базовый докторант кафедры Химическая технология Навоийского государственного горно-технологического университета, Республики Узбекистан, г. Навои
КАТАЛИЗАТОРНЫЕ И РАСТВОРИТЕЛЬНЫЕ ЭФФЕКТЫ В СИНТЕЗЕ N2,N3-ГЕКСАМЕТИЛЕНОВОГО ПРОИЗВОДНОГО МОЧЕВИНЫ И ЕГО ЯМР-СПЕКТРАЛЬНОЕ ИССЛЕДОВАНИЕ
АННОТАЦИЯ
Синтезировано производное N2,N3- гексаметилен бис [(п-коричоламино)- N2,N3-(фенил-тиомочевина) - мочевина] и изучена природа катализатора, влияние растворителей на процесс синтеза. В качестве катализатора использовали (пиримидин (C₅H₄N₂), пиридин (C₅H₅N), TЭДA(C2H4)3N2, TЭA (C2H5)3N). Исследование показало, что TЭA является наиболее эффективным катализатором с высоким выходом N2,N3-гексаметиленбис[(п-коричоламино)- N2,N3-(фенилтиомочевина)-мочевина]. Основной причиной этого стал ускоренный процесс обмена протонов. Из растворителей выделяли ДМФА, этанол, толуол, ацетон, дистиллированную воду, при испытаниях выяснилось, что лучшим растворителем является ДМФА. Потому что тот факт, что он имеет полярную апротонную природу, увеличивал производительность реакции. Структура синтезированного вещества была изучена методами ЯМР-спектроскопического анализа.
ABSTRACT
The derivative N2,N3- hexamethylene bis [(p-corycholamino)- N2,N3-(phenyl-thiourea) - urea] was synthesized and the nature of the catalyst and the effect of solvents on the synthesis process were studied. (Pyrimidine (C₅H₄N₂), pyridine (C₅H₅N), TEDA(C2H4)3N2, TEA (C2H5)3N) were used as the catalyst. The study showed that TEA is the most effective catalyst with a high yield of N2,N3-hexamethylene bis[(p-corycholamino)- N2,N3-(phenylthiourea)-urea]. The main reason for this was the accelerated proton exchange process. DMFA, ethanol, toluene, acetone, and distilled water were isolated from the solvents. During testing, it turned out that DMFA was the best solvent. Because the fact that it has a polar aprotic nature increased the reaction performance. The structure of the synthesized substance was studied by NMR spectroscopic analysis.
Ключевые слова: N2,N3-гексаметилен бис[(п-коричоламино)- N2,N3-(фенил-тиомочевина)-мочевина], ДМФА, этанол, ацетон, толуол, вода, пиримидин (C₄H₄N₂), пиридин (C₅H₅N), TЭДA(C2H4)3N2, TЭA (C2H5)3N), фенилизотиоцианат, Гексаметилендиизоцианат, п-коричоламино, этилацетат, 80 мл 10% раствора NaOH, ЯМР спектр, селективность, AN механизм реакции.
Keywords: N2,N3-hexamethylene bis[(p-corycholamino)- N2,N3-(phenyl-thiourea)-urea], DMFA, ethanol, acetone, toluene, water, pyrimidine (C₄H₄N₂), pyridine (C₅H₅N), TEDA(C2H4)3N2, TEA (C2H5)3N), phenylisothiocyanate, Hexamethylene diisocyanate, p-corycholamine, ethyl acetate, 80 ml of 10% NaOH solution, NMR spectrum, selectivity, AN reaction mechanism.
Введение
В химии органического синтеза получение новых функциональных соединений на основе производных мочевины и тиомочевины и изучение их строения сформировалось в последние годы как одно из важных научных направлений. Наличие в составе этого класса соединений нескольких донорных и акцепторных центров объясняется их высокой реакционной способностью, способностью образовывать комплексы, а также биологической активностью [1,2]. В частности, соединения со структурой бис-мочевины и бис-тиомочевины сложны на молекулярном уровне и характеризуются образованием внутримолекулярных и межмолекулярных водородных связей, а также обладают свойством пространственной гибкости [3]. Такие свойства отчетливо проявляются в их физико-химических и спектральных свойствах. В исследованиях производных мочевины и тиомочевины, модифицированных ароматическими фрагментами, было показано, что образование сопряженной системы ароматическим кольцом приводит к перераспределению электронной плотности и, как следствие, к повышению стабильности соединения [4]. В частности, соединения, содержащие фрагмент п-коричолила, характеризуются высокой реакционной способностью и перспективной биологической активностью [5]. В литературных источниках широко освещено образование производных мочевины и тиомочевины в результате взаимодействия изоцианатов и изотиоцианатов с первичными и вторичными аминами. Установлено, что данные процессы, как правило, протекают по механизму нуклеофильного присоединения и начинаются с атаки атома азота амина на электрофильный атом углерода [6].
В ряде исследований показано, что условия реакции — природа катализатора, растворитель, температура и продолжительность реакции — оказывают непосредственное влияние на выход целевого продукта [7]. Отмечено, что синтезы, проводимые в присутствии органических оснований, в частности триэтиламина и триэтилендиамина, характеризуются высоким выходом и селективностью [8]. Данный эффект объясняется повышением нуклеофильности амина под действием основания.
При получении производных тиомочевины на основе бис-мочевины использование гексаметиленового фрагмента в качестве алифатического спейсера придаёт молекуле трёхмерную пространственную гибкость. Согласно литературным данным, такие спейсеры обеспечивают благоприятное взаимное расположение функциональных групп и способствуют формированию стабильной молекулярной структуры [9].
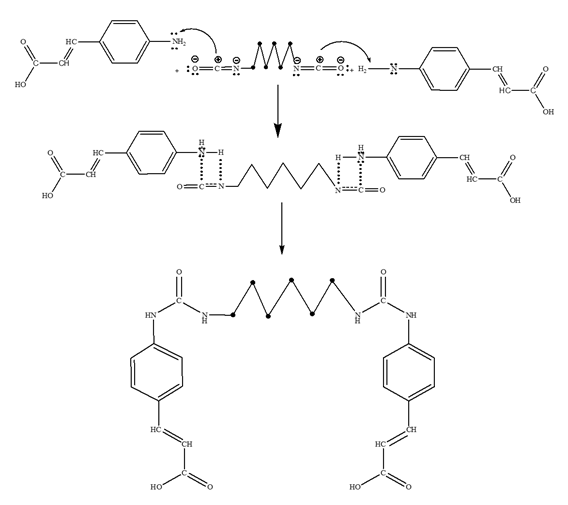
Объект и методы исследования. Процесс синтеза N2,N3- гексаметиленбис [(п-коричоламино)- N2,N3-(фенил-тиомочевина) - мочевина] осуществлялся в 2 этапа. Это было сделано следующим образом [10-11].
Этап 1. 2 г (0,02 моль) п-аминокоричной кислоты растворили в 40 мл ДМФА, и через капельную воронку добавили 1 мл (0,01 моль) гексаметилендиизоцианата. В качестве катализатора использовали ТЭА. Реакцию проводили в течение 3 часов при 40-50 °C. Полученный продукт фильтровали 2-3 раза дистиллированной водой и сушили при комнатной температуре. Было получено 3 г (82,4%) продукта.
Этап 2. Взяли 0,8 г (0,01 моль) N2,N3-гексаметиленбис[(п-коричолиламино)-мочевины], 5 мл фенилизотиоцианата, 10 мл растворителя (ДМФА) и 5 мл катализатора (ТЭА). Сначала растворитель (ДМФА) и N2,N3-гексаметиленбис[(п-коричолиламино)-мочевину] смешивали с помощью магнитной мешалки. Затем ТЭА и фенилизотиоцианат добавляли по каплям к раствору, медленно в течение 15 минут. Реакцию проводили в течение 6 часов при 25-30 °C. По окончании реакции полученный продукт обрабатывали 80 мл 10%-ного раствора NaOH, нейтрализовали избыток реагентов и промывали побочными продуктами. Затем его несколько раз промывали дистиллированной водой и доводили до нейтрального pH. Раствор и осадок разделяют делительной воронкой, а полученный органический слой выпаривают на водяной бане при 70-80 °C. Затем полученную смесь экстрагируют 30 мл этилацетата. Органический слой отделяют, сушат, и растворитель выпаривают. Его сушат в сушильном шкафу в течение 60 мин при 90 °C. Полученный продукт перекристаллизуют из смеси этанола или этилацетата. Полученные кристаллы сушат под вакуумом.
/Toshtemirov.files/image001.png)
Синтез проводился по следующей схеме (это наиболее экономичный метод):
/Toshtemirov.files/image002.png)
Результаты и обсуждения. Высокая плотность, селективность и легкая подвижность электронного облака -N=C=O указывают на его высокую реакционную способность. Выход синтеза, полученного продукта, составил 91,5%.
Как и ожидалось, продукты были получены с хорошим выходом по механизму реакции AN.
На основе нашего анализа и литературных данных мы можем представить возможный механизм взаимодействия гексаметилендиизоцианата с п-аминокоричной кислотой следующей схемой:
/Toshtemirov.files/image003.png)
В ходе исследования также изучалось влияние природы катализатора на выход продукта. Органические основания, такие как пиридин, пиримидин, триэтиламин (TЭА) и триэтилендиамин (TЭДA), были использованы в качестве катализаторов, и их результаты представлены в таблице 1.
Таблица 1.
Влияние природы катализаторов на эффективность образования N2,N3- гексаметилен-бис-[(п-коричолиламино)-N2,N3-(фенилтиомочевина)-мочевина]
|
|
Катализатор Выход, % |
|||
|
Пиримидин (C₄H₄N₂) |
Пиридин (C₅H₅N) |
TЭДA (C2H4)3N2 |
TЭA (C2H5)3N |
|
|
N2,N3- гексаметилен-бис-[(p-коричолиламино)-N2,N3-(фенилтиомочевина)-мочевина] |
64,16 |
73,58 |
80,61 |
91,50 |
Реакция протекает по механизму нуклеофильной атаки и конденсации. Чтобы аминогруппа атаковала изоцианатный центр, она должна находиться в депротонированном активном состоянии. Результаты проведенных экспериментов показали, что триэтиламин является наиболее эффективным катализатором, который активирует аминогруппу на всех стадиях реакции и ускоряет протонный обмен в структуре образующейся мочевины. Пиримидин, с другой стороны, не может полностью активировать реакционный центр из-за π-электронной системы, поэтому процесс протекания реакции замедляется. С другой стороны, ароматическая структура пиридина снижает способность поглощать протоны. Поэтому реакция замедляется. С другой стороны, триэтилендиамин был очень активен, иногда вызывая боковые конденсации (полимеризацию). Результаты исследования показывают, что влияние катализатора на продукт реакции считается очень важным.
Природа и полярность растворителя также изучались в ходе исследования. Растворитель определяет стабильность промежуточных комплексов в реакционной среде и скорость реакции. Испытания проводились в растворителях этанола, толуола, ДМФА (диметилформамида), воды и ацетона.
ДМФА показал лучшие результаты среди растворителей, поскольку он перераспределяет электронную плотность как полярный апротонный растворитель и создает среду, способствующую нуклеофильной атаке. В этаноле и ацетоне реакция протекала несколько медленнее, так как они обладают протонными свойствами, образуя водородные связи между аминогруппами и изоцианатными группами, что стабилизирует переходное состояние реакции и снижает ее скорость.показал лучшие результаты среди растворителей, поскольку он перераспределяет электронную плотность как полярный апротонный растворитель и создает среду, способствующую нуклеофильной атаке. В этаноле и ацетоне реакция протекала несколько медленнее, так как они обладают протонными свойствами, образуя водородные связи между аминогруппами и изоцианатными группами, что стабилизирует переходное состояние реакции и снижает ее скорость. При синтезе в толуоле наблюдалось снижение выходов производных из-за медленного процесса диффузии. Однако в водной среде изоцианатные группы частично гидролизовались, образуя карбаматные производные.
Таким образом, наибольший выход (≈90%) наблюдался в растворителе ДМФА, что объясняется его полярно-апротической природой (рис. 1).
/Toshtemirov.files/image005.png)
Рисунок 1. Влияние растворителей на выход реакции
Для определения структуры молекулы полученного соединения, функциональных групп, форм изомерии и окружающей электронной среды применялся метод ЯМР-спектра. Это метод исследования магнитно-резонансных свойств атомных ядер, позволяющий определить электронную среду молекул, расположение атомов, функциональные группы и стереохимические свойства. Это также позволило определить структурные и пространственные свойства синтезируемого соединения, а также чистоту вещества.
/Toshtemirov.files/image007.jpg)
Рисунок 2. Анализ ЯМР-спектра N2,N3-гексаметилен-бис-[(п- коричолиламино)-N2,N3-(фенилтиомочевина)–мочевина]
Структура синтезированного соединения N2,N3-гексаметилен-бис-[(п-коричолиламино)-N2,N3-(фенилтиомочевина)-мочевина] была подтверждена с помощью спектрального анализа ^1H и ^13C ЯМР(рис 2). В ^1H ЯМР спектре синлетные сигналы, характерные для протонов, связанных с атомами азота в фрагментах п-коричолиламино и фенилтиомочевины, наблюдаются соответственно при 9,87 и 9,49 м.д. Протоны ароматического кольца p-коричолиламино проявляются в виде дублетных сигналов в области 8,26–7,25 м.д., в то время как протоны фрагмента –CH=CH– регистрируются при 7,77–7,81 и 6,28–6,31 м.д. Протоны ароматического кольца фенилтиомочевины дают характерные сигналы в диапазоне 7,59–7,08 м.д. Триплетные сигналы протонов –CH₂, связанных с амидной группой, наблюдаются при 3,86–3,89 м.д., тогда как остальные алифатические –CH₂ протоны проявляются в виде мультиплетов в области 1,68–1,29 м.д.
В ^13C ЯМР спектре сигнал, соответствующий атому углерода группы –C=S, зафиксирован при 185,68 м.д., тогда как сигналы карбонильных атомов углерода –C=O наблюдаются в диапазоне 169,81–152,26 м.д. Ароматические атомы углерода фрагментов п-коричолиламино и фенилтиомочевины, а также атомы углерода фрагмента –CH=CH– проявляются в характерных областях химических сдвигов. Сигналы алифатических атомов углерода –CH₂ групп зарегистрированы при 43,40; 28,59 и 26,81 м.д.
Полученные данные ^1H и ^13C ЯМР спектрального анализа полностью подтверждают предполагаемую молекулярную структуру синтезированного соединения.
Выводы
В данном исследовании синтез N2,N3-гексаметилен-бис-[(п-коричолиламино)-N2,N3-(фенилтиомочевина)-мочевина] осуществляется по механизму AN. Изучено влияние природы катализатора и растворителей на образование продукта и их воздействие на выход реакции. Полученные результаты показали, что правильный выбор каталитической системы и растворителя значительно повышает эффективность процесса синтеза, и были определены оптимальные условия.
Молекулярная структура синтезированного соединения была достоверно подтверждена с помощью методов ЯМР-спектроскопического анализа. Было установлено, что характерные сигналы, наблюдаемые в спектрах, соответствуют протонам и атомам углерода, принадлежащим ядру мочевины и N2,N3-гексаметиленовому фрагменту в соединении.
Список литературы:
- March J. Advanced Organic Chemistry. Wiley, 2013.
- Katritzky A.R. Comprehensive Organic Functional Group Transformations. Elsevier, 2005.
- G. F. Rudakov, M. V. Dubovis, A. S. Kulagin, K. V. Tsar’kova, A. S. Goloveshkin, V. F. Zhilin. Synthesis of Substituted 6-(1H-1,2,3-Triazol-1-Yl)- 4,7-Dihydro-1,3,5-Dioxazepine. Chemistry of Heterocyclic Compounds 2015, 50 (11) , 1634-1646. https://doi.org/10.1007/s10593-014-1633-x.
- Carey F.A., Sundberg R.J. Advanced Organic Chemistry. Springer, 2007.
- Makhsumov A.G., Nabiev U.A., Valeeva N.G., Shomuratova Sh.Kh «Development of synthesis, properties of derivative-l-aminoantravchinon and its bio-simulating activity», Monthly International scientific Journal “Austrian Journal of Technical and Natural Science”, 2018, part I, №16, р.65-70.
- Smith M.B. Organic Synthesis. McGraw-Hill, 2016.
- Katritzky A.R. Chemical Reviews, 2010.
- Vogel A.I. Practical Organic Chemistry. Longman, 2008.
- Makhsumov A. G., Nabiev V. A., Valeeva N. G. Development of synthsis, properties of derivative 1-aminoantrauchinon and its bio-simulating activity // Monthly International scientific Journal “Austria-science”. I part, – No. 16. 2018.– P. 65–70..
- Toshtemirov F. A., Muxiddinov B. F., Maxsumov A. G., Axtamov D.T. Mochevina va tiomochevina birikmasining sintez rejimini optimallashtirish va uning molekulyar tuzilishini spektroskopik metodlar yordamida tasdiqlash Development Of Science 2025/ 12 Issue 12.Volume 6. Ст. 56-67
- Toshtemirov F. A., Muxiddinov B. F., Maxsumov A. G. N2,N3-GEKSAMETILEN BIS [(N-NITROANILINIL)- N2,N3-FENIL-TIOMOCHEVINA)-MOCHEVINA]NI HOSIL BO‘LISH UNUMIGA TURLI OMILLARNI TA’SIRI NAMANGAN DAVLAT UNIVERSITETI ILMIY AXBOROTNOMASI, [2025-11] ISSN:2181-1458 ISSN:2181-0427 ст. 194-201
/Toshtemirov.files/image004.png)