д-р техн. наук, проф. кафедры Технологические машины и оборудование Ферганского государственного технического университета, Узбекистан, г. Фергана
ОПРЕДЕЛЕНИЕ ОПТИМАЛЬНЫХ ПАРАМЕТРОВ БАРБОТАЖНОГО АБСОРБЦИОННОГО УСТРОЙСТВА
АННОТАЦИЯ
В статье приведены результаты экспериментальных исследований нового пузырькового абсорбционного агрегата, разработанного для очистки газов H₂S на Ферганском нефтеперерабатывающем заводе. Проведён анализ экспериментальных данных для определения оптимальных параметров работы установки. На основе методов математического планирования и с использованием специализированного программного обеспечения получены регрессионные уравнения, позволяющие моделировать и прогнозировать эффективность процесса абсорбции. Результаты показали высокую степень очистки газа и стабильность технологических параметров. Разработанный агрегат подтвердил свою эффективность в промышленных условиях, что обеспечило возможность его практического внедрения на предприятии для повышения экологической безопасности и технологической надёжности производства.
ABSTRACT
The article presents the results of experimental studies of a new bubble absorption unit developed for H2S gas purification at the Fergana Oil Refinery. An analysis of experimental data was conducted to determine the optimal operating parameters of the installation. Based on mathematical planning methods and using specialized software, regression equations were obtained that allow modeling and predicting the efficiency of the absorption process. The results showed a high degree of gas purification and the stability of the technological parameters. The developed unit proved its effectiveness in industrial conditions, which made it possible to implement it in practice at the enterprise to improve the environmental safety and technological reliability of production.
Ключевые слова: барботажная абсорбция, газы H2S, размер керамической насадки, время контакта, скорость газа, расход жидкости.
Keywords: bubble absorption, H2S gases, ceramic packing size, contact time, gas velocity, liquid flow rate.
Введение
Сероводород (H2S), образующийся при переработке нефти, содержит экологически опасные компоненты, и эффективная очистка этого вещества считается важной проблемой на промышленных предприятиях. В таких процессах широко применяется абсорбционный метод, в частности, барботажные устройства. В данной статье описываются экспериментальные исследования, проведенные на барботажном абсорбционном агрегате, установленном на нефтеперерабатывающем заводе. В ходе экспериментов были определены показатели работы прибора в различных условиях эксплуатации, а полученные данные обрабатывались с помощью специальных компьютерных программ. По результатам были сформулированы уравнения регрессии и построены графики, иллюстрирующие взаимосвязи между параметрами. Кроме того, были определены оптимальные конструктивные и технологические параметры, обеспечивающие высокую эффективность работы устройства.
Материалы и методы исследования
Объектом исследования является экспериментальный барботажный абсорбер, разработанный на кафедре «Технологические машины и оборудование» Ферганского государственного технического университета на основе патента (FAP No 2519). Экспериментальные исследования проводились в блоке 49 1-го участка Ферганского НПЗ. При оценке процессов массопереноса для определения коэффициента массопередачи использовалась расчетная формула, основанная на результатах теоретических исследований [2; 4].
Результаты и обсуждения
В ходе экспериментальных исследований, проведенных в зоне перемешивания испытуемой установки, последовательно на цилиндрические опорные решетки были размещены сферические керамические упаковки трех разных размеров. Для каждого типа насадки были проведены отдельные эксперименты при различных режимах потока как абсорбента, так и газа. Основные характеристики керамической набивки следующие: высота цилиндрической опорной сетки h = 150 мм, диаметр сферического керамического элемента d = 9 мм, удельная поверхность Sa = 0,043 м2, коэффициент сопротивления ξ = 1,7 [3].
Концентрация сероводорода в газе, поступающем в установку, была определена в 3-й лаборатории завода на приборе Shimadzu GC-2014 / GC-2030 согласно ГОСТ 22985-2017 и составила Xn=2,5%. Расходы абсорбента (ДЭА), подаваемого на установку, составили Qжидкость=0,023, 0,031, 0,039 м3/час. При каждом из этих фиксированных расходов абсорбента расход сероводородного газа в установку варьировался в диапазоне Qgas=0,15-0,55 м3/час с увеличением на 0,1 м3/час. В соответствии с этими расходами газа, его скорость в зоне смешивания аппарата находилась в рамках ωгаз = 0,017-0,062 м/с. Для каждого рабочего состояния выхлопной газ собирали в специально сконструированные сферические баллоны, а концентрацию сероводорода снова измеряли в лаборатории № 3. Учитывая многофакторный характер экспериментов, проведенных в промышленных условиях, для определения оптимальных параметров работы аппарата был применен метод математического планирования [1; 3; 5]. Как теоретический анализ, так и многофакторные испытания подтвердили, что наиболее влияющими переменными, воздействующими на эффективность очистки, являются: диаметр керамической насадки (X1), расход абсорбента, подаваемого в устройство (X2), скорость газа (X3) и время контакта (X4). По результатам этих исследований были определены диапазоны вариации этих факторов. В таблице 1.1. обобщены уровни факторов и соответствующие им диапазоны.
Таблица 1.1.
Уровни и диапазоны вариации для факторов
|
№ |
Факторы |
Единица измерения
|
Обозначение факторов |
Диапазон изменчивости |
Уровни факторов |
||
|
нижний (-1) |
базовый (0) |
верхний (+1) |
|||||
|
1. |
Диаметр керамического сопла |
мм |
Х1 |
3 |
9 |
12 |
15 |
|
2. |
Скорость потока абсорбента, подаваемого в устройство |
м3/ч |
Х2 |
0.08 |
0.023 |
0.031 |
0.039 |
|
3. |
Скорость газа |
м/с |
Х3 |
0,011 |
0.017 |
0,028 |
0.04 |
|
4. |
Время контакта |
м3/ч |
Х4 |
20 |
17.4 |
38.5 |
63.5 |
При проведении многофакторных экспериментов в качестве критерия оценки была принята эффективность очистки (Y1) устройства. Исходя из предположения, что полином второй степени полностью описывает влияние факторов на критерии оценки, эксперименты проводились с использованием программы «OriginLab».
Для минимизации влияния неконтролируемых факторов на критерии оценки последовательность экспериментов определялась с использованием 1/12 таблицы случайных чисел (параметры, рассчитанные на основе случайных значений, представлены в таблице 1.2). Для определения оптимальных параметров очистки сероводорода эксперименты проводились отдельно в 5 повторностях. Для определения степени очистки использовался многокомпонентный газоанализатор АНКТ-410. По результатам экспериментов установлена зависимость эффективности очистки дизельного топлива от сероводорода от переменных факторов (табл. 1.2).
Таблица 1.2.
Параметры, рассчитанные на основе случайных значений
|
Диаметр керамической насадки |
Скорость потока абсорбента, подаваемого в устройство |
Скорость газа |
Контактное время |
Эффективность очистки |
|
-1 |
0 |
+1 |
-1 |
99,6 |
|
+1 |
-1 |
0 |
+1 |
99,7 |
|
0 |
+1 |
-1 |
-1 |
99,55 |
|
0 |
0 |
0 |
0 |
99,8 |
|
-1 |
+1 |
0 |
+1 |
98,75 |
|
+1 |
0 |
-1 |
0 |
99,9 |
|
-1 |
-1 |
+1 |
0 |
99,85 |
|
+1 |
+1 |
-1 |
+1 |
99,95 |
|
0 |
-1 |
0 |
+1 |
99,7 |
|
-1 |
0 |
-1 |
-1 |
99,88 |
|
0 |
+1 |
+1 |
0 |
99,93 |
|
+1 |
-1 |
+1 |
-1 |
99,97 |
Экспериментальные результаты были обработаны надлежащим образом, и с помощью программы «OriginLab» были получены следующие уравнения регрессии, адекватно представляющие критерии оценки. Кроме того, были построены графики, изображающие зависимость переменных факторов от критериев оценки.
Y=99.74+0.021X1−0.018X2+0.012X3+0.009X4+0.015X1X2−0.010X1X3+0.006X1X4+0.014X2X3−0.008X2X4+0.011X3X4−0.017X12−0.012X22−0.009X32−0.013X42
/Karimov.files/image001.jpg)
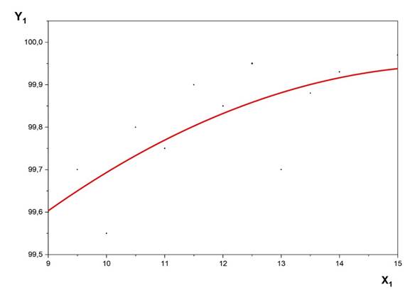
Рисунок 1.1. График, показывающий зависимость между эффективностью очистки и диаметром керамического насадка
/Karimov.files/image002.jpg)
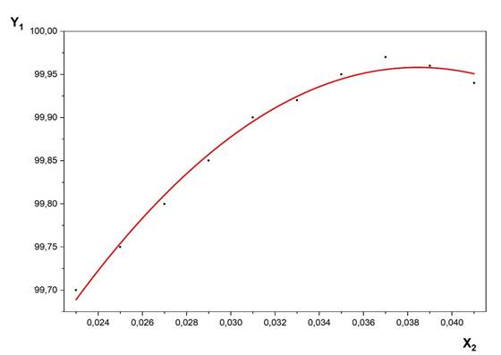
Рисунок 1.2. График, показывающий зависимость между эффективностью очистки и расходом абсорбента
/Karimov.files/image003.jpg)
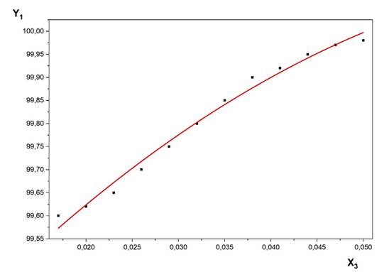
Рисунок 1.3. График, показывающий зависимость между эффективностью очистки и скоростью газа
/Karimov.files/image004.jpg)
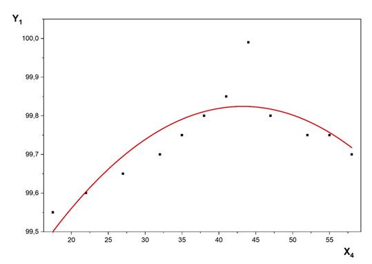
Рисунок 1.4. График, показывающий зависимость между эффективностью очистки и временем контакта
Анализ полученных уравнений регрессии (уравнения 1.1 и 1.2) и графиков (рисунки 1.1 и 1.4) показывает, что все факторы существенно влияют на критерии оценки. Кроме того, диаметр керамического сопла, подаваемый в устройство расход абсорбента, скорость газа и время контакта имеют сложную взаимосвязь с изучаемыми факторами.
С целью определения факторов, влияющих на исследуемые процессы, то есть оптимальных значений очистительного эффекта аппарата, были решены уравнения регрессии на примере сероводородного газа. Условие о том, что эффективность очистки сероводорода (H2S) в газовом потоке должна быть выше 99,5 %, было принято в соответствии с требованиями ГОСТ 2567-73. В данной задаче с помощью операции «поиск решения» в компьютерной программе Microsoft Excel были получены оптимальные значения переменных факторов в закодированном виде, а закодированные значения были преобразованы в натуральные значения [2; 4].
Таблица 1.3.
Преобразование кодированных значений в натуральные значения
|
№ |
Факторы |
Единица измерения |
Обозначение фактора |
Кодированное значение |
Реальное значение |
|
1 |
Диаметр керамической насадки |
мм |
Х1 |
-1.29 |
12 |
|
3 |
Скорость потока абсорбента, подаваемого в устройство |
м/ч |
Х2 |
-1.99 |
0,028 |
|
3 |
Скорость газа |
м3/ч |
Х3 |
-2.08 |
0,031 |
|
4 |
Контактное время |
сек |
Х4 |
+1.59 |
38.5 |
Из данных, представленных на рисунках 1.1–1.4 и в таблице 1.1, видно, что оптимальные параметры экспериментальной установки для процесса очистки газа H2S были стандартизированы и определены следующим образом: диаметр керамического шарика, используемого в качестве набивки, dk=12мм; расход абсорбента, Qab= 0,031 м3/час; скорость потока газа, подлежащего очистке, wg=0,028м/с.
При этих значениях переменных факторов эффективность очистки аппарата составила 99,8 %. Результаты, полученные в экспериментах, полностью удовлетворяли техническим требованиям к данному типу аппаратов.
Заключение
В результате проведенных исследований были определены оптимальные конструктивные и технологические параметры, необходимые для эффективной работы барботажного абсорбционного агрегата, установленного на нефтеперерабатывающем заводе. Полученные данные были обработаны с помощью компьютерных программ, построены уравнения регрессии и графики взаимосвязи. Результаты исследования позволяют повысить эффективность устройства и его практическое применение в промышленных условиях.
Список литературы:
- Эргашев Н.А. Исследование гидравлического сопротивления пылеулавливающего устройства мокром способом // Universum: технические науки: электрон. научн. журн. – 2019.– № 12 (69).– С. 59–62.
- Эргашев Н.А., Маткаримов Ш.А., Зияев А.Т., Тожибоев Б.Т., Қўчқоров Б.У. Опытное определение расхода газа, подаваемое на пылеочищаюшую установку с контактным элементом, работающим в режиме спутникового вихря // Universum.–Москва, 2019. – № 12 (69).–С. 54–58.
- Karimov I., Ibrohimov K. Experimental studies on determining mass transfer between gas and liquid in a bubble absorption apparatus // Universum: химия и биология: научный журнал. – № 8 (134). – Ч. 3. – С. 4–10.
- Madaminova G.I., R.J.Tojiev, Bajirov T., Research of the hydrodynamic processes of the dust cleaning drum apparatus operating wet method // Proceedings of the international scientific-practical conference «Auezov readings–21: new Kazakhstan – the future of the country» dedicated to the 80th anniversary of m. Auezov South Kazakhstan University. – Shimkent, 2022. – Pp. 173–178.
- Yusupbekov N.R., Zokirov S.G., Nurmuhamedov H.S. Basic Processes and Devices of Chemical Technology (Theory, Account. Project). – Tashkent: Sharq, 2022.