д-р техн. наук, проф. кафедры «Пищевые технологии и безопасность» Ферганского Государственного Технического Университета, Республика Узбекистан, г. Фергана
ИССЛЕДОВАНИЕ ПРОЦЕССОВ МОДИФИЦИРОВАНИЯ СЛОИСТЫХ СИСТЕМ С ПОЛИКАТИОНАМИ
АННОТАЦИЯ
В работе исследовано внедрение полиоксокатионов Кеггина [Cr₁₃O₄(OH)₂₄(H₂O)₁₂]⁷⁺ в слоистые системы различной природы — монтмориллонит и синтетический лапонит. Показано, что степень внедрения зависит от мольного соотношения Cr³⁺/КОЕ и продолжительности процесса. При оптимальных условиях (Cr³⁺/КОЕ = 0,4–0,8 для ММ и 1,0–1,5 для лапонита, время 30–40 ч) достигается увеличение базального параметра d₀₀₁ до 16,8–18,1 Å и высокий выход модифицированных комплексов (90–97 %). Рентгенофазовый анализ подтвердил закономерное смещение базального пика (001) к меньшим углам 2θ по мере роста концентрации полиоксокатионов, что отражает поступательное расширение межслоёв. Сравнительный анализ показал, что лапонит обладает более высокой кристалличностью и устойчивостью к избытку Cr³⁺, тогда как монтмориллонит характеризуется резким приростом d₀₀₁ на ранних стадиях и стабилизацией при Cr³⁺/КОЕ ≥ 2. Полученные результаты позволяют определить оптимальные режимы модификации природных и синтетических глин для создания стабильных модифицированных материалов, перспективных в адсорбционных и каталитических технологиях.
ABSTRACT
The paper studies the incorporation of Keggin polyoxocations [Cr₁₃O₄(OH)₂₄(H₂O)₁₂]⁷⁺ into layered systems of different natures — montmorillonite and synthetic laponite. It is shown that the degree of incorporation depends on the molar ratio of Cr³⁺/CFU and the duration of the process.Under optimal conditions (Cr³⁺/CFU = 0.4–0.8 for MM and 1.0–1.5 for laponite, time 30–40 h), an increase in the basal parameter d₀₀₁ to 16.8–18.1 Å and a high yield of modified complexes (90–97%) are achieved.X-ray phase analysis confirmed the regular shift of the basal peak (001) to smaller 2θ angles as the concentration of polyoxocations increases, which reflects the progressive expansion of the interlayers.Comparative analysis showed that laponite has higher crystallinity and resistance to excess Cr³⁺, while montmorillonite is characterized by a sharp increase in d₀₀₁ in the early stages and stabilization at Cr³⁺/CFU ≥ 2.The obtained results allow us to determine the optimal modes of modification of natural and synthetic clays to create stable modified materials that are promising in adsorption and catalytic technologies.
Ключевые слова:монтмориллонит, лапонит, полиоксокатионы Кеггина, рентгенофазовый анализ, межслоевое расстояние, модифицированные глины.
Keywords: montmorillonite, laponite, Keggin polyoxocations, X-ray phase analysis, interlayer distance, modified clays.
Введение
Слоистые алюмосиликаты, такие как монтмориллонит и его синтетические аналоги, представляют собой перспективные материалы для создания новых адсорбентов и каталитических систем. Их высокая катионообменная ёмкость, развитая поверхность и возможность целенаправленной модификации межслоевого пространства определяют широкий спектр практического применения — от очистки сточных вод и ионообменных процессов до разработки носителей катализаторов и нанокомпозитов [1–5].
Одним из эффективных способов изменения свойств глин является внедрение полиоксометаллатов и полиядерных катионов. В частности, поликатионы Кеггина на основе Cr(III) привлекают внимание благодаря высокой положительной заряженности, устойчивости в водных растворах и способности образовывать стабильные комплексы в межслоевых структурах [4, 5]. В отличие от простых ионов Cr³⁺, для которых требуется полное эквивалентное замещение катионообменных позиций, применение полиядерных комплексов позволяет значительно снизить расход модификатора и повысить эффективность процесса [6-8].
Ранее было показано, что внедрение полиоксокатионов в монтмориллонит сопровождается изменением межслоевого параметра d001 и образованием более устойчивых структур [9-12]. Однако систематические исследования, сравнивающие динамику внедрения в природных и синтетических слоистых системах, встречаются редко. Особенно актуальным является сопоставление монтмориллонита, характеризующегося высокой ёмкостью, но неоднородной структурой, и лапонита, обладающего меньшим зарядом слоя, но высокой кристалличностью и структурной однородностью.
Цель данного исследования - исследование процессов внедрения полиоксокатионов Cr(III) в монтмориллонит и лапонит. Изучено влияние мольного соотношения Cr³⁺/КОЕ и продолжительности процесса на степень внедрения комплексов и изменения базального расстояния d001. Полученные результаты позволяют выявить особенности поведения природных и синтетических слоистых систем и определить оптимальные условия модификации для получения стабильных модифицированных материалов.
Экспериментальная часть:
В качестве объектов исследования были выбраны две слоистые системы: монтмориллонитовая глина (ММ) с катионообменной ёмкостью (КОЕ) 106,2 мг-экв/100 г и синтетический лапонит с КОЕ = 61,5 мг-экв/100 г. В качестве модифицирующего реагента использовался поликатион Кеггина [Cr₁₃O₄(OH)₂₄(H₂O)₁₂]⁷⁺ в виде сульфата.
Количество вводимых полиоксокатионов рассчитывали исходя из величины КОЕ. Для обогащённого монтмориллонита КОЕ составляет 106,2 мг-экв/100 г, что эквивалентно 1,062 ммоль/г, для лапонита — 61,5 мг-экв/100 г (0,615 ммоль/г). Так как поликатион Кеггина несёт заряд +7, для полного замещения всех обменных катионов необходимо 1,062/7 ≈ 0,152 ммоль/г для ММ и 0,615/7 ≈ 0,088 ммоль/г для лапонита. Для сравнения: при модификации простыми ионами Cr³⁺ требуются соответственно 1,062 и 0,615 ммоль/г, что более чем в два раза превышает потребность в полиядерных катионах.
Применение полиоксокатионов позволяет существенно снизить расход модификатора и уменьшить потери активного вещества. Однако полная замена всех обменных катионов практически недостижима в силу ограничений равновесных констант и кинетики обменных процессов. В связи с этим в работе был системно исследован эффект мольного соотношения Cr³⁺/КОЕ на степень внедрения в обеих слоистых системах.
Серия опытов включала введение полиоксокатионов в диапазоне от 0,1 до 5,0 эквивалентов по отношению к КОЕ глины. Для ММ это соответствовало 0,0152–0,76 ммоль/г, для лапонита — 0,0088–0,44 ммоль/г. Степень внедрения оценивали по изменению базального параметра d₀₀₁ и количественно по остаточной концентрации Cr³⁺ в растворе.
Межслоевая структура и факт внедрения анализировались методом порошкового рентгенофазового анализа. Исследования проводились на лабораторном дифрактометре с медным анодом (Cu Kα, λ = 1,54 Å) в геометрии Брэгга–Брентано. Съёмка осуществлялась в диапазоне углов 2θ = 2–40°, что позволило определить межслоевые расстояния и зафиксировать структурные изменения, вызванные модификацией.
Результаты и их обсуждение
Изучено влияние мольного соотношения Cr³⁺/КОЕ на выход внедрения (24 ч при 70 °С), результаты приведены на рис. 1.
/Nazirova.files/image001.png)
Рисунок 1. Изменение выхода внедрения от мольного соотношения Cr3+/КОЕ (продолжительность 24 ч при 70°С)
При увеличении соотношения от 0 до 0,2 наблюдается резкий рост выхода: для ММ до 93,2 %, для лапонита почти полная замена (99,8 %). В диапазоне 0,4–0,6 достигаются максимальные значения (96,5–98,8 % для ММ, 99,7–98,9 % для лапонита), что свидетельствует о полном насыщении межслоевой структуры полиоксокатионами без избытка модификатора.
При дальнейшем росте до 0,8–1,0 выход остаётся на плато (≈98 % для ММ, ≈98–99 % для лапонита), однако при превышении Cr³⁺/КОЕ = 1 эффективность постепенно снижается. Так, при 2–3 эквивалентах она уменьшается до 95,2–91,1 % (ММ) и 97,8–95,3 % (лапонит). При 4–5 соотношениях внедрение существенно ограничено (83,2–70,5 % для ММ, 91,3–85,2 % для лапонита) из-за избытка трёхвалентных ионов, вызывающего осаждение полиоксокатионов вместо их внедрения в межслои.
Лапонит демонстрирует более высокую устойчивость к избытку Cr³⁺, тогда как для ММ оптимальная область внедрения соответствует 0,4–0,8 Cr³⁺/КОЕ.
/Nazirova.files/image002.png)
1)
/Nazirova.files/image003.jpg)
2)
Рисунок 2. Рентгенограммы образцов: 1) ММ; 2) лапонит
На рентгенограмме (рис. 2) монтмориллонита (ММ) базальный пик при 2θ≈6,5° (d001≈1,26 нм, L≈3,8 нм) отличается значительной шириной, что отражает слабую упорядоченность и дефектный характер межслоевой структуры. Дополнительные размытые рефлексы при 15–18° и высокоразрешённые пики при 20–27° и 26,6° указывают на присутствие примесей кварца и кремнезёма. В совокупности это подтверждает малокристалличный и гетерогенный характер природного ММ.
В отличие от него, для лапонита базальное отражение при 2θ≈6,29° (d001≈1,41 нм, FWHM≈0,59°, L≈13,8 нм) значительно уже, что свидетельствует о более совершенной укладке слоёв. Узкие интенсивные пики в области 19–46° и дополнительные рефлексы при высоких углах указывают на высокую кристалличность и однородность структуры. Таким образом, лапонит демонстрирует стабильную, хорошо упорядоченную слоистую архитектуру, выгодно отличающуюся от дефектной структуры ММ.
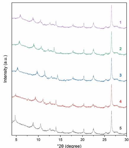
/Nazirova.files/image004.jpg)
Рисунок 3. Рентгенограммы образцов ММ,модифицированных при различных соотношениях Сr3+/КОЕ: 1) 0,3; 2) 0,5; 3) 1,0; 4) 2; 5) 5
/Nazirova.files/image005.jpg)
Рисунок 4. Рентгенограммы образцов лапонитов,модифицированных при различных соотношениях Сr3+/КОЕ: 1) 0,3; 2) 0,5; 3) 1,0; 4) 2; 5) 5
Экспериментальные данные (рис. 3 и 4) показали чёткое увеличение базального расстояния d₀₀₁ у монтмориллонита (ММ) и лапонита с ростом соотношения Cr³⁺/KOH. В исходных образцах d₀₀₁ составляло 12,6 Å для ММ и 14,1 Å для лапонита. При повышении соотношения Cr³⁺/KOH до 0,3; 0,5; 1; 2 и 5 наблюдалось последовательное расширение межслоев: для ММ — до 13,1; 14,8; 16,4; 16,8 и 17,0 Å, для лапонита — до 14,2; 15,3; 17,3; 17,9 и 18,1 Å. Наибольший прирост фиксировался при переходе от низких (0,3–0,5) к средним (≈1) концентрациям, после чего тенденция постепенно стабилизировалась, приближаясь к предельным значениям.
Расширение межслоёв связано с образованием в щелочной среде крупных Cr(III)-гидроксокомплексов и полиоксокатионов Crₙ(OH)ₘ(3n–), которые, замещая мелкие катионы и частично вытесняя воду, проникают в межпакетные пространства. Эти полиоксокатионы обладают значительным объёмом и сферой гидратации, что напрямую ведёт к росту d₀₀₁.
При этом динамика процесса различается для двух минералов. У лапонита, имеющего большее исходное межслоевое расстояние и высокую гидрофильность, d₀₀₁ увеличивается более линейно и достигает больших абсолютных значений (до 18,1 Å). Для ММ, напротив, характерен резкий прирост d₀₀₁ на ранних стадиях модификации, за которым следует стабилизация около 17,0 Å при Cr³⁺/KOH ≥ 2. Это связано с более плотной упаковкой и высоким зарядом слоя природного минерала.
Рентгенограммы обоих образцов подтверждают указанные закономерности: по мере роста Cr³⁺/KOH базальный рефлекс (001) смещается к меньшим углам 2θ, что соответствует увеличению межслоевого расстояния и наглядно отражает процесс внедрения объёмных гидратированных полиоксокатионов в структуру слоистых силикатов.
/Nazirova.files/image006.png)
Рисунок 5. Влияние продолжительности процесса на выход
Из рисунка видно, что в первые 5 ч внедрения при 70 °C и соотношении Cr³⁺/KOH = 2 наблюдается быстрый рост выхода: у ММ до 38,5 %, у лапонита — до 59,9 %. В течение последующих 5–10 ч скорость остаётся высокой: к 10 ч выход достигает 51,6 % для ММ и 68,3 % для лапонита. Через 20 ч показатели увеличиваются до 69,2 % и 88,1 % соответственно, что указывает на преимущественное насыщение межслоёв крупными полиоксокатионами хрома.
Дальнейшее выдерживание (30–40 ч) приводит к выходам 83,8–91,2 % для ММ и 96,6–96,8 % для лапонита. После 40 ч процесс практически стабилизируется: при 50 ч и более выходы удерживаются на уровне 91–92 % (ММ) и 97–97,2 % (лапонит). Увеличение продолжительности до 70 ч не даёт заметного прироста, а для ММ даже фиксируется небольшое снижение (до 88,6 %), что может быть связано с частичной дестабилизацией модифицированных комплексов или выщелачиванием слабосвязанных форм.
Таким образом, процесс внедрения наиболее активно протекает в первые 20–30 ч, после чего выход постепенно выходит на плато. Для монтмориллонита характерно более медленное насыщение и чувствительность к избыточному времени выдержки, тогда как лапонит достигает почти максимальных значений уже к 30 ч и сохраняет стабильность при дальнейшем интервале.
Заключение
Проведённые исследования показали, что внедрение полиоксокатионов хрома в слоистые системы сопровождается закономерным расширением межслоевого расстояния и ростом выхода внедрения, зависящих от мольного соотношения Cr³⁺/КОЕ и времени процесса.
Для монтмориллонита установлено, что оптимальной областью внедрения является диапазон Cr³⁺/КОЕ = 0,4–0,8 при выдержке 30–40 ч, что обеспечивает увеличение d₀₀₁ до ~16,8 Å и выход свыше 90 %. При дальнейшем увеличении концентрации или времени наблюдается стабилизация показателей либо их снижение, связанное с избытком катионов и частичной дестабилизацией комплексов.
Для лапонита характерна более линейная динамика и высокая устойчивость к избытку модификатора: максимальные значения достигаются уже при Cr³⁺/КОЕ = 1–1,5 и выдержке 20–30 ч, когда межслоевой параметр увеличивается до 17,3–17,9 Å, а выход внедрения стабилизируется на уровне 90–96 %.
Таким образом, синтетический лапонит проявляет более высокую способность к внедрению полиоксокатионов и обеспечивает большую структурную однородность по сравнению с природным монтмориллонитом. Оптимальные условия, выявленные для каждой из систем, позволяют получить стабильные модифицированные материалы с высокой степенью насыщения межслоёв при рациональном расходе реагентов и энергии, что открывает перспективы их практического применения в сорбционных и каталитических технологиях.
Список литературы:
- Е.Н. Иванова, Н.Н. Бурмистрова, М.Б. Алехина, Т.В. Конькова: Адсорбенты для разделения газовой смеси кислород-аргон на основе пилларированных монтмориллонитовых глин / // Успехи в химии и химической технологии. – 2015. – Т. XXIX. – № 3. – С. 74-76.
- S.M. Lee, D. Tiwari, Organo and inorgano-organo-modified clays in the remediation of aqueous solutions: An overview, Appl. Clay Sci., 59-60, 2012, 84-102.
- Wen, K. An intercalant for Keggin-Al₃₀ pillared montmorillonite. Applied Clay Science, 2019.
- L. Zhu, R. Zhu, Simultaneous sorption of organic compounds and phosphate to inorganic-organic bentonites from water, Sep. Purif. Technol. 54 (2007) 71-76.
- O.R. Pal, A.K. Vanjara, Removal of malathion and butachlor from aqueous solution by clays and organoclays, Sep. Purif. Technol. 24 (2001) 167-172.
- S.L. Bartelt-Hunt, S.E. Burns, J.A. Smith, Nonionic organic solute sorption onto two organobentonite as a function of organic-carbon content, J. Colloid Interface Sci. 266 (2003) 251-258.
- Ma Q., Huang X. PLA-laponite nanocomposites for biomedical applicationsnternational Journal of Biological Macromolecules. - 2024. - Vol. 237. - P. 167-173.
- Nazirova R.M., Khoshimov A.A., Tadjiyev S.M., Mirsalimova S.R. //Investigation of solubility kinetics and interaction of stabilizing additive in production of complex fertilizers based on granular nitrate and stabilizing additives//Academicia an international multidisciplionary research journal. 2020. vol 10.issue 5,may page 657-664.
- Wei X., Liu Z. Laponite-based drug delivery systems for sustained release // Pharmaceutical Research. - 2020. - Vol. 37. - P. 445-451.
- Zhang M., Liu Y. Ag-laponite nanocomposites for biomedical applications // Biomaterials Advances. - 2024. - Vol. 148. - P. 214-220.
- Parodia, A.; Prasniski, J. A.; Bertella, F.; Pergher, S. B. C. Keggin-Al₁₃ Polycations: Influence of Synthesis and Intercalation Parameters on the Structural Properties of Al-Pillared Clays. Minerals, 2021, 11(11), 1211.
- Икрамов, М., Назирова Р.М, Мирсалимова, С., Таджиев, С. //Новые виды суспендированных удобрений на основе местного сырья//. Монография. Фергана-Винница: ОО «Европейская научная платформа», 2020. 123 с. https://doi.org/10.36074/ik-na-mi-ta.monograph
- Wang, M.; Pang, J.; Wang, J.; Niu, J. Recent advances in mono-lacunary Keggin-type polyoxometalate-based crystalline materials: From synthetic strategies to functional applications.Coordination Chemistry Reviews, 2024, 508, 215730.
- Назирова Р.М., Таджиев., Мирсалимова С.Р., Кодирова М.Р//Сложные удобрения на основе азотнокислотной переработки необогащённой фосфоритной муки в присутствии нитрата аммония// Universum: технические науки: научный журнал. – № 6(75). Часть 3. М., Изд. «МЦНО», 2020.–стр.18-22. http://7universum.com/ru/tech/archive/category/675
- Xing-yun Zou, Fei Xiao, Sheng-rong Liu, Xiao-qiang Cao, Lin Li, Ming Chen, Liang Dong, Xian-jun Lyu, Yu-jie Gai, Preparation and application of CPC/Keggin-Al30 modified montmorillonite composite for Cr (VI) removal, Journal of Water Process Engineering, Volume 37, 2020, 101348, https://doi.org/10.1016/j.jwpe.2020.101348.
- Назирова Р.М, Таджиев С.М., Мирсалимова С.Р., Хошимов А.А.// Сложные удобрения на основе азотно-сернокислотной переработки необогащенной фосмуки, нитрата аммония и карбамида.“Проблемы современной науки и образования” научно-методический журнал. Издательство «Проблемы науки». Москва, 2020. № 5 (150). стр 20-25.