д-р техн. наук, специалист в области теории принятия решений, прикладной статистики, надежности сложных систем, математического моделирования процессов внутренней баллистики, РФ, г. Москва
МЕХАНИЗМЫ ПОЯВЛЕНИЯ НАКЛЕПА И УСТАЛОСТИ ПРИ МНОГОКРАТНОМ ПРИМЕНЕНИИ ГИЛЬЗЫ В СПОРТИВНОМ ПАТРОНЕ И СПОСОБЫ БОРЬБЫ С НИМИ
АННОТАЦИЯ
В статье рассмотрены механизмы появления и роста наклепа и усталости в гильзах спортивных патронов и способы борьбы с ними. Показано, что наклеп образуется в циклах расширения и сжатия латунной гильзы. Темпы наклепа зависят от амплитуды расширения-сжатия. Для снижения темпов накопления наклепа нужно обеспечить минимально-необходимую амплитуду расширения-сжатия. Для этого по возможности нужно использовать винтовки с тесным неком патронника, избегать циклического переобжима и растяжения дульца и плеча гильзы, конкретно, лучше перейти от использования безбушинговых матриц с орехом к бушинговым матрицам. Наклеп на дульце и плече гильзы снимается отжигом. Поскольку тело гильзы не отжигают для сохранения прочности, рост наклепа на нем ограничивается только амплитудой циклов его расширения и сжатия.
Усталость гильзы не лечится отжигом, при обнаружении признаков усталости гильза должна быть выбракована. Для повышения ресурса гильзы до появления признаков усталости необходимо избегать горячих навесок и слишком острых для данного калибра порохов, обжимать в минимально-необходимых пределах тело гильзы, устранять любые концентраторы напряжения. Наклеп ускоряет появление усталости, поэтому способы борьбы с наклепом одновременно являются способами борьбы и с усталостью. Решение о схеме релоадинга зависит от амплитуды расширения и сжатия гильзы в циклах. Например, для винтовок с тесным неком можно на 5–8 циклов отказаться от отжига и за счет этого получить дульце с естественной смазкой в виде нагара и реализовать экономную схему снаряжения, что важно в период интенсивных соревнований, в то время как для винтовок с широким неком отжиг может понадобиться на каждом цикле.
Статья будет полезна спортсменам-стрелкам, охотникам, а также всем любителям высокоточной спортивной стрельбы из нарезного оружия.
Работа выполнена в интересах мирового спортивного стрелкового сообщества по инициативе авторов и на их собственные средства, с использованием открытых источников информации.
ABSTRACT
The article discusses the mechanisms of appearance and growth of work hardening and fatigue in the casings of sports cartridges and ways to combat them.
The article discusses the mechanisms of the appearance and growth of work hardening and fatigue in the sleeves of sports cartridges and ways to combat them. It is shown that work hardening is formed in the cycles of expansion and contraction of the sleeve. The rate of work hardening depends on the amplitude of expansion and contraction. To reduce the rate of work hardening, it is necessary to ensure the minimum required amplitude of expansion and contraction. To do this, if possible, you should use rifles with a tight chamber, avoid cyclic over-squeezing and stretching of the sleeve, and specifically switch from using nutless matrices to bushing matrices. The sleeve's shoulder and sleeve's neck can be removed by annealing. Since the sleeve body is not annealed, the growth of work hardening is limited only by the amplitude of its expansion and contraction cycles.
Cartridge case fatigue cannot be cured by annealing, and if signs of fatigue are detected, the cartridge case must be discarded. To increase the cartridge case's lifespan before signs of fatigue appear, it is necessary to avoid using hot charges and gunpowders that are too sharp for the given caliber, to compress the cartridge case body to the minimum necessary extent, and to eliminate any stress concentrations. Work hardening accelerates the onset of fatigue, so methods to combat work hardening are also methods to combat fatigue. The decision on the reloading scheme depends on the amplitude of the cartridge case's expansion and contraction during cycles. For example, for rifles with a tight coma, it is possible to skip annealing for 5-8 cycles and thereby obtain a muzzle with natural lubrication in the form of carbon deposits, which is important during periods of intense competition. However, for rifles with a wide coma, annealing may be necessary on every cycle.
The article will be useful to competitive shooters, hunters, and all enthusiasts of precision rifle shooting.
This work was undertaken in the interest of the global competitive shooting community at the authors’ initiative and funded from their own resources, using open-source information.
Ключевые слова: наклеп, усталость, гильза, циклы расширения и сжатия
Keywords: slant, fatigue, sleeve, expansion and contraction cycles
Введение
В высокоточных стрелковых дисциплинах стрелки сами снаряжают патроны и многократно используют гильзы. Внешне неизменные, они выдерживают много циклов, но со временем проявляют признаки наклёпа, а затем усталости. Продление их «ресурса» даёт не только экономию, но и расширяет зону стабильной кучности. Для последующего анализа процессов наклепа и усталости зафиксируем термины.
Наклёп — повышение прочности и твёрдости при одновременном снижении пластичности в объёме металла из-за холодной пластической деформации. На микроуровне это рост плотности дислокаций и их взаимное «запирание» (взаимная блокировка, зацепление за границы зёрен, включения, растворённые атомы), что затрудняет скольжение кристаллографических плоскостей и требует более высоких напряжений для дальнейшей деформации [1, 2].
На рис. 1 (фото из работы [1]) показаны классические маркеры наклёпа и зарождения PSB (персистентных полос скольжения): слева направо — переход от равноосных зёрен (отожжённая латунь) к вытянутым зёрнам, сдвиговым полосам и заломам скольжения при 30–50 % холодного упрочнения и далее — к сильно деформированной структуре.
Наклёп может возникнуть уже после первого выстрела и нарастает с каждым циклом растяжения и сжатия. При этом увеличиваются упругая жёсткость, предел текучести
, твёрдость, усилия обжатия гильзы и посадки пули, гильза становится более хрупкой и склонной к трещинам (усталости). Источники наклёпа: обжим, посадка пули, расширение дульца мандрелом, осадка плеча, пластическая деформация корпуса гильзы при выстреле. Наклёп начинается, как только локальные напряжения превышают предел текучести
.
/Bogoslovsky3.files/image004.jpg)
Рисунок 1. Слева направо - классические признаки роста наклёпа и зарождения PSB. Источник [1].
Усталость — накопление локальных повреждений (утончений, микротрещин) от циклических нагрузок, даже если отдельный цикл ниже
, приводящее к зарождению и росту трещин и, в итоге, к разрушению гильзы [3–5]. Механизм усталости: зарождение дефектов и микротрещин на включениях, границах зёрен и концентраторах напряжений, последующий короткотрещинный и длиннотрещинный рост до разрыва (рис. 2, источники [3–5]).
/Bogoslovsky3.files/2.png)
Рисунок 2. Признаки усталости латунной гильзы. Источники [3-5]
Усталость требует много циклов «расширение–сжатие» и этим отличается от единичной перегрузки. Критичны наличие пластической составляющей цикла (
) или большие упругие циклы в зонах-концентраторах. При более высоком
и меньшей пластичности при том же цикле легче получить остаточную деформацию (
) и быстрее запустить трещинообразование.
Признаки усталости визуально и «на ощупь»: тонкий блестящий поясок на расстоянии 5–10 мм от донца (ощутим снаружи или скрепкой изнутри) — начальная стадия поперечного разрыва; продольные микротрещины на дульце и кромке дульца; реже — трещины в переходе дульце↔плечо (зона больших циклов деформаций); атипичные подтеки копоти по корпусу при нормальных навесках (ухудшение прилегания и возврата); «морщины» на плече после обжима — маркеры накопленного наклёпа и локальной пластики.
Инструментальные признаки усталости: аномальная локальная твёрдость, изменение оттенка; ускоренный рост длины гильзы относительно партии; нестабильное «опускание» плеча при прежних настройках — уставшая латунь; рост упругой отдачи дульца; увеличение разброса геометрии; ослабление капсюльного гнезда (капсюль садится слишком легко, «поддувка» газами); устойчивый рост диаметра у пояска >0.0005″ за несколько циклов.
Признаки усталости по работе оружия: тугое запирание и отпирание при умеренных навесках и чистом патроннике, непредсказуемая экстракция, изменившаяся «акустика» выстрела и ощущение отдачи, рост разброса скорости, падение кучности.
Всё это — проявления усталости металла. Какая-то из стадий возникает раньше, какая-то позже, но в итоге наступает момент, когда гильзу нужно безусловно выбраковать.
Цель статьи. Исследовать механизмы накопления наклёпа и усталости в гильзах спортивных патронов и разработать научно обоснованные рекомендации по их профилактике.
Материалы и методы.
Для исследований использовались гильзы спортивных патронов разных производителей, которые подвергались циклическим нагрузкам и отжигу с измерением твердости по Виккерсу и циклическим выстрелам до появления признаков наклепа и усталости. Расчетные параметры получали в результате расчетов по разработанным моделям накопления наклепа и усталости. Некоторые фото для иллюстрации проведенных экспериментов были взяты из других источников.
Проведем анализ практических случаев появления наклепа и усталости гильз, наблюдавшихся как в наших экспериментах, так и у других стрелков. Всю гильзу можно разделить на характерные зоны: фланец, проточка, капсюльное гнездо, тело гильзы (конус), плечо, дульце, кромка дульца. На рис. 3 красными кружками обозначены характерные зоны латунной гильзы в калибре 6.5 Creedmoor с точки зрения механизма появления наклепа и усталости. Рассмотрим несколько примеров накопления наклепа и усталости в различных частях гильзы и практические способы борьбы с ними.
/Bogoslovsky3.files/1.png)
Рисунок 3. Характерные зоны гильзы 6.5 Creedmoor, которые подвергаются наклепу и усталости: фланец, проточка, капсюльное гнездо, поясок тела гильзы, плечо, дульце, кромка дульца
Результаты и обсуждение
Пример 1. Усталость, приводящая к поперечному разрыву гильзы. Этот разрыв обычно появляется, когда гильза имеет избыточный свободный зазор по плечу, то есть слишком короткая, и плечо гильзы до выстрела находится далеко от плеча патронника (рис. 4). «Поперечные и кольцевые» трещины — результат локально высокой осевой деформации в пояске 5–10 мм над донцем при недостаточной длине гильзы или при захвате части ее тела трением патронника.
/Bogoslovsky3.files/image024.jpg)
/Bogoslovsky3.files/image025.jpg)
Рисунок 4. Усталостные следы и трещины на пояске гильзы
(фото из разных источников)
Механизм поперечного разрыва гильзы, как мы его представляем по результатам изучения, следующий. При ударе бойка, если пуля не уперта в нарезы или сила удара меньше усилия страгивания пули в дульце, короткая по плечу гильза немного продвигается вперёд, поскольку жесткого упора в плечо патронника нет (коническая часть патронника, экстрактор и эжектор не являются жестким упором для конической части гильзы). Этому движению немного помогает срабатывание капсюля, который в первые мгновения горения ударного состава деформируется от внутреннего давления и слегка выпирает из капсюльного гнезда, продвигая гильзу к нарезам. Поэтому в самый начальный период выстрела корпус короткой гильзы чуть сдвигается к нарезам. Одновременно под действием внутреннего давления гильза начинает растягиваться в длину и расти в диаметре. При горении пороха давление внутри гильзы растёт, более тонкая стенка спереди гильзы распирается быстрее и первой схватывается трением с патронником (особенно в средней части тела). Донце в это время под действием осевой составляющей давления тянет назад, оно стремится плотно лечь на зеркало затвора. Более толстое тело гильзы ближе к донцу еще не сцепилось со стенкой патронника, а верхняя более тонкая часть корпуса гильзы уже «прилипла» к стенке патронника, поэтому осевая растяжка концентрируется в зоне 5–10 мм выше донца, образуя поясок высоких напряжений и деформации. В этом месте возникает локальная пластическая деформация в осевом направлении, стенка утончается кольцом (пояском) изнутри. При следующих выстрелах циклы повторяются, сначала появляется блестящее кольцо снаружи и «ступенька» внутри, потом накапливается усталость, которая ведет к поперечной трещине и разрыву.
Этот классический сценарий усталости гильзы и поперечного разрыва запускает именно избыточный свободный зазор (короткая по плечам гильза). Однако микронадрыв в этом месте может произойти и при первом выстреле, когда новая гильза короткая и узкая, если ее не отформовать пониженной навеской пороха.
Чтобы избежать поперечного разрыва гильзы, необходимо выполнить три условия: 1) обжим плеча после выстрела делать на величину не более 0.001–0.002"; 2) обжим тела гильзы делать минимально достаточным, чтобы затвор закрывался свободно без усилия, часто это по диаметру тела 0.0015" сверху около плеча и 0.0005" снизу чуть выше проточки; 3) новую гильзу нужно отформовать выстрелом с пониженной навеской. Если матрица обжимает гильзу намного больше или не жмет верх и низ, то ее надо сменить.
Пример 2. Усталость, приводящая к осевому разрыву гильзы. Если зазора по плечам нет или он недостаточен (гильза длинная по плечу), затвор закрывается туго. При выстреле осевая растяжка гильзы сильно меньше (есть упор в плечо), но при слишком малом диаметре гильзы возрастает риск локальной несимметричной окружной пластической деформации, появления микроразрыва и проблем с экстракцией.
/Bogoslovsky3.files/image030.jpg)
Рисунок 5. Гильзы с осевыми разрывами (фото из разных источников)
Типичный отказ здесь — не поперечный разрыв, а продольные «морщины» и трещины на плече (наклёп без отжига), продольные трещины на теле. Продольная микротрещина может образоваться при первом выстреле гильзы с малым диаметром тела. На дульце и у кромки дульца доминирует окружная растяжка от давления + цикл «сайзинг ↔ выстрел», поэтому там чаще видны продольные микротрещины — классическая картина «дульце потрескалось вдоль». «Продольные» трещины на теле гильзы (вдоль оси) — результат преобладания окружной растяжки.
В зависимости от цикла после отжига гильзы имеют разный упругий отскок при обжиме (упругий отскок наружу) или при расширении гильзы мандрелом (упругий отскок внутрь). Для свежеотожженных гильз он находится в пределах 0,0002–0,0004, для сильно наклепанных гильз 0,008–0,0012. Если при обжиме гильзы одним и тем же бушингом и с одной и той же настройкой матрицы по длине гильзы при измерениях микрометром упругий отскок по длине гильзы или по диаметру дульца заметно увеличился (гильза стала пружинить), это свидетельствует о появлении значительного наклепа и риске появления усталости. Точности штангенциркуля недостаточно, чтобы уловить разницу в размерах.
Дульце получает большие циклы «сжатие-расширение» при обжиме, посадке пули, выстреле. Это приводит к быстрому наклепу и иногда к усталостным тонким продольным трещинкам, «зубчикам» и трещине у кромки или на плече (рис. 6).
/Bogoslovsky3.files/image031.jpg)
/Bogoslovsky3.files/image035.jpg)
Рисунок 6. Усталостные трещины на дульце и плече гильзы
(фото из разных источников)
Плечо в переходах с корпусом и дульцем получает циклическую нагрузку. Циклическая геометрическая перестройка не только увеличивает наклеп, но и создает концентраторы напряжений. Признаки наклепа – повышение упругости гильзы. Признаки усталости - микротрещины по окружности плеча, смятия и морщины при обжиме, матовые штрихи и надрывы, «морщины» после сайзинга. Переход дульце ↔ плечо подвергается комбинации окружной и изгибной деформации, в этом месте возникает концентрация напряжений, приводящая к радиальным и полурадиальным трещинам, идущим из внутреннего угла, если фаска и радиус малы, а отжиг нерегулярен. Кромка дульца получает локальный изгиб и растяжение при посадке пули, контактное трение приводит к сколам, эллипсности, задирам, зарождению трещин на неровной кромке, «зубчатости», следам срезания меди.
Профилактика наклепа и усталости в этих случаях состоит в использовании патронников с тесным неком, в качественном снятии внутренней фаски, отсутствии заусенцев, точном минимально необходимом обжиме дульца, плеча и тела гильзы, применении смазки при обжиме, правильных режимах отжига зоны дульце-плечо и разумном натяге. Чтобы избежать осевого разрыва дульца, плеча или тела гильзы: 1) желательно иметь патронник с тесным неком; 2) при широком неке регулярно делать отжиг дульца и плеча (каждый цикл или через 1–3 цикла в зависимости от дисциплины, амплитуры деформаций и давления); 3) при широком неке делать обжим дульца за два раза; 4) обеспечивать зазор между плечом гильзы и патронника 0,001–0,002 дюйма и 5) не пережимать тело гильзы в слишком тесной матрице.
Пример 3. Усталость гильзы при отсутствии FL (фулл-сайз обжим) или неправильном FL. После определенного количества циклов без обжима (нек-сайз) или при слишком слабом обжиме гильзы может проявиться затрудненная экстракция. Если не предпринять меры, то в конце концов гильзу заклинит в патроннике. Есть известное правило - чтобы этого не произошло, тело гильзы должно «дышать». Однако некоторые стрелки понимают это правило так, что если циклически обжимать тело гильзы, то оно будет сохранять свою пластичность, не «задубеет», и это предотвратит заклинивание. Это не так. Если гильзу активно обжимать в матрице и расширять выстрелом, она, наоборот, получает наклеп и дубеет. Любая циклическая деформация (обжатие при снаряжении + расширение при выстреле) увеличивает наклёп. Чем больше амплитуда расширения и сжатия тела гильзы, тем быстрее идет наклеп. В этом смысле точнее утверждение «чем больше дышит — тем больше дубеет», если рассматривать только суммарную амплитуду деформации тела гильзы.
Каким же образом тогда «дыхание» тела гильзы предотвращает ее усталость и заклинивание в патроннике? Механизм, приводящий к исключению заклинивания гильзы, другой. Задачу решает не амплитуда расширения – сжатия, а более равномерное распределение деформации по телу гильзы. Патронник и гильза не идеальные цилиндры «класса оптика» и их контакт тоже не идеален. У него есть микрозазоры, волнистость, овальность, конусность, «пояса давления», микроволны. На части окружности гильзы при выстреле контакт раньше и «липче», на части — позже и слабее. В «поздних» местах гильза успевает чуть-чуть раздуваться (идет окружная пластическая деформация). Потом она пружинит назад, отлипает — и в том месте остаётся локально утончённая и наклёпанная зона. Под давлением части гильзы «приклеиваются» к патроннику трением. Когда трение фиксирует одни участки, пластика уходит в соседние. Где «прилипло», там радиальная и осевая подвижность меньше, где не прилипло — больше. В результате неизбежные деформации (окружные и осевые) локализуются, часть периметра работает сильнее и уходит в пластик.
Упругая деформация ствола и патронника очень мала, упругое расширение стали мизерно, расширение необжатой гильзы также мало, но не нужно «много места». Пластическая деформация определяется не амплитудой перемещения, а превышением напряжением предела текучести, Ϭeq > Ϭ0.2. При рабочем давлении латунь гильзы переходит в пластик на доли сотых миллиметра — этого достаточно, чтобы за 3–8 циклов получить заметный наклёп и «задубевший» локальный участок.
Далее вступает в силу эффект Баушингера + повторяемость зоны. Там, где однажды «сорвало» в пластическую деформацию, при следующем цикле материал уже упрочнён и ориентирован, у него появляется смещённый предел текучести при реверсах. В каждом цикле эта зона все охотнее «берёт» пластическую работу, ускоренно формируя локальную усталость.
Без достаточного FL-обжатия тела гильзы «пояс давления» начинает локально работать в области пластической деформации и «расти» всегда в одних и тех же зонах - концентраторах напряжений, задающих темпы накопления усталости (вплоть до трещины или заклинивания из-за изменения геометрии гильзы).
Умеренное FL-обжатие распределяет деформацию по большей площади, в результате уменьшается локальная усталость и гильза «дольше живёт». Однако наряду с этим при регулярном обжиме тела с большой амплитудой с каждым циклом растет наклеп и хрупкость гильзы. В результате гильза «умирает» либо от локальной усталости (чаще при недостаточном FL — локальные зоны перегружаются из раза в раз), либо от избыточного суммарного наклёпа (слишком агрессивный FL). В данном случае нет никакого противоречия. «Дыхание» как таковое добавляет холодную деформацию, приводящую к наклепу, но в то же время правильно настроенное FL-обжатие увеличивает ресурс за счет более равномерного распределения напряжений. FL снижает локализацию деформации и обеспечивает минимальный зазор с патронником, в итоге стабильнее распределение напряжений при выстреле.
Таким образом, правильное понимание вопроса исключения заклинивания гильзы в патроннике заключается в следующем. «Дыхание» тела гильзы — не цель, а неизбежное следствие цикла «обжали → выстрелили → выбросили гильзу из патронника». Наша цель — минимизировать суммарную амплитуду деформаций там, где можем, и распределить неизбежные деформации максимально равномерно по телу гильзы. Нужно выбрать оптимальный режим. Полный отказ от FL часто вызывает локальную пластическую работу в теле и у плеча, за ним следует быстрый отказ «по геометрии» (затвор, экстракция) ещё до трещин дульца. Чрезмерный FL (слишком сильное «сжатие») тоже плох — даёт лишний наклёп. Рабочую «пару» образуют патронник и матрица, поэтому практические рекомендации по исключению заклинивания гильзы состоят в следующем: задать такой возврат размеров тела гильзы, чтобы: 1) был минимально достаточный зазор по телу и длине плеча для того, чтобы напряжения успели распределиться при выстреле; 2) не было заклинивания при закрытии затвора; 3) не было избыточного «перекачивания» латуни (лишнего наклёпа). Конкретно, чтобы избежать заклинивания гильзы при отсутствии или неправильном фуллсайзе, нужно регулярно обжимать верх тела гильзы на 0.0015", низ на 0.0005" по диаметру тела у пояска. Формула длительного ресурса гильзы в этом случае — не «как можно больше дыхания», а столько, сколько нужно для свободной работы затвора и равномерного распределения деформаций — минимально-достаточное FL.
Пример 4. Усталость гильзы в области капсюльного гнезда и проточки
Появляется в основном из-за горячих навесок, слишком острых порохов и регулярного передоза. Ниже — что именно происходит с латунной гильзой в районе капсюльного гнезда и проточки, где и почему появляются напряжения, почему это приводит к «усталости», как это растёт от цикла к циклу, и как этим управлять.
В момент выстрела давление распирает корпус в радиальном направлении (окружные напряжения), а дно гильзы жёстко прижимается к зеркалу затвора (осевая компрессия). В зоне перехода «дно-стенка» и у корня проточки образуется сложное напряжённое состояние, а именно растяжение+срез с сильным эффектом концентрации напряжений, в том числе из-за малых радиусов. Стенки капсюльного гнезда ловят радиальное растяжение (стремятся увеличить посадочный диаметр), а плоское дно гнезда — изгиб и мембранные напряжения от давления через слой металла. При экстракции и перезарядке крюк выбрасывателя и толкатель-эжектор создают локальные изгибы в области проточки (ещё один цикл нагружения, уже механический). При фулл-сайзе корпус «возвращают» к размеру, а дно практически не калибруется (толстая, холодная, твёрдая зона). Получается циклическая асимметрия, стенки тела гильзы циклически текут туда-обратно, а дно — почти нет. Это порождает накопленную пластическую деформацию в перемычке между корпусом и капсюльным гнездом и в самом капсюльном гнезде. Латунь у дна изначально более упрочнена холодной деформацией (донце не отжигается производителем — отжигают только дульце и плечи). Высокая плотность дислокаций вызывает высокий предел текучести, но низкую усталостную выносливость в концентраторах. При каждом выстреле формируются персистентные полосы скольжения (PSB). На кромках они превращаются в микровпадины и выступы → зародыши микротрещин. Дальше — классика низкоцикловой усталости: амплитуда деформаций выше упругой → каждый цикл даёт небольшой прирост пластической деформации и раскрытие микротрещин. Параллельно идёт ползучесть при умеренно повышенной температуре — она мала, но за десятки циклов добавляет долю постоянной деформации вокруг капсюльного гнезда.
Борьба с усталостью гильзы в зоне капсюльного гнезда и проточки заключается в отказе от «горячих» навесок и слишком острых для этого калибра порохов.
Пример 5. Усталость гильзы, инициируемая недоработками в технологии снаряжения патронов. К ним можно отнести избыточную смазку при обжиме гильзы, оставление смазки на патроне и выстрел со смазанной гильзой, царапины на гильзе от абразивных частиц, вплавление кусочков стальной ваты, дефекты гильзы от выбрасывателя, и т. п. Все эти факторы создают локальную концентрацию напряжений. Это вполне реальный класс усталостных отказов, индуцированный нарушением технологии снаряжения. Любая «мелочь» (смазка, заусенец, царапина, вкрапление стальной ваты и т. п.) создаёт локальный концентратор напряжений или меняет режим нагружения гильзы. Дальше включается обычный механизм усталости: зарождение трещины → короткотрещинный рост → сквозное повреждение → отрыв донца. Борьба с этими причинами усталости банально ясна: чистота, аккуратность, жесткое следование регламенту снаряжения патронов.
Обобщение практических способов борьбы с наклепом и усталостью.
Мы рассмотрели 5 примеров основных случаев накопления наклепа и усталости гильзы и представили практические способы борьбы с ними. Эти способы универсальны, во многом обобщаются и в обобщенном виде состоят в следующем:
1. Наклеп образуется в циклах расширения и сжатия гильзы. Темпы наклепа зависят
от амплитуды расширения-сжатия. Для снижения темпов накопления наклепа нужно обеспечить минимально-необходимую амплитуду расширения-сжатия. Для этого по возможности нужно использовать винтовки с тесным неком патронника, избегать циклического переобжима и растяжения дульца и тела гильзы, конкретно, лучше перейти от использования безбушинговых матриц с орехом с большой амплитудой обжима и растяжения к бушинговым матрицам с минимально возможной амплитудой. Наклеп на дульце и плече гильзы снимается отжигом. Темпы наклепа на теле гильзы ограничиваются умеренным (минимально-необходимым) обжимом верха и низа тела гильзы.
2. Усталость гильзы не лечится отжигом, при обнаружении признаков усталости
гильза должна быть выбракована. Для повышения ресурса гильзы до появления признаков усталости необходимо избегать горячих навесок и слишком острых для данного калибра порохов, обжимать в минимально-необходимых пределах тело гильзы, устранять любые концентраторы напряжения, формовать новые гильзы. Наклеп ускоряет появление усталости, поэтому способы борьбы с наклепом одновременно являются способами борьбы и с усталостью.
Теоретическое исследование процессов образования и роста наклепа и усталости гильзы.
Выше мы привели рекомендации по профилактике роста наклепа, контролю усталости и выбраковки гильз, основанные на наших экспериментах и практическом опыте других стрелков. Однако практика не всегда опирается на научно-обоснованные знания, развивается методом проб и ошибок, и на этом пути имеет немало заблуждений. Исходя из такого понимания, нам хотелось не просто предложить практические рекомендации, но и подвести под них научную базу [6-44], тем более, что некоторые из них не являются очевидными. Рассмотрим модели роста наклепа и усталости, применимые к латунным гильзам.
1. Модель появления и роста наклёпа.
Компактный «набор» рабочих уравнений для описания появления и роста наклёпа в латунной гильзе (FCC-сплав Cu70Zn30) представлен ниже. Их удобно делить на феноменологические (напряжение ↔ пластическая деформация) и дислокационные (напряжение ↔ плотность дислокаций) [8, 16].
1) Феноменологические кривые «напряжение–пластическая деформация»
(1) Людвик (Ludwik):
/Bogoslovsky3.files/image036.png)
где
— начальный предел текучести (после упругой области),
— накопленная пластическая деформация,
— прочностной коэффициент,
— показатель наклёпа (для латуни обычно
) [6–8, 16].
(2) Свифт (Swift): учитывает «преддеформацию»
(структурный задел):
/Bogoslovsky3.files/image043.png)
(3) Холломон (Hollomon): частный случай без
: [6–8]
/Bogoslovsky3.files/image045.png)
Модели (1)–(3) описывают ранний и средний наклёп, хорошо зарекомендовали себя для описания диаграмм растяжения латуней и других ГЦК-сплавов [6–8].
(4) Вос (Voce): описывает насыщение наклёпа (динамическое восстановление) - смягчение упрочняющего эффекта наклёпа прямо во время деформации за счёт термально-активируемых процессов, которые уменьшают «эффективную» плотность дислокаций и упорядочивают их структуру — без образования новых зёрен) [9–11]:
/Bogoslovsky3.files/image046.png)
эквивалентная дифференциальная форма (удобна в моделях):
/Bogoslovsky3.files/image047.png)
Здесь
— «насыщенная» прочность,
— начальная прочность,
— параметр упрочнения или восстановления. Последствием «насыщения» наклепа является снижение скорости наклёпа
. Кривая упрочнения выходит на насыщение (поведение типа Voce) [9–11].
Если модели (1)–(3) описывают ранний и средний наклёп, то (4) — выход на плато прочности при больших
[9–11].
2) Дислокационные (физически обоснованные) уравнения
2.1. Связь напряжения с плотностью дислокаций по Тейлору (Taylor):
/Bogoslovsky3.files/image052.png)
где
— трение решётки и примесей,
— модуль сдвига (для латуни порядка
ГПа),
— вектор Бюргерса (Burgers) для ГЦК меди и латуни
,
,
— плотность дислокаций [8, 12].
2.2. Эволюция плотности дислокаций Кокса Мекинга (Kocks–Mecking)
В дислокационных моделях это учитывается членом «восстановления», например, в уравнении Kocks–Mecking. Стандартная «баланс-модель» накопления (запасание) и аннигиляции (восстановление) [8, 10]:
/Bogoslovsky3.files/image060.png)
k1 — коэффициент накопления (зависит от среднего свободного пробега дислокаций, текстуры и т. д.),
— коэффициент динамической аннигиляции, обычно возрастает с температурой [10].
Комбинируя с моделью Тейлора, получаем развитие упрочнения:
Так как
, то при малой
наклон
почти постоянен (линейный наклёп, «стадия II»), а по мере роста
включается термин
, показывающий насыщение (аналог уравнения Voce) [10, 13].
Температура активации. Под «температурой активации» обычно подразумевают температурную чувствительность
по закону Аррениуса, а ключевой параметр — энергия активации
[8, 10]. Чем выше
, тем интенсивнее аннигиляция и тем слабее прирост прочности от наклёпа (раньше наступает насыщение по типу Voce):
/Bogoslovsky3.files/image070.png)
k2(T) — скорость динамической аннигиляции дислокаций в модели Kocks–Mecking,
— энергия активации восстановления,
— газовая постоянная,
— температура. При повышении
восстановление быстрее и наклёп насыщается раньше. Относительное ускорение между двумя температурами определяется формулой:
/Bogoslovsky3.files/image073.png)
Например, при
подъём с 300 K до 350 K даёт рост
примерно в 3 раза (оценочно) [8, 10]. Практический «порог» для заметного восстановления холоднодеформированного сплава без рекристаллизации оценивают по гомологической температуре Th =
, где Tm – температура плавления сплава. По мере роста
резко ускоряются диффузионные процессы (переползание и аннигиляция дислокаций, полигонзация), снижаются
(модуль сдвига) и предел текучести [8, 17, 18]. Для латуней
K, и процессы восстановления сплава начинают заметно ускоряться при
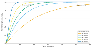
(то есть уже порядка 80–120 °C и выше). На практике для гильз это порог, с которого кратковременный нагрев уже начинает частично “смывать” наклёп в дульце и плече, но ещё не запускает рекристаллизацию [17, 18, 23]. Для отжига дульца и плеча латуни марки CuZn30 нужно запустить рекристаллизацию (снять наклёп) без перегрева тела и, тем более, донной части. Это достигается при Th ~0.4–0.6 T/Tₘ, т. е. ориентировочно при 420–500 °C в зоне дульца и плеча при нагреве в течение нескольких секунд, в данном расчетном случае при отжиге от твердости 150 HV (рис. 7а) [17–19, 21–23]. При полном отжиге латунных гильз Lapua твердость по Виккерсу составляет примерно 90–110 HV. Неполный отжиг можно задать любой из промежутка от максимального значения HV до значений при полном отжиге. На рис. 7а выделена зона рекристаллизации 350–500 °C, в которой твердость латунного сплава начинает резко снижаться от начального неотожженного состояния до состояния полного отжига [19–22].
/Bogoslovsky3.files/image081.png)
а б
Рисунок 7. Зависимость твердости латуни С26000 от температуры отжига при импульсном нагреве (а) и кривые изменения твердости при полном (ниже) и неполном (выше) отжиге каждые 3 цикла, начиная с шестого (б)
На практике новые гильзы часто уже имеют отжиг, и последующая картина изменения твердости зависит от выбранного режима отжига. На рис 7б (нижняя линия) приведены графики, когда новые гильзы прошли без отжига 5 циклов, на шестом цикле были отожжены и далее отжигались каждый третий цикл. Видно, что за 5 циклов дульце еще не получило максимального наклепа, далее отжиг возвратил ее к состоянию новой и далее твердость пилообразно росла и падала при отжиге на каждом третьем цикле [19–22]. Твердость связана с упругой отдачей, поэтому при отжиге через несколько циклов мы будем иметь «плавающий» натяг.
Исходя из представленных закономерностей, можно сознательно делать «неполный» (стресс-релаксационный) отжиг, целясь ниже порога полной рекристаллизации, чтобы снять лишь часть наклёпа и остаточных напряжений, не доводя дульце до состояния “как новая” (рис. 7б, верхняя линия) [20–22]. Цель неполного отжига - оставить дульце чуть “жёстче”, чем новая, чтобы держать желаемый натяг пули при минимальном обжиме, слегка снизить упругость и остаточные напряжения, не меняя кардинально текстуру и твёрдость (например, чтобы не «перемягчить» слишком тонкое дульце).
Такое практикуют некоторые стрелки, но это требует жесткого контроля процесса отжига из-за его нестабильности в переходной зоне, иначе велик риск недоотжига и накопления наклёпа с преждевременными трещинами. Под конкретный режим отжига и бушинг нужно поймать очень узкий разброс усилия посадки. Эффект нестабилен, наклёп продолжит накапливаться, продольные трещины на дульце пойдут раньше, чем с полным отжигом. Окно температур узкое: при температурах ниже ~320–350 °C пользы от такого отжига немного (почти только релаксация напряжений), а выше 420–450 °C вы уже входите в зону рекристаллизации полного отжига [20–22]. При нагреве газовой горелкой такой режим в узком температурном диапазоне очень трудно повторять. Индукционный отжиг на AMP решает этот вопрос точностью энергии индукции, но всё равно требуется верификация. Как это можно делать на практике с AMP (AZTEC), если возникнет желание реализовать такой режим? Сделать Analyze для партии, получить код «правильного» отжига (полная рекристаллизация шейки). Затем уменьшить энергию (код) на ~5–10 % и проверить результат. Контроль маркерами температуры: внутри дульца термолак Tempilaq 700–750 °F (371–399 °C) — на грани начала рекристаллизации. Для «стресс-релакса» держитесь ближе к 650–700 °F (343–371 °C), и следите, чтобы Tempilaq 700 °F на теле за плечом не плавился [20–22]. Чем подтверждать правильность режима: 1) поведением усилия посадки: среднее значение и разброс должны быть малы и стабильны; 2) упругий «отскок» дульца после обжима, измеренный микрометром или калибром) должен быть умеренным; 3) по возможности измерять микротвёрдость HV дульца по Виккерсу, «полный» отжиг уводит к твердости ~90–110 HV, «неполный» целесообразно держать выше, скажем 110–125 HV (точные цифры зависят от партии) [20–22]. Частота отжига: при «неполном» отжиге делайте его чаще (каждый цикл или через 1 цикл), иначе наклёп быстро «догонит» и превысит ваш целевой уровень.
Отжиг дульца и плеча является главным способом продления ресурса гильзы в случае широкого нека (большой амплитуды расширения-сжатия). Однако интересным следствием из теории насыщения наклепа (Kocks–Mecking, Voce) является то, что, начиная с определенного числа циклов, наклеп стабилизируется [10, 13]. Если состояние гильзы и характеристики металла не создают риски появления усталости, гильзы в принципе можно продолжать эксплуатировать без отжига [24, 25]. Ограничением в этом случае может служить не уровень стабилизированного среднего наклепа, а растущая разница в наклепе, равностенности и толщине в партии гильз, которая неизбежно скажется на кучности. Но использование гильз без отжига и при этом без риска накопления усталости практически возможно только для патронников с тесным неком [24, 25].
Понимая связи усилия посадки пули, с одной стороны, со скоростью и кучностью, а с другой стороны, с натягом, наклепом, толщиной дульца и состоянием ее поверхности, можно оптимизировать схемы подготовки гильз к снаряжению патронов [24, 25].
На рис. 8 представлены графики зависимости наклепа для гильз Lapua 220 Russian, применяемых в винтовке 6 mm PPC с тесным неком, от количества циклов без отжига, с полным отжигом в каждом цикле, неполным отжигом в каждом цикле (рис. 8а) и с отжигом каждый третий цикл (рис. 8б). Видно, что без отжига наклеп начал стабилизироваться примерно после 10–15 циклов. Если состояние гильз устраивает, их можно продолжать эксплуатировать без отжига [10, 13, 24, 25]. Возможно, для кого-то это окажется неожиданным, но теория разрешает в этом случае не отжигать. Такой режим реализуется при тесном неке, при котором амплитуда расширения-сжатия минимальна. Для винтовок с тесным неком можно на 5–8 циклов совсем отказаться от отжига и за счет этого получить дульце с естественной смазкой в виде нагара и реализовать экономную схему снаряжения, что важно в период интенсивных соревнований, в то время как для винтовок с широким неком, которые больше свойственны F-классу и снайпингу, и тем более охотничьим винтовкам, отжиг может понадобиться на каждом цикле [24, 25]. Однако в случае отказа от отжига нужно следить за ростом упругой отдачи, которая снижает натяг в циклах при одном и том же бушинге. Это может оказаться критично для патронов с минимальным натягом. Отжиг каждый цикл возвращает состояние гильзы к начальному. Неполный отжиг держит наклеп на определенном уровне, это может понадобиться, например, для очень тонкостенных гильз, когда при полном отжиге сложно обеспечить необходимое усилие посадки пули [20–22]. Отжиг каждый третий цикл приводит к колебанию состояния гильзы с амплитудой в пределах 10–20% от значения на точке насыщения [20–22].
/Bogoslovsky3.files/image083.png)
а б
Рисунок 8. Зависимость наклепа от количества циклов без отжига (верхний график), с неполным (средний) и полным (нижний) отжигом (а), и сравнение наклепа без отжига (верхний) и с отжигом (нижний) каждый третий цикл (б)
У индукционной печи AMP (Mark II AZTEC) нет «температуры» в меню, при ее использовании управляют мощностью и временем. Поэтому правильно в режиме AZTEC Analyze на тестовой гильзе вашей партии получить код и отжечь с этим кодом всю партию. Это автоматически даёт нужную твёрдость и структуру [20–22]. Твёрдость дульца падает к значениям, близким к новой отожженной гильзе (условно HV порядка 90–110). Если же вы захотите свериться по «живой» температуре, нанесите внутри дульца термолак Tempilaq 750 °F (≈ 399 °C) — он должен уверенно потечь и исчезнуть. Это обычно соответствует эквиваленту ~420–480 °C на дульце на пике импульса AMP. На теле сразу за плечом — 700 °F (≈ 371 °C), здесь лак не должен потечь (значит, тепло не ушло в тело) [20–22].
Рекомендации «что лучше». Максимальная предсказуемость и ресурс дульца реализуется при стандартном «полном» отжиге дульца и плеча каждые 1–3 выстрела (AMP по коду AZTEC + контроль Tempilaq) [20–22, 24]. При тонкой «настройке» под конкретный бушинг и натяг (усилие посадки пули) допустим «неполный» отжиг, но с документированным режимом (контроль энергии AMP и времени), регулярной верификацией усилия посадки и готовностью списывать партию раньше при первых признаках усталости [20–22, 24, 25].
Частичный отжиг — рабочий инструмент для «тонкой» настройки, например, когда хочется обеспечить необходимый натяг с тонкими дульцами, но он менее прощающий, легко скатиться в недоотжиг с ускоренным наклёпом. Если ваша цель — стабильность и ресурс, безопаснее держаться «правильного» отжига и повторять его регулярно [20–22, 24]. Если нужна специфическая “жёсткость” дульца, используйте AMP и снижайте энергию на немного, подтверждая результат средним значением и разбросом усилия посадки и, по возможности, измерением твердости HV по Виккерсу [20–22].
3) Циклическая деформация (для повторных выстрелов). Чтобы схватить наклёп при циклах (и эффект Баушингера), применяют изотропно-кинетические модели [14, 15]:
(5) Изотропное упрочнение (рост радиуса поверхности текучести):
/Bogoslovsky3.files/image084.png)
где
— изотропный компонент упрочнения,
— его насыщение,
— скорость,
— приращение эквивалентной пластической деформации (фон Мизеса) [14, 15].
(6) Кинематическое упрочнение (сдвиг поверхности текучести, Армстронг–Фредерик):
/Bogoslovsky3.files/image086.png)
— «бэк-стресс» (учёт асимметрии при разгрузке/перезагрузке),
— параметры. В совокупности модели (5)–(6) описывают рост наклёпа за циклы, возможное частичное разупрочнение при обратных деформациях и выход на стационар (циклическое насыщение) [14, 15].
4) Связь теории наклепа с практикой
- При каждом выстреле локальная деформация
в «горячих» зонах (шейка и плечи, корень проточки, перемычка у дна) растит
по модели (2.2), в результате напряжение
повышается по модели (2.1) [10, 12, 13]. - На умеренно повышенных температурах
камеры и дна гильзы увеличивается
, в результате быстрее наступает насыщение по Voce (4), но остаточный наклёп остаётся (рост
необратим без рекристаллизации) [10, 13]. - Отжиг дульца переводит структуру на «новый старт» (уменьшает
, что приводит к уменьшению
), но дно и перемычку не отжигают, и там наклёп аккумулируется от цикла к циклу [19–22, 24].
Наклеп дульца и плеча «лечится» отжигом, который восстанавливает их пластичность [19–22]. Тело и низ гильзы не отжигают для сохранения необходимой прочности, поэтому там наклеп растет до насыщения [10, 13, 24, 25].
2. Модель роста усталости гильзы можно описать уравнением Коффина-
Мэнсона (low-cycle fatigue) [26, 27]. «Ядро» механизма усталости одно и то же для всех вариантов появления трещин и разрывов. Ресурс гильзы во всех случаях съедает циклическая деформация с пластической составляющей (low-cycle fatigue) [28–30]. Разница лишь в том, в каких локальных очагах (чаще — у пояса, на плече, в дульце) эта пластика концентрируется. Редко усталость появляется более-менее равномерно по зоне, в подавляющем большинстве случаев это локальные зоны [36–38].
Появление усталости связано с двухосным напряженным состоянием. Окружное напряжение σθ растягивает гильзу по окружности (как если бы её «разрывали» в кольцевом направлении). Оно возникает от внутреннего давления пороховых газов и стремится увеличить диаметр. Осевое напряжение σz растягивает или сжимает вдоль оси гильзы (от донца к дульцу). Оно идёт от давления на дно и плечо гильзы или на донце пули, от трения с патронником и от продольной фиксации узлом «затвор—патронник». Совместно это и есть двухосное напряжённое состояние: в стенке гильзы одновременно действуют две ортогональные растягивающие компоненты — по окружности и вдоль оси [28–30]. Для толстостенных моделей ещё есть радиальная компонента σr, но в тонкостенной модели ей часто пренебрегают [3, 4]. Различная ориентация трещин отлично укладывается в правило: трещина растёт поперёк направления максимального растягивающего напряжения, просто максимум по направлению меняется от зоны к зоне [28–30, 36–38].
Общий механизм усталости таков. При выстреле латунь получает двухосное напряжённое состояние (окружное + осевое). Если локальная эквивалентная деформация имеет пластическую долю Δεp>0 и так повторяется из цикла в цикл, идёт наклёп + усталость [28–30, 36–38]. Классические описания низкоцикловой усталости (количество циклов зависит от амплитуды пластической деформации Δεp) основаны на уравнении Коффина–Мэнсона и эффекте Баушингера при реверсах (сайзинг ↔ выстрел) [26–28, 30].
Формула Коффина-Мэнсона связывает амплитуду пластической деформации в цикле с числом циклов до зарождения и роста трещины. Часто используют объединённую запись (пластическая деформация по Коффину–Мэнсону + упругая по Баскену) [26, 27, 31–33]:
/Bogoslovsky3.files/image092.png)
— амплитуда общей циклической деформации за полцикла, безразмерно.
— амплитуда упругой составляющей деформации, безразмерно.
— амплитуда пластической составляющей деформации, безразмерно.
— число циклов до разрушения (или до принятого критерия отказа); в формуле стоит
— число полуциклов.
— модуль Юнга материала, Па (или ГПа). Для латуни гильз порядка 90–110 ГПа.
— коэффициент усталостной прочности (fatigue strength coefficient), Па. Часто соизмерим или чуть выше временного сопротивления.
— коэффициент усталостной пластичности (fatigue ductility coefficient), безразмерно; экстраполированная «предельная» пластическая деформация при
.
— показатель кривой для упругой ветви (Basquin exponent), обычно отрицателен (≈ −0.06…−0.12).
— показатель кривой для пластической ветви (Coffin–Manson exponent), тоже отрицателен (≈ −0.5…−0.7 для пластичных сплавов).
Для повышения точности оценок модель Коффина–Мэнсона калибруют
по экспериментам именно на гильзах и сегментах гильз или по достоверным FEM-оценкам локальной
[28–30]. Для оценки накопления усталостных повреждений при различных уровнях нагрузки можно использовать модель линейного суммирования повреждений (правило Miner’s Rule) [28–30]:
/Bogoslovsky3.files/image105.png)
где
— реально пройденное число циклов при уровне напряжений и деформаций
,
— ресурс (число циклов до разрушения)
— накопленное повреждение. Критерий отказа: при D ≥ 1 следует разрушение (или достижение принятого критерия предельного состояния) [28–30].
При высоких температурах (а патронник нагревается) начинает играть роль ползучесть – неупругое течение материала под нагрузкой. Учет ползучести и температуры может быть произведен модифицированным уравнением Нортона-Бейли (Norton–Bailey) [28, 34, 35]:
/Bogoslovsky3.files/image110.png)
где
— накопленная деформация ползучести;
— (эквивалентное) напряжение;
— время нагружения;
— абсолютная температура;
— материалъная константа (зависит от единиц);
— показатель напряжения;
— показатель времени;
— энергия активации ползучести;
— газовая постоянная [28, 34, 35].
Что дает формула Коффина–Мэнсона + Баскена для практики? Прежде всего она позволяет оценить, как меняется ресурс гильзы по циклам при изменении амплитуды деформации [28, 30, 31–33]. Левая часть уравнения — с какой амплитудой вы «качаете» материал по деформации в каждом полуцикле. Правая часть определяет вклад упругой (затухающей степенью
) + вклад пластической (затухающей степенью
) деформации. Чем больше амплитуда пластической деформации
, тем резче падает ресурс
(малоцикловая усталость) [26–28, 30–33].
На рис. 9 приведены графики зависимости наклепа на дульце гильзы (а) и роста усталости на теле гильзы (б) от количества циклов при разной амплитуде расширения и сжатия металла, рассчитанные по представленным выше уравнениям для расчета наклепа и усталости. Графики носят иллюстративный характер и показывают общие закономерности накопления наклепа и роста амплитуды деформации гильзы, приводящих к насыщению прочности, к усталости и поперечному разрыву тела.
На графиках рис. 9а показана зависимость нормированного наклёпа
от числа циклов при разной амплитуде деформации. Старт после отжига принят за 1.0, то есть,
, и при выбранных параметрах модели насыщение даёт примерно удвоение предела текучести, поэтому верхняя полка около 2. При других параметрах
насыщение наступит, например, при
.=1.5 или 2.5. Из графиков рис. 9а следует, что для патронников с тесным неком, у которых амплитуда расширения и сжатия дульца минимальна (нижний график), рост наклепа идет в несколько раз медленнее, чем для патронников с широким неком (верхний график). На рис. 9а (нижний график) видно, что при амплитуде 0,001 насыщение наклепа после 20 циклов составляет все еще менее 60%, тогда как при амплитуде 0,01 (верхний график) сильный наклеп появляется уже после 5 циклов. Благодаря этому в бенчресте, где применяются винтовки с тесным неком, есть возможность отказаться от отжига вообще. Однако нужно отметить, что без отжига вместе с наклепом растет и упругая отдача дульца поле бушинга, и при обжиме одним и тем же бушингом натяг и усилие посадки пули от цикла к циклу уменьшаются.
/Bogoslovsky3.files/image121.png)
а б
Рисунок 9. Зависимости наклепа на дульце гильзы (а) и усталости до разрушения за 10 циклов (б) в нижней части тела гильзы от количества циклов
Наклеп до насыщения при большой амплитуде идет гораздо быстрее, чем обычно предполагают (рис. 9а, верхний график). Под насыщением мы понимаем выход прочности к стационарному уровню, когда каждый новый цикл почти не повышает предел текучести. Точка насыщения – это точка, где скорость накопления дислокаций приблизительно равна скорости их «восстановления» (аннигиляции). Понимание процесса роста наклепа до насыщения очень важно для практики. Оно, в частности, говорит о том, что после определенного числа циклов наклеп стабилизируется, и, даже если гильзу не отжигать, наклеп дальше не будет расти. Этот интересный вывод позволяет в ряде случаев использовать гильзу в циклах без отжига вплоть до появления усталости. Само насыщение не разрывает гильзу. Оно означает, что рост прочности замедлился или остановился. Но есть важные следствия стабилизации прочности. После выхода на плато σy действительно почти не растёт, усилие посадки пули и «пружинность» дульца становятся стабильнее. Но к моменту насыщения дульце уже существенно упрочнено и охрупчено (удлинение до разрыва становится ниже). Поэтому при тех же циклах «обжим ↔ расширение» на дульцах с сильным наклепом легче запустить усталостные продольные трещины на дульце и плече. Разрыв дульца определяется не насыщением, а амплитудой циклов. Если локальная амплитуда пластической деформации Δεp в дульце будет большой, то по Коффину–Мэнсону пойдёт усталость и трещины, даже когда σy вышла на плато. Если же режимы мягкие и Δεp мала, как в патронниках с тесным неком и при использовании бушинговых матриц, дульце может дольше жить на «плато».
Поэтому для дульца и плеча насыщение означает стабилизацию уровня прочности, который сам по себе не приводит к трещине. К разрыву ведут локальная пластическая амплитуда, локальные концентрации напряжений и накопленная усталость из-за низкой пластичности. Чтобы отодвинуть момент появления трещин при достигнутом насыщении дульца и вернуть пластичность, нужно использовать минимально-достаточный FL и регулярный отжиг дульца и плеча.
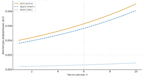
Скорость наклепа и риск появления усталости зависит от амплитуды расширения и сжатия металла. На рис. 9б приведен график зависимости амплитуды деформации и роста локальной усталости гильзы в области 10 мм от донца гильзы в калибре 6.5 Creedmoor от количества циклов расширения и сжатия при начальной амплитуде 0,004". Видно, как с каждым циклом при одной и той же нагрузке начальная амплитуда деформации в пояске гильзы растет и через 10 циклов расширения и сжатия завершается поперечным разрывом гильзы. Тело гильзы в отличие от дульца и плеча не отжигают для сохранения прочности, поэтому там у критического пояска «насыщения» в практическом смысле часто нет — идёт локальное накопление остаточной деформации и усталостное утончение и затем разделение корпуса, что связано с физикой, геометрией и давлением, а не с «плато» наклёпа. Однако в данном случае процесс накопления усталости в локальной зоне тела гильзы все же определяется двумя конкурирующими факторами.
С одной стороны, усталость возникает в локальной зоне наибольшей концентрации напряжений (в данном случае в зоне пояска). Она образуется при повторяемом торможении одних и тех же частей тела гильзы, которые «прилипают» к патроннику и испытывают минимальные напряжения, и более свободной деформации других частей при циклическом растяжении гильзы, в которых концентрируются максимальные напряжения. Чем ближе диаметр гильзы к диаметру патронника (что бывает, если тело гильзы не обжимать в циклах), тем более выражены зоны низких и высоких напряжений.
С другой стороны, если в каждом цикле уменьшать диаметр гильзы FL обжимом перед выстрелом, то локальная амплитуда деформаций уменьшится, потому что нагрузки при выстреле распределятся более равномерно по телу гильзы. Но при этом увеличится амплитуда расширения-сжатия тела гильзы, что в отсутствие отжига приведет к более быстрому росту наклепа, то есть к повышению хрупкости металла. В итоге к усталости гильзы приведут совместное действие этих двух процессов.
В отличие от наклепа усталость дульца, плеча, тела гильзы, проточки или капсюльного гнезда не «лечится» отжигом, он не «заваривает» трещины и утончения, усталые гильзы нужно только выбраковывать. Исходя из формулы накопления усталости, чтобы увеличить ресурс гильзы и выйти из «зоны 3–7» циклов, нужно уменьшить амплитуду Δεp и не допустить её концентрации в одних и тех же местах. Это достигается минимально-достаточным FL-обжимом + правильным обжимом дульца и плеча, умеренными навесками, чистым патронником, смазкой при сайзинге, согласованной геометрией матрицы под ваш патронник.
В соответствии с формулой Коффина–Мэнсона ускоряет усталость (одинаково для локальной и «общей») большая амплитуда расширения-сжатия и давление (рост Δεp); трение или «прилипание» к патроннику (фиксация зон деформации); несоосности и овальность (концентраторы напряжений); накопленный наклёп (сдвиг кривой Ramberg–Osgood, быстрее в пластике); реверс деформации (Баушингер) из-за цикла «обжатие → расширение». Замедляет усталость гильзы минимально-достаточный FL-обжим (чуть «сжать» тело + обжим плеча 0.001–0.002″), чтобы снять клин, уменьшить локализацию; регулярный отжиг дульца и плеча, чтобы вернуть пластичность в самой «цикличной» зоне; аккуратный натяг, фаска, чистая поверхность, обеспечивающая меньше трения и скачков усилия; контроль геометрии матрицы под конкретный патронник. Умеренный FL снижает локализацию пластики и тем самым продлевает ресурс.
Все эти выводы, следующие из представленных выше уравнений — это и есть согласование теории с наблюдаемой практикой. Рекомендации, продиктованные теорией усталости латуни, в данном случае полностью совпадают с практикой, и мы намеренно повторили несколько раз, как увеличить ресурс гильзы и избежать ее разрыва в дульце, плече и пояске. Также как и на практике они состоят в выполнении нескольких условий: 1) амплитуда обжима и расширения гильзы должна быть минимально-достаточной; 2) длина гильзы по плечу должна быть короче длины патронника по плечу не более чем на 0,001–0,002″; 3) необходим FL обжим тела гильзы, но в минимально достаточном диапазоне, по номиналу примерно верх 0,001″, низ 0,0005″. 4) регулярный отжиг дульца и плеча значительно продлевает ресурс гильзы.
Эти условия позволят найти компромисс между ростом наклепа и риском появления зон с высокими локальными напряжениями, и растянуть кривую роста наклепа на рис. 9а и кривую усталости на рис. 9б на большое количество циклов.
Заключение
Из проведенного анализа механизма наклепа и усталости гильз следуют выводы и конкретные практические рекомендации для болтовых винтовок.
1. Ресурс гильзы в основном определяют дульце, плечо гильзы (трещины от наклёпа), зона 5–10 мм от донца гильзы (характерное место поперечного или осевого разрыва корпуса), капсюльное гнездо и проточка.
2. Скорость роста наклепа на дульце и плече гильзы определяется амплитудой расширения и сжатия в циклах «выстрел-обжим-посадка пули». Использование патронников с тесным неком и минимально достаточный обжим плеча значительно (в несколько раз) снижают скорость роста наклепа. Регулярный отжиг дульца и плеча возвращает гильзу практически к первоначальному состоянию. Периодичность отжига зависит от скорости накопления наклепа и должна учитывать изменение других факторов, влияющих на стабильность усилия посадки пули. Для винтовок с тесным неком возможен полный отказ от отжига без потери кучности в 5–8 циклах. Для винтовок с широким неком желателен отжиг каждый цикл. В некоторых случаях можно использовать режим неполного отжига.
3. Для исключения кольца утончения на пояске гильзы, приводящего к разрыву, необходим минимальный обжим гильз по длине до плеча (0,001–0,002) и FL обжим тела гильзы (верх 0,0015, низ 0,0005). Вместе с тем, для исключения ускоренного роста наклепа обжим тела гильзы должен быть минимально-достаточным. Следите за светлым кольцом у пояса.
4. Для исключения осевого разрыва тела гильзы необходимо обеспечить минимально необходимый зазор между плечами патронника и гильзы и использовать обжимную матрицу с диаметром, исключающим чрезмерный пережим гильзы.
5. Состояние капсюльного гнезда и проточки — это важные индикаторы к выбраковке. Для продления ресурса гильзы по гнезду и проточке не следует использовать «горячие» навески и слишком острые пороха.
6. Оптимальная стратегия обеспечения максимального ресурса гильзы – тесный нек патронника + минимально-достаточный FL-обжим тела гильзы + регулярный отжиг дульца и плеча + контроль длины гильзы по плечу + умеренные навески пороха + формовка новой гильзы щадящей навеской.
Список литературы:
- George F. Vander Voort. Deformation and Annealing of Cartridge Brass (VAC AERO). https://vacaero.com/information-resources/metallography-with-george-vander-voort/1440-deformation-and-annealing-of-cartridge-brass.html Dieter G. E. Mechanical Metallurgy. — 3rd ed. — New York: McGraw-Hill, 1986. — XXIII, 751 p. ISBN 0-07-016893-8.
- G. F. Vander Voort. Color Metallography (NIST, PDF). https://materialsdata.nist.gov/bitstream/handle/11115/160/Color%20Metallography.pdf?isAllowed=y&sequence=3 Davis J. R. (ed.) ASM Specialty Handbook: Copper and Copper Alloys. — Materials Park, OH: ASM International, 2001. — 652 p. ISBN 0-87170-726-8.
- Failure investigation of cartridge case — Engineering Failure Analysis. https://www.researchgate.net/publication/333708095_Failure_investigation_of_cartridge_case (дата обращения: 08.11.2025).
- Failure analysis of cartridge brass shell https://www.bohrium.com/paper-details/failure-analysis-of-cartridge-brass-shell/811916957761667072-4013(дата обращения: 08.11.2025).
- Failure investigation of cartridge case
https://www.sciencedirect.com/science/article/pii/S2452321619300988(дата обращения: 08.11.2025). - Hollomon J. H. Tensile deformation // Transactions of the AIME. — 1945. — Vol. 162. — P. 268–290.
- Swift H. W. Plastic instability under plane stress // Journal of the Mechanics and Physics of Solids. — 1952. — Vol. 1, № 1. — P. 1–18.
- Meyers M. A., Chawla K. K. Mechanical Behavior of Materials. — 2nd ed. — Cambridge: Cambridge University Press, 2009. — 856 p.
- Voce E. The relationship between stress and strain for metals at constant temperature // Journal of the Institute of Metals. — 1948. — Vol. 74. — P. 537–562.
- Kocks U. F., Mecking H. Physics and phenomenology of strain hardening: The FCC case // Progress in Materials Science. — 2003. — Vol. 48. — P. 171–273. DOI: 10.1016/S0079-6425(02)00003-8.
- Galindo-Nava E. I., Rivera-Diaz-del-Castillo P. E. J. A physically based constitutive model for the yield strength of steels // Progress in Materials Science. — 2012. — DOI: 10.1016/j.pmatsci.2012.03.003.
- Taylor G. I. The mechanism of plastic deformation of crystals. Part I. Theoretical // Proceedings of the Royal Society A. — 1934. — Vol. 145, No. 855. — P. 362–387. DOI: 10.1098/rspa.1934.0106.
- Mughrabi H. Microstructural mechanisms of cyclic deformation, fatigue crack initiation and early crack growth // Philosophical Transactions of the Royal Society A. — 2015. — Vol. 373, 20140132. DOI: 10.1098/rsta.2014.0132.
- Armstrong P. J., Frederick C. O. A mathematical representation of the multiaxial Bauschinger effect // Materials at High Temperatures. — 2007. — Vol. 24, No. 1. — P. 1–26. (Ориг.: CEGB Report RD/B/N 731, 1966).
- Chaboche J.-L. Constitutive equations for cyclic plasticity and cyclic viscoplasticity // International Journal of Plasticity. — 1989. — Vol. 5, No. 3. — P. 247–302. DOI: 10.1016/0749-6419(89)90015-6.
- Dieter G. E. Mechanical Metallurgy. — 3rd ed. — New York: McGraw-Hill, 1986. — 751 p.
- Davis J. R. (ed.). ASM Specialty Handbook: Copper and Copper Alloys. — Materials Park, OH: ASM International, 2001. — 652 p.
- ASM Handbook. Vol. 4. Heat Treating. — Materials Park, OH: ASM International, 2013. — 1224 p.
- Vander Voort G. F. Deformation and Annealing of Cartridge Brass // VAC AERO [Электронный ресурс]. —https://vacaero.com/information-resources/metallography-with-george-vander-voort/1440-deformation-and-annealing-of-cartridge-brass.html(дата обращения: 08.11.2025).
- AMP Annealing. Annealing under the Microscope (series) [Электронный ресурс]. — 2017–2019. —https://www.ampannealing.com/articles/40/annealing-under-the-microscope/(дата обращения: 08.11.2025).
- AMP Annealing. Age hardening of brass [Электронный ресурс]. — 14.08.2020. —https://www.ampannealing.com/articles/60/age-hardening-of-brass/(дата обращения: 08.11.2025).
- METLAB. Cartridge Brass Hardness (report for AMP) [Электронный ресурс]. —https://www.ampannealing.com/uploads/report17/app1.pdf(дата обращения: 08.11.2025).
- AZoM. Cartridge Brass, UNS C26000 (обзор свойств) // AZoM.com. — 2012. —https://www.azom.com/article.aspx?ArticleID=6341(дата обращения: 08.11.2025).
- Hatcher J. S. Hatcher’s Notebook. — Rev. ed. — Mechanicsburg, PA: Stackpole / Precision Shooting, 2000. — 528 p.
- Vaughn H. R. Rifle Accuracy Facts. — 2nd ed. — Manchester, CT: Precision Shooting, 2000. — 292 p.
- Coffin L. F. Jr. A study of the effects of cyclic thermal stresses on a ductile metal // Transactions of the ASME. — 1954. — Vol. 76. — P. 931–950.
- Manson S. S. Behavior of materials under conditions of thermal stress // NACA Technical Note 2933. — 1953. — 38 p.
- Suresh S. Fatigue of Materials. — 2nd ed. — Cambridge: Cambridge University Press, 1998. — 679 p.
- Schijve J. Fatigue of Structures and Materials. — 2nd ed. — Dordrecht: Springer, 2009. — 623 p.
- Stephens R. I., Fatemi A., Stephens R. R., Fuchs H. O. Metal Fatigue in Engineering. — 2nd ed. — New York: Wiley, 2000. — 496 p.
- Basquin O. H. The exponential law of endurance tests // Proceedings of the American Society for Testing Materials. — 1910. — Vol. 10. — P. 625–630.
- Smith K. N., Watson P., Topper T. H. A stress–strain function for the fatigue of metals // Journal of Materials. — 1970. — Vol. 5, № 4. — P. 767–778.
- Morrow J. Fatigue properties of metals // Fatigue Design Handbook. — SAE, 1968. — P. 21–29.
- Meyers M. A., Chawla K. K. Mechanical Behavior of Materials. — 2nd ed. — Cambridge: Cambridge University Press, 2009. — 856 p.
- Hertzberg R. W., Vinci R. P., Hertzberg J. L. Deformation and Fracture Mechanics of Engineering Materials. — 5th ed. — Hoboken: Wiley, 2012. — 784 p.
- Mughrabi H. Microstructural mechanisms of cyclic deformation, fatigue crack initiation and early crack growth // Philosophical Transactions of the Royal Society A. — 2015. — Vol. 373, 20140132. DOI: 10.1098/rsta.2014.0132.
- Lukáš P., Kunz L. Role of persistent slip bands in fatigue // Philosophical Magazine. — 2004. — Vol. 84, № 3–5. — P. 317–330.
- Polák J., Obrtlík K., Man J. Extrusions and intrusions in fatigued metals. Part 1. State of the art and history // Philosophical Magazine. — 2009. — Vol. 89, № 16. — P. 1295–1336.