
- Pea R. D. Distributed Intelligence and Education // In: Salomon G. (Ed.) Distributed Cognitions: Psychological and Educational Considerations. – Cambridge: Cambridge University Press, 2020. – P. 47–87.
- Polya G. How to Solve It: A New Aspect of Mathematical Method. – Princeton: Princeton University Press, 1945. – 253 p.
- Schoenfeld A. H. Mathematical Problem Solving. – Orlando: Academic Press, 1985. – 337 p.
- Shao Z. et al. DeepSeekMath: Benchmarking Open Mathematical Reasoning Models // arXiv preprint arXiv:2403.10125, 2024.
- Sweller J. Cognitive Load Theory. – New York: Springer, 2011. – 274 p.
- UNESCO. Recommendation on the Ethics of Artificial Intelligence. – Paris: UNESCO, 2021. – 48 p.
- Van Pham Q. The Cognitive Comfort Phenomenon in AI-Supported Learning // Computers & Education. – 2025. – Vol. 213. – Article 105123.
- Yu H. AI Tutors and Cognitive Regulation in Secondary Education // Computers in Human Behavior. – 2023. – Vol. 145. – Article 107751.
- Zimmerman B. J. Becoming a Self-Regulated Learner: An Overview // Theory into Practice. – 2013. – Vol. 41(2). – P. 64–70.