д-р техн. наук, специалист в области теории принятия решений, прикладной статистики, надежности сложных систем, математического моделирования процессов внутренней баллистики, РФ, г. Москва
ПРОЦЕССЫ ИЗМЕНЕНИЯ ВЛАЖНОСТИ В ПОРОХЕ ДЛЯ СПОРТИВНЫХ ПАТРОНОВ И УСЛОВИЯ ЕГО ХРАНЕНИЯ
АННОТАЦИЯ
В статье рассмотрены процессы изменения влажности в порохе для спортивных патронов и предложены оптимальные способы его хранения и подготовки. Первым способом является хранение в условиях, соответствующих заводским, что далеко не всегда возможно. Вторым способом является приведение пороха в нужное состояние перед снаряжением патронов в климатической камере. Желательно сокращать время пребывания пороха в сильно сухом (<30 % RH) или сильно влажном (>70 % RH) воздухе до часов, а не дней, недель и месяцев. Лучшим способом является создание условий по температуре и влажности в помещении, где происходит снаряжение спортивных или охотничьих патронов и стоит открытая банка с порохом. Измерять влажность пороха сложно, но это и не нужно. Если поместить его на несколько дней в климатическую камеру с условиями
,
, влажность будет соответствовать стандарту. Полученные нами расчётные данные не претендуют на статус нормативной или справочной документации. Приведённые значения равновесной влажности, характерных времён диффузии и скоростей изменения ω основаны на упрощённых физических моделях и опубликованных в открытом доступе данных. Все численные оценки в статье следует рассматривать только как инженерные ориентиры для качественного понимания процессов. Статья будет полезна спортсменам-стрелкам, охотникам, а также всем любителям высокоточной спортивной стрельбы из нарезного оружия.
Работа выполнена в интересах мирового спортивного стрелкового сообщества по инициативе авторов и на их собственные средства, с использованием открытых источников информации.
ABSTRACT
The article discusses the processes of changing the humidity in gunpowder for sports cartridges and suggests optimal methods for storing and preparing it. The first method is to store the gunpowder in conditions similar to those at the factory, which is not always possible. The second method is to prepare the gunpowder in a climate chamber before loading the cartridges.
The article discusses the chemical and physical processes in the surface layer of the cartridge case of sporting cartridges and provides recommendations for optimizing the preparation cycles of cartridge cases during self-loading. It is advisable to reduce the time that gunpowder spends in very dry (<30% RH) or very humid (>70% RH) air to hours rather than days, weeks, or months. The best way to do this is to create the right temperature and humidity conditions in the room where you are loading your sports or hunting cartridges and where the open can of gunpowder is located. It is difficult to measure the humidity of gunpowder, but it is not necessary. If you place the gunpowder in a climate chamber with conditions T\approx15\mathrm{–20∘C, \varphi\approx50\mathrm{–60% for a few days, the humidity will be in accordance with the standard.
The calculated data obtained by us do not claim to the status of regulatory or reference documentation. The given values of the equilibrium humidity, characteristic diffusion times and ω rates of change are based on simplified physical models and data published in the open access. All numerical estimates in the article should be considered only as engineering guidelines for the qualitative understanding of the processes. The article will be useful to competitive shooters, hunters, and all enthusiasts of precision rifle shooting. This work was undertaken in the interest of the global competitive shooting community at the authors’ initiative and funded from their own resources, using open-source information.
Ключевые слова: влажность пороха, условия хранения
Keywords: gunpowder humidity, storage conditions
Введение. Нитроцеллюлозные и смешанные бездымные пороха по виду кажутся сухим и стабильным материалом, однако на самом деле это гигроскопичная пористая система, постоянно обменивающаяся влагой с окружающим воздухом. Массовая доля влаги в порохе
определяется сочетанием относительной влажности воздуха
и температуры
, а также временем контакта с этой средой. Массовая доля влаги в порохе определяется как
/Bogoslovsky2.files/image006.png)
где
– массовая доля влаги в порохе,
- масса воды в порохе,
– масса сухого пороха.
Изменения влажности пороха сложно измеряются и редко отслеживаются стрелками, но напрямую отражаются на начальной скорости пули через изменение температуры горения, скорости реакции и максимального давления. Для высокоточной стрельбы (Benchrest, F-Class, PRS и др.) даже небольшие колебания начальной скорости — на единицы процентов — приводят к заметному росту вертикального разлёта. Часть такого разброса может быть связана не только с дозированием и температурой патрона, но и с тем, в каком состоянии по влажности находится порох в момент выстрела. На этом фоне практические рекомендации стрелков («надо сушить» или «надо измерять влажность» или «нужно герметизировать резьбу банки скотчем») часто противоречивы и не опираются на физическую модель.
Рассмотрим, с какой долей влаги выходят пороха с завода. На официальном сайте Vihtavuori в статье “Did you know? Powder moist content” написано: для серий N100 и N300 обычное содержание влаги ≈ 1 % массы. Для серии N500 нормальное содержание влаги ≈ 0,6% массы (из-за добавки нитроглицерина). То есть «нормальный» для Vihtavuori диапазон — примерно 0,6–1 % воды по массе в зависимости от серии. Отдельно (через общие данные по нитропорохам) подтверждается, что большинство современных бездымных порохов как выпускаются, так и калибруются по горению именно в интервале 0,5–1 % влаги.
Какие условия окружающего воздуха этому соответствуют? Vihtavuori рекомендуют следующие условия хранения: положительная температура ниже +20 °C и относительная влажность 55–65 %. При таких условиях порошинки, вышедшие с завода с 0,6–1 % воды, останутся примерно в этом же диапазоне (будет слабый дрейф, но в рамках допуска). Если банку держать в условиях гораздо суше (20 °C и RH 20–30 %), порох со временем подсушится ниже заводской влажности и будет гореть чуть быстрее, а при очень сыром воздухе (20 °C и RH 80–90 %) — наоборот, медленно доберёт воду выше 1%, скорость горения упадёт. Нормальная «целевая точка» для Vihtavuori T ≈ 20 °C, φ ≈ 55–65 %, которая соответствует влажности ω ≈ 0,6–1 % (в зависимости от серии).
По пороху Ирбис/Игла (Россия) и другим российским порохам нет открытых цифр именно от производителя, вероятно они только во внутренних документах заводов. В открытом доступе в руководстве по применению Ирбис, на сайтах магазинов и обзорах есть только общие рекомендации хранить порох в сухом месте при температуре ниже 30 °C, без конкретного указания массовой доли влаги или точного диапазона RH.
Что можно сказать по ГОСТам и аналогам (это уже оценка, а не официальный ответ производителя). По дымным порохам ГОСТ 1028–79 требует массовую долю влаги ≤ 1,0 %. Все ГОСТы для промышленных ВВ (гранулитов и др.) часто задают предел влаги и летучих веществ ≤ 0,6 %. Для охотничьего бездымного пороха «Сокол» по ГОСТ 22781–77 нормируется суммарная массовая доля летучих веществ (в том числе влаги), обычно не более 2 %, с делением на удаляемые и неудаляемые сушкой. Там же указаны условия выдержки элементов патрона перед испытаниями - 12–30 °C и относительная влажность 65–85 % в течение суток. Это не «режим хранения на складе», а стандартная лабораторная кондиционировка перед баллистическими испытаниями. По аналогии с другими российскими нитропорохами и нормативами, можно ожидать (с оговоркой), что Ирбис/Игла выпускается с массовой долей влаги порядка 0,3–1 %, с техническим лимитом по влаге и летучим компонентам до ~1–2 % (конкретные цифры должны быть в ТУ, но они заводом не опубликованы). Точные проценты именно для порохов «Ирбис Охота / Ирбис 24 / Ирбис-135 / 565» открыто не декларируются, поэтому любая конкретная цифра типа «0,8 %» — это уже догадка, а не официальный факт. Какие же условия воздуха примерно соответствуют «нормальной» влаге пороха Ирбис/Игла? С учётом общих данных по нитропорохам (заводская точка 0,5–1% влаги при 40–60 % RH), и российских режимов кондиционирования (12–30 °C, 65–85 % RH), можно разумно считать, что при комнатной температуре 18–22 °C и RH 40–60% порох Ирбис/Игла будет иметь примерно ту же «заводскую» влагу, что и при упаковке. Длительное хранение при очень сухом воздухе (RH <30 %) будет его подсушивать (ω падает ниже заводского). При сыром воздухе (RH> 70–80% при комнатной T) порох медленно набирает влагу (ω растёт выше оптимума), что аналогично поведению Vihtavuori.
Порох с заводского склада хранения поступает в магазины в условно герметичной таре. По нашим данным, условия хранения в магазинах часто не соответствуют требованиям. Из магазинов порох отправляется в сейфы стрелков, которые в абсолютном большинстве не только не имеют климатических камер, но и часто по температуре и влажности значительно отклоняются от оптимальных условий хранения.
После заводского склада хранения (условия в котором мы должны считать соответствующими требованиям) порох проходит следующий цикл: временное хранение в магазинах → хранение в сейфах стрелков в заводской упаковке → вскрытие банки и засыпка пороха в триклер или другую емкость → засыпка пороха в патроны → нахождение пороха в открытых патронах, в рабочей емкости и в триклере → посадка пуль в патроны → ссыпание неиспользованных остатков пороха из триклера или чашки назад в банку → закрытие (и герметизация) банки, размещение банки в сейф → хранение остатков пороха в сейфе до следующей перезарядки патронов.
Влияние влажности пороха на термическое поведение и скорость пули. Работы по термическому анализу бездымных порохов показывают, что увеличение влажности уменьшает эффективную теплоту реакции и смещает температуры начала разложения, тогда как пересушивание может повышать скорость реакции и чувствительность [5, 6]. Присутствие влаги влияет и на расход стабилизатора (этилцентралита) в NC-порохах [7]. С точки зрения внутренней баллистики повышенная влажность (ω выше рабочего диапазона) даёт более «мягкое» горение, меньшую температуру и давление, уменьшение начальной скорости, пересушивание может, наоборот, слегка увеличивать скорость горения и давление, а также повышать чувствительность пороха к внешним воздействиям [5–8]. Количественный эффект сильно зависит от конкретного состава пороха и геометрии патрона, поэтому корректировать навеску под влажность без заводских данных и испытаний нельзя. Практическая задача стрелка — минимизировать вариации массовой доли влаги ω с помощью грамотного хранения, а не «подстраивать заряд под степень высушенности».
Цель настоящей статьи — описать, как меняется влажность в порохе во времени в этих циклах хранения и использования пороха, и как это отражается на работе патрона, исходя из простых уравнений массообмена и данных по гигроскопичности нитроцеллюлозных порохов, найти критически влияющие на изменение влажности пороха операции и на этой основе сформулировать практические рекомендации по оптимальному хранению и обращению с порохом.
Материалы и методы.
Рассматриваются три уровня моделей:
- Равновесная влажность пороха как функция
и
: изотермы сорбции и приближённая зависимость
[4, 8]. - Кинетика выравнивания влажности: диффузия влаги в сыпучем слое и внутрь отдельного зерна, оценка характерных времён при различных сценариях хранения [1–3, 11].
- Баллистические последствия: влияние изменения массовой доли влаги на скорость горения и, как следствие, на начальную скорость пули и стабильность выстрела [5–7].
На основе этих моделей обсуждаются два практических режима:
1. Идеальные условия стационарного хранения и снаряжения патронов (близкие к заводским рекомендациям Vihtavuori и других производителей) [9, 10].
2. Реальные, неидеальные условия хранения с последующим выравниванием влажности в климатической камере (например, в «хумидоре» для сигар) за несколько суток до снаряжения и после ссыпания в банку неиспользованных остатков.
В достижении поставленной цели нам не обойтись без теории. Поэтому в работе использованы не только экспериментальные данные, но и расчетные методы. Лабораторные исследования гигроскопичности нитроцеллюлозы и порохов на её основе показывают, что даже при небольших значениях влажности ω (0,2–1,0 % массы) форма изотерм сорбции типична для гидрофильных полимеров и чувствительна к относительной влажности воздуха [4, 8]. При этом изменение влажности влияет на тепловыделение, кинетику разложения и стабильность стабилизатора, что отражается на долговременной безопасности и баллистических свойствах порохов [5–7]. При увеличении
равновесная влажность
растёт от долей процента до значений порядка 1 % массы.
При этом сама форма изотермы и температура влияют только на десятые доли процента, но этого уже достаточно, чтобы заметно изменить термическое поведение и скорость горения пороха.
1. Влага в воздухе: давление насыщенного пара и относительная влажность
Для начала напомним связь температуры и «ёмкости» воздуха по влаге. Давление насыщенного водяного пара
в зависимости от температуры при 0–40 °C хорошо описывается формулой Тетенса:
/Bogoslovsky2.files/image013.png)
где
— температура воздуха в °C,
— в кПа.
/Bogoslovsky2.files/image015.png)
Рисунок 1. Зависимость давления насыщенного водяного пара
от температуры в диапазоне 0–40 °C
На рис. 1 видно, что кривая давления экспоненциально растёт, показывая, что тёплый воздух может удерживать существенно больше воды, чем холодный. Относительная влажность воздуха определяется как
/Bogoslovsky2.files/image017.png)
где
— парциальное давление водяного пара. На рис. 2 представлена относительная влажность при нагреве воздуха с постоянным содержанием воды. При постоянном абсолютном содержании воды изменение температуры меняет только знаменатель (ёмкость), и
меняется обратным образом. При нагреве воздуха кривая падает (воздух становится «суше» по относительной влажности), при охлаждении — растёт.
/Bogoslovsky2.files/image019.png)
Рисунок 2. Относительная влажность воздуха
при постоянной абсолютной влажности
2. Равновесная массовая доля влаги в порохе
2.1. Модель изотермы сорбции.
Экспериментальные изотермы сорбции для нитроцеллюлозы и родственных полимеров обычно описываются моделями Хейлвуда–Хорробина или GAB, отражающими S-образный характер зависимости
от активности воды
[4, 8]. Равновесная массовая доля влаги
в порохе определяется изотермой сорбции и зависит от относительной влажности и температуры. Для инженерных оценок в диапазоне 0–40 °C удобно использовать аналитическую аппроксимацию (сглаженную логистическую модель):
/Bogoslovsky2.files/image024.png)
/Bogoslovsky2.files/image025.png)
Здесь
— минимальная влажность при очень сухом воздухе (порядка 0,2 %);
— максимальная влажность при 100 % RH на опорной температуре
(например, 1,2 % при 20 °C);
и
задают центр и крутизну S-кривой по относительной влажности;
описывает слабое снижение максимально возможной влажности при росте температуры.
2.2. Изотермы равновесной влажности пороха ωeq(φ) при разных температурах
На основе уравнений (3)–(4) построены изотермы равновесной влажности
при пяти температурах
. Все кривые имеют S-образную форму: при
влажность близка к
; при
— приближается к
, уменьшающейся с ростом T.
/Bogoslovsky2.files/image038.png)
Рисунок 3. Зависимость
при
.
На графиках видно, что главная зависимость идёт по относительной влажности воздуха
; влияние температуры на
при фиксированной φ составляет десятые доли процента.
2.3. Линии равной равновесной влажности пороха
= const в плоскости T–φ
Подставляя разные значения T и φ в (3)–(4), можно найти пары
, при которых порох имеет одну и ту же равновесную влажность
. Для примера рассмотрим
и 0,8 %.
/Bogoslovsky2.files/image046.png)
Рисунок 4. Линии равной влажности в координатах
–
,
.
Кривые идут почти горизонтально. Для сохранения одной и той же влажности пороха при увеличении температуры с 10 до 30 °C достаточно повысить относительную влажность воздуха всего на несколько процентов [4]. Это согласуется с экспериментальными данными [4, 8]. Температурная зависимость EMC для нитроцеллюлозы в комнатном диапазоне действительно слабее, чем зависимость от φ.
Чтобы влажность пороха изменилась, нужно, чтобы реализовалось два процесса: 1) влага проникла через слой пороха к поверхности зерен или из него и 2) была впитана или отдана зерном.
3. Уравнения массообмена в слое пороха и в одиночном зерне
3.1. Диффузия влаги в сыпучем слое
Рассмотрим слой пороха толщиной
, в котором влажность
меняется из-за диффузии и обмена с воздухом. Перенос влаги через пористый слой удобнее всего описывать в рамках классических уравнений Фика [1] и теории массопереноса в пористых средах [2, 3]. Для слоя толщиной H массовая доля влаги ω (z,t) подчиняется зависимости:
/Bogoslovsky2.files/image052.png)
где
— эффективный коэффициент диффузии влаги в слое, учитывающий пористость, извилистость пор и обмен с поверхностью зерен [3, 11].
Поток влаги на поверхности определяется уравнением:
/Bogoslovsky2.files/image054.png)
Граничное условие массообмена воздух–слой описывается соотношением:
/Bogoslovsky2.files/image055.png)
где
— коэффициент массообмена,
— концентрация водяного пара во внешнем воздухе,
— у поверхности слоя.
На дне слоя (на дне банки) поток отсутствует:
/Bogoslovsky2.files/image059.png)
Средняя влажность по толщине:
/Bogoslovsky2.files/image060.png)
Для постоянных
и
характерное время выравнивания:
/Bogoslovsky2.files/image062.png)
Эта оценка имеет тот же вид, что и для классических задач сушки пористых материалов [11]. Проведем оценки изменения массовой доли влажности пороха при хранении запечатанной банки в магазине или в сейфе стрелка после ее выхода со склада хранения производителя.
Модель изменения массовой доли влаги в порохе при хранении в заводской таре
Возьмём простую модель первого порядка:
/Bogoslovsky2.files/image063.png)
Где
— массовая доля влаги в порохе, %;
— равновесие при 20 % RH, 20 °C;
— эффективная константа «высыхания» (1/сут).
Связь
с потоком: вода в порохе:
, изменение массы воды:
, одновременно
. При малых временах можно приравнять начальный поток
и линейную модель:
/Bogoslovsky2.files/image071.png)
Подставляем:
;
;
;
. Получается:
характерное время:
Решение:
где
— время в сутках (или годах, если поделить
на 365).
График уменьшения массовой доли влаги
Посчитаем и построим кривую
для 0–20 лет хранения (рис. 5):
,
,
года. Ключевые точки: через 1 год:
, через 4,5 года (1 τ): выходим примерно на 63 % пути:
через 9 лет (2 τ):
через 13,5 лет (3 τ):
— практически равновесие при 20 % RH.
То есть, чтобы 1 кг пороха в нормальной HDPE-банке при 20 °C и 20 % RH «усох» с 0,8 % влаги до примерно 0,3 %, по оценке, нужно около 10–15 лет непрерывного хранения.
Что можно считать «скоростью диффузии»
В практическом смысле для банки с широким горлом и крышкой на резьбе суммарный поток через стенки + резьбу + крышку равен
при разности влажностей 60 % (с завода) перед хранением до 20% (20 °C) в условиях хранения. Поток на единицу площади корпуса (берём ~ 630 см²)
Это и есть порядок «скорости диффузии влаги» в виде потока через упаковку при
.
/Bogoslovsky2.files/image093.png)
а б
Рисунок 5. График увлажнения и сушки пороха
в банке при нормальной и плохой герметичности для 0–20 лет хранения 1 кг пороха в HDPE-банке при 20 °C и 20 % RH
Параметры модели:
(стартовая массовая доля влаги),
(равновесие при 20 % RH),
года,
По графику видно: к ~5 годам влага падает до ~0,43 %; к ~10 годам — до ~0,33 %; к 15–20 годам — асимптотически к ~0,26 %. На рис. 5а представлен график с двумя кривыми: Жёлтая кривая —нормальная герметичность банки,
года. Влага падает с 0,8 % до ~0,3 % за 10–15 лет. Голубая пунктирная — банка, у которой герметичность хуже в 10 раз (т. е. поток влаги через упаковку в 10 раз больше,
в 10 раз больше,
года). В этом случае: за ~0,5 года влага падает до ~0,43 %, за ~1 год — до ~ 0,30 %, к 2–3 годам фактически достигнута новая равновесная величина ~0,26 %. Обе кривые описываются одной формулой:
/Bogoslovsky2.files/image100.png)
но у «дырявой» банки
в 10 раз меньше.
Поскольку в наши дни порох уходит из магазина очень быстро, можно считать, что в сейф стрелка он поступает практически с заводской влажностью. Далее он хранится в сейфе стрелка в запечатанной банке, поэтому и у него по крайней мере на протяжении 1–2 лет и близких к нормальным условиям массовая доля влаги в порохе не изменится, даже если условия хранения не будут соответствовать заводским. Тем более, что многие стрелки заматывают резьбовое соединение крышки скотчем, дополнительно герметизируя банки.
Переходим к следующему этапу, когда банка с порохом открыта.
3.2. Кинетика изменения средней влажности пороха ω(t) при ступенчатом переходе к новым условиям
Для иллюстрации рассмотрим изменение средней влажности
при ступенчатом переходе от старых условий к новым, когда порох стремится к
. В первом приближении:
/Bogoslovsky2.files/image103.png)
где
— исходная влажность.
/Bogoslovsky2.files/image106.png)
а б
Рисунок 5. Кинетика изменения средней влажности
для 1 кг пороха в банке: «медленный» случай — глубокий столб в банке (толщина ~20–25 см,
~ 2–3 недели); «быстрый» — более тонкий слой/лучший обмен (
~ несколько суток)
В этом расчете мы взяли среднюю массовую долю влаги очень маленькую (0,2%), то есть, вначале у нас сухой порох, и рассматриваем динамику ее увеличения при помещении в условия с высокой влажностью (рис. 5а). По оси X — время, по оси Y — массовая доля влаги (в %). Видно, что модификация условий хранения мгновенно не меняет влажность всего объёма: для глубокого слоя требуются недели, для остатков на дне банки – несколько суток. Обратный процесс сушки (рис. 5б) идет почти с такой же скоростью, поэтому неважно, сушим мы порох или увлажняем. В идеальной линейной модели — симметричны (одинаковое τ), в реальности — немного несимметричны, но порядок времени тот же. В рамках нашей простой модели мы писали уравнение:
/Bogoslovsky2.files/image100.png)
где
— массовая доля влаги в порохе,
— равновесие при данных
,
— начальное значение,
— характерное время (зависит от геометрии слоя, диффузии, герметичности банки, но не от самого
).
Отсюда, если ты ставишь банку в одни и те же условия (T, RH) и считаешь, что
, WVTR упаковки и т. д. постоянны, то константа
одна и та же и для увлажнения, и для высушивания. Т. е.: 0,2 → 0,8 % (если
) 0,8 → 0,2 % (если
) математически описываются одинаковыми экспонентами с тем же τ, только разными
. Время «дойти до 90 % пути» (условно) будет одинаковым в днях и годах.
На рис. 4б и 5б приведены объединённые графики с четырьмя кривыми. На рис. 4б оранжевая сплошная — увлажнение нормальной банки:
,
года. Синяя пунктирная — сушка нормальной банки:
,
то же самое,
года. Зелёная сплошная — увлажнение банки с герметичностью хуже в10 раз:
,
года. Жёлтая пунктирная — сушка пороха в такой же «дырявой ×10» банке:
,
года. Хорошо видно: для одного и того же типа банки (нормальной или дырявой) увлажнение и сушка занимают одинаковое время (симметричная экспонента — просто направление разное); ухудшение герметичности в 10 раз уменьшает
в 10 раз → процесс, который занимал годы, начинает укладываться в месяцы. На рис. 5б идут графики сушки и увлажнения в такой же последовательности.
Что может ломать симметрию в реальности. В жизни идеальной симметрии нет по трём причинам. 1) Сорбционный гистерезис. Для полимеров и пористых материалов часто есть отличающиеся изотермы сорбции и десорбции (кривая «набора воды» и «отдачи воды» не совпадают). Для нитроцеллюлозы и порохов такие эффекты тоже наблюдают, но они в диапазоне процентов от самой влаги → на нашем уровне «0,2–0,8 %» это небольшая поправка, а не в разы. 2) Зависимость проницаемости упаковки от влажности. HDPE, резиновый уплотнитель в крышке и другие детали могут чуть менять свои свойства при очень сухом или более влажном воздухе. WVTR может быть не строго линейным по
. Но это опять же поправка «на десятки процентов», а не «×10». 3) Нелинейность по стороне воздуха. Когда внутри банка влажная, снаружи сухо → один профиль RH через стенку; когда наоборот — другой. Но если мы говорим про умеренные диапазоны (+20 градусов и 60 % RH, 20 °C), нелинейность не драматическая. Итого те же годы и десятилетия, но если мерить очень точно, кривая «увлажнения» и «высушивания» чуть различаются по форме и по эффективному τ. Если мы считаем от 0,2 → 0,8 % (банка долго стоит при 60 % RH, 20 °C), или от 0,8 → 0,2 % (та же банка долго стоит при 20 % RH, 20 °C), то в рамках нашей экспоненциальной модели время до «практического равновесия» одинаково (один и тот же τ для данного типа банки). В реальности могут быть отличия процентов на 20–30, но никакой принципиальной асимметрии «намокает за 1 год, высыхает за 10» нет, пока упаковка и геометрия те же.
3.3. Диффузия внутрь отдельного зерна
Рассмотрим теперь предельный случай, когда слой пороха практически не препятствует диффузии влаги, и влагонасыщение определяется только скоростью диффузии влаги внутрь зерен пороха. Это может быть порох в триклере, или в патронах, у которых пули еще не посажены, или в промежуточной емкости (широкой чашке), или верхний слой в открытой банке. Внутренний влагоперенос в зерне можно описать как диффузию во «влажном» полимере (нитроцеллюлозной матрице) [4, 8]. Рассчитаем скорость выравнивания влажности отдельной порошинки при помещении ее на воздух при влажности 60% RH и 20 градусах Цельсия (рис. 6). Зерно пороха для упрощения (это не повлияет на выводы) смоделируем шаром радиуса
с влажностью
:
/Bogoslovsky2.files/image120.png)
/Bogoslovsky2.files/image121.png)
Средняя по объёму влажность зерна равна:
/Bogoslovsky2.files/image122.png)
/Bogoslovsky2.files/image123.png)
/Bogoslovsky2.files/image125.png)
а б
Рисунок 6. Выравнивание влажности отдельной порошинки
при помещении в воздух 60 % RH, 20 °C: кривая 1 — «мелкая/быстрая» гранула (
ч); кривая 2 — «крупная/медленная» (
ч); (б) – при высыхании гранулы при 20 градусах и 20% влажности (ꞷ0 = 0,8%, ꞷeq = 0,26%)
По графикам рис. 6а видно, что обе порошинки за 2–3 часа практически достигают 90–95 % от новой равновесной влажности. Для реальных размеров зерна (R ~ 0,25–0,5 мм) характерные времена τg лежат в диапазоне десятков минут – нескольких часов [4]. Таким образом, критическим этапом, при котором порох может изменить влажность, является этап от вскрытия банки и высыпания пороха в чашку или триклер до снаряжения патронов (посадки пули) и ссыпания остатков неиспользованного пороха обратно в банку.
На рис. 6б показана скорость высыхания порошинок. Начальная влажность:
; равновесная при 20 °C и 20 % RH:
. Модель та же, экспонента:
/Bogoslovsky2.files/image130.png)
кривые: оранжевая — мелкая гранула,
ч; голубая — крупная гранула,
ч. За ~2–3 часа мелкая гранула практически выходит на ~0,27 %, крупная — к 6 часам опускается до ~0,27–0,28 %.
3.4. Диффузия влаги при нахождении пороха в патроне
Рассмотрим, что происходит с изменением массовой доли влаги в порохе патрона после посадки пули. Капсюль и пуля не обеспечивают идеально полную герметичность патрона, но микрощели очень малы. На рис. 7 представлен график изменения влажности пороха в патроне, (медленное высыхание пороха при помещении патрона в сухую среду) когда обмен влаги с внешней средой крайне слабый. По нему видно, что изменения могут идти годами и десятилетиями. Мы приняли: начальная влажность пороха в патроне:
; внешняя «сухая» среда (20 % RH, 20 °C) → равновесие
; очень слабая «утечка» влаги через капсюль, посадку пули и микрозазоры, с характерным временем
лет. Модель имеет вид:
/Bogoslovsky2.files/image100.png)
где
— время хранения в годах.
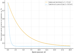
По графику видно: через ~30 лет (1 τ) влажность падает с 0,8 до ~ 0,48 %; через ~60 лет — примерно до 0,35 %; через ~100 лет — к ~0,28 %, то есть почти к равновесным 0,26 %. Это иллюстрация того, что для заряженного патрона изменение влажности пороха — (например, медленное высыхание пороха в гильзе патрона при его помещении в сухую среду) процесс масштаба десятилетий, если только патрон не хранится в экстремальных условиях (коррозия, протечки, повреждения капсюля и т. д.). В данном случае мы хорошо понимаем, что есть гораздо более точные данные, основанные на долговременном хранении или ускоренных климатических испытаниях. А наши данные – это лишь прикидочные расчеты. Мы понимаем, что, когда заводские патроны лакируют, они предназначаются не для спорта, а для использования в экстремальных условиях. Мы лишь хотим этими расчетами показать, что если порох в спортивном или охотничьем патроне намок или высох за короткое время, не исключено, что патрон поврежден коррозией или механическими воздействиями. Для наглядности можно попробовать продуть капсюлированную гильзу через дульце или с посаженной пулей без капсюля через капсюльное гнездо и измерить скорость диффузии воздуха. Что происходит, когда патрон долгое время находится на морозе зимой или под солнцем летом? Массовая доля влаги в порохе практически не изменяется, но изменяется температура пороха внутри патрона. При выстреле патрон ведет себя в соответствии с зависимостью скорости пули от температуры пороха.
/Bogoslovsky2.files/image134.png)
Рисунок 7. Зависимость снижения массовой доли влаги с 0,8% при хранении патрона в засушливом климате
4. Сценарии хранения и характерные времена
На основе представленных выше уравнений и графиков можно выделить три принципиально разных режима диффузии влаги:
4.1. Одиночные зерна или тонкий слой (1–3 толщины зерна). Порох в широкой чашке или в триклере, моменты засыпки пороха в гильзы, пересыпа пороха из банки в триклер или чашку и обратно. Влажность пороха выравнивается за часы. Процесс лимитирует только скорость диффузии в зерне (рис. 6). Это самый критичный момент в обращении с порохом.
4.2. Глубокий столб пороха в негерметичной или открытой банке.
Примем банку с широким горлышком (1 кг, горлышко ~50 см²). Толщина столба ~20–25 см, тогда время τ насыщения поверхностного слоя часы, глубоких слоев порядка недель–месяцев. Средняя влажность всей массы меняется очень медленно, за сутки–двое адаптируется лишь верхняя часть столба [3, 11]. Верхние слои реагируют быстрее, характерное время часы, но средняя влажность всей массы меняется с характерным временем недель (рис. 5). Перемешивание такого пороха перед снаряжением патронов усреднит его влажность и в среднем немного уменьшит.
4.3. Закрытая заводской крышкой, обмотанная скотчем или помещенная в вакуумный пакет банка.
Диффузия влаги в нераспечатанной банке с заводской крышкой идет очень медленно, месяцами и годами. Стрелки часто перестраховываются, обматывая банку скотчем или помещая в вакуумную упаковку. Для экстремальных условий хранения это нужная страховка, но для условий, близких к стандартным – это уже перестраховка. Плотно закрученной крышки с мембраной достаточно для поддержания стабильной массовой доли влаги в порохе длительное время.
4.4. Порох в патроне.
Массообмен сильно ограничен микроподтёками, характерные времена изменения влажности пороха в патроне — годы и десятилетия. Изменение влажности внутри патрона за разумный срок эксплуатации мало по сравнению с химическим старением и коррозией.
5. Рекомендации по режимам хранения и обращению с порохом.
5.1. Идеальные условия стационарного хранения. Опираясь на рекомендации производителей и на приведённые модели, можно сформулировать идеальные условия по температуре и влажности воздуха:
,
. На рис. 3 и 4 видно, что в этом диапазоне
около 0,4–0,7%, а её изменения при разумных колебаниях T и φ минимальны. Производители, в частности Vihtavuori, указывают, что их пороха (серии N100, N300 и N500) имеют заводское влагосодержание около 0,6–1,0 % по массе и рассчитываются на такие значения [9]. Они рекомендуют хранить порох в оригинальной упаковке при температуре около 20 °C и относительной влажности 55–65 %, вдали от источников тепла и прямого солнечного света [9, 10]. В этом диапазоне ωeq для большинства нитропорохов остаётся в пределах 0,4–0,7%, изменения от небольших колебаний T и φ минимальны [4, 8, 10].
Герметичная заводская тара. Хранить порох нужно в исходных металлических или пластиковых банках с исправной крышкой, не пересыпать без необходимости. Если условия хранения отличаются от стандартных незначительно, банки не обязательно герметизировать. Массообмен в заводской банке идет медленно, а внутренняя влажность — практически постоянная на протяжении лет. В типичных HDPE-флаконах скорость переноса влаги через корпус и крышку составляет доли миллиграмма в сутки [11], что даёт характерные времена изменения ω порядка лет и десятилетий при комнатных условиях.
Избегать сильных циклов нагрев–охлаждение, не держать порох на чердаках, в багажниках и других местах с амплитудой T в десятки градусов. Совместная динамика
и
(рис. 1–2) показывает, что такие циклы приводят к периодическому росту и падению
и могут вызывать конденсацию влаги на стенках, локальное намокание и ускоренное старение [5, 7, 10].
Лучше несколько небольших банок, чем одна большая. При вскрытии банки меняется влажность только части запаса. Глубокие не вскрытые банки остаются стабильными (рис. 5) практически в исходном состоянии.
Регулярно контролировать состояние пороха при снаряжении патронов. Периодически проверять запах, цвет и наличие отложений; при признаках деградации (резкий кислый запах, кристаллические налёты) порох подлежит утилизации согласно рекомендациям производителя и нормативам по обращению с энергоёмкими материалами [7, 8].
6.2. Реальные условия + климатическая камера перед снаряжением и после него.
В реальной жизни порох может храниться в условиях, далёких от идеальных: квартиры с сухим отоплением, влажные подвалы, морской или засушливый регион, низкие или высокие температуры, поездки на стрельбище. С учётом характерных времён можно предложить двухступенчатую схему обращения с порохом, хранившимся в нестандартных условиях. Критическим по сути является время, когда порох из банки высыпан в широкую емкость или триклер, или банка стоит открытой, или порох долго стоит в патронах без посадки пули, и с воздухом контактирует большая поверхность, тогда его поверхностные слои сохнут или набирают влагу. Часто стрелки не торопятся сажать пулю после засыпки пороха в гильзу, высыпать остатки неиспользованного пороха обратно в банку, а банку оставляют надолго открытой.
Ограничение времени в «плохой» среде. Желательно сокращать время пребывания открытой или неплотно закрытой банки с порохом в сильно сухом (<30 % RH) или сильно влажном (>70 % RH) воздухе до десятков минут и часов, а не дней, недель и месяцев. В прибрежных районах с влажным морским климатом или наоборот в засушливых зонах проблемы изменения влажности при хранении пороха или снаряжении патронов могут быть острее.
Снаряжение в условиях необходимой температуры и влажности. Идеальным решением является создание условий по температуре и влажности в помещении, где происходит снаряжение патронов (температура
и влажность воздуха
. Тогда порох не будет увлажняться или сохнуть, и его остатки будут ссыпаны обратно в банку в состоянии, полностью соответствующем рекомендуемым условиям хранения. Тогда проблемы изменения массовой доли влаги в порохе при снаряжении патронов просто исчезнут.
Кондиционирование перед снаряжением. Далеко не все стрелки имеют возможность купить климатическую камеру, но это идеальное оборудование для приведения влажности пороха к стандарту перед снаряжением и после него. Измерять влажность пороха очень сложно, но это и не нужно. Вместо этого достаточно за 1–3 суток до снаряжения поместить требуемое количество пороха (можно в банке с широким горлом) в климатическую камеру или «хумидор» для сигар с заданными параметрами, близкими к идеальным: T≈20∘C, φ≈55–60%. Затем накануне снаряжения можно пересыпать порох тонким слоем и выдержать в камере ещё 6–12 часов. Это многократно превышает характерные времена
(рис. 6) для отдельных зёрен и обеспечивает выравнивание влажности ω по всей массе [4]. Не нужно пытаться измерить влажность пороха, это сложно и неточно, нужно просто создать стандартные условия и выдержать его в них заданное время.
Работа на стрельбище: Предпочтительнее использовать небольшие рабочие банки, при длительных сериях не оставлять их открытыми. После стрельбы возвратить остаток пороха в климатическую камеру и дать ему 1–2 суток для «обратного» выравнивания.
Патроны: Заряженные патроны хранят в сухом месте при умеренной температуре; их влажность меняется очень медленно. Не следует пытаться сушить или «увлажнять» уже снаряжённые патроны, массообмен внутрь гильзы крайне ограничен, а термическое воздействие опасно. Химическое старение будет идти быстрее, чем изменение влажности ω, а механические и тепловые воздействия могут повредить патрон [6–8].
Заключение. Полученные нами расчётные данные не являются выдержками из ТУ заводов-производителей и не претендуют на статус нормативной или справочной документации. Приведённые значения равновесной влажности, характерных времён диффузии и скоростей изменения ω основаны на упрощённых физических моделях и опубликованных в открытом доступе данных, а не на заводских измерениях конкретных партий пороха. Все численные оценки в статье следует рассматривать как инженерные ориентиры для качественного понимания процессов, а не как руководство к действию при разработке навесок, испытаниях патронов или организации складского хранения. Для принятия практических решений по безопасности, срокам годности и условиям хранения необходимо руководствоваться только официальными инструкциями и техническими условиями производителей пороха и нормативными документами соответствующих стран.
Авторы статьи не несут ответственности за последствия некорректного использования приведённых моделей и численных примеров при самостоятельных экспериментах с порохом и боеприпасами.
Порох — это гигроскопичная пористая система, в которой влагосодержание определяется сочетанием относительной влажности и температуры окружающего воздуха, а также динамикой переноса влаги в пористом слое и внутри отдельного зерна. Использование простых диффузионных моделей [1–3, 11] и данных по гигроскопичности и термостабильности нитроцеллюлозных порохов [4–8] позволяет оценить характерные времена изменения влажности ω для различных сценариев хранения (от часов в тонком слое до десятилетий для пороха в патроне), выбрать такие режимы хранения и кондиционирования, при которых изменения влажности не вносят существенного вклада в разброс начальной скорости пули, избежать опасных «кустарных» методов сушки и корректировки навески под «влажность», полагаясь вместо этого на стабильные условия хранения [9, 10]. Построенные графики:
и
(рис. 1–2) показывают, как меняется «ёмкость» воздуха по влаге при нагреве и охлаждении.
и линии
в плоскости
–
(рис. 3–4) иллюстрируют слабую T- и сильную φ- зависимость равновесной влажности пороха. Кинетика
в слое и в отдельной порошинке (рис. 5–6) дают характерные времена выравнивания при разных геометриях и позволяют сформулировать практичные, но физически обоснованные рекомендации по хранению и обращению с порохом.
Главный практический вывод: хранение пороха в заводской упаковке приводит к очень медленному изменению влажности, даже если условия хранения не соответствуют стандартным. Критическими для изменения влажности являются операции при засыпке пороха в рабочие емкости и снаряжении патронов. Стрелок не должен пытаться «компенсировать» влагу изменением навески, ему выгоднее обеспечивать стабильное, воспроизводимое состояние пороха по влажности, чем пытаться компенсировать её влияние изменением заряда. Правильно организованное хранение и кратковременное кондиционирование пороха в климатической камере позволяют существенно уменьшить вариации начальной скорости, обусловленные изменением влагосодержания, без риска для безопасности. Измерения влажности пороха как сыпучего материала в бытовых условиях трудоемко и неточно. Но это и не нужно делать. Достаточно поместить порох на несколько суток в стандартные условия (
,
) и можно быть уверенным, что влажность пороха (0,5–1%) будет соответствовать требованиям производителя. Статья и полученные результаты расчетов носят исследовательский характер и не должны восприниматься стрелками как руководство к действию без подтверждения конкретными производителями.
Список литературы:
- Фик А. О жидкой диффузии // Philosophical Magazine and Journal of Science. 1855. Vol. 10. P. 30–39.
- Hassanizadeh S.M. Derivation of basic equations of mass transport in porous media. Part 2. Generalized Darcy’s and Fick’s laws // Advances in Water Resources. 1986. Vol. 9, No. 3. P. 207–222.
- Tartakovsky D.M. Diffusion in porous media: phenomena and mechanisms // Transport in Porous Media. 2019. Vol. 130, No. 1. P. 105–127.
- Cao X., Zhang L., et al. Hygroscopicity of nitrocellulose with different nitrogen content // Propellants, Explosives, Pyrotechnics. 2024. (Online first).
- Chalghoum F., et al. Influence of moisture content on the thermal decomposition of smokeless powders // Journal of Thermal Analysis and Calorimetry. 2024. (In press).
- Study on the influence of moisture content on thermal stability of propellant // Proceedings of the 22nd International Symposium on Ballistics. 2005. P. 123–130.
- Teixeira F.P., et al. Effect of relative humidity and absorbed water on the ethyl centralite stabilizer consumption in NC-based propellant // Journal of Thermal Analysis and Calorimetry. 2021. Vol. 145, No. 3. P. 1107–1120.
- Rahim K.S.A., et al. Key attributes of nitrocellulose-based energetic materials and their applications // Heliyon. 2024. Vol. 10, No. 5. eXXXX.
- Vihtavuori. Did you know? Powder moist content [Электронный ресурс]. URL: https://www.vihtavuori.com/know-powder-moist-content/(дата обращения: 15.11.2025).
- Vihtavuori. Storage of smokeless powders [Электронный ресурс]. URL: https://www.vihtavuori.com/powders/storage-of-powders/ (дата обращения: 15.11.2025).
- Lelièvre D., et al. Numerical modelling of heat and mass transfer in porous materials during drying and shrinkage // Proceedings of the COMSOL Conference. 2011.