преподаватель, Академический лицей, Бухарский государственный медицинский институт, Узбекистан, г. Бухара
ИЗУЧЕНИЕ ВЛИЯНИЯ КОНЦЕНТРАЦИИ МОДИФИКАТОРА НА ГИДРОФОБНЫЕ И АНТИБАКТЕРИАЛЬНЫЕ СВОЙСТВА ТКАНЕЙ
АННОТАЦИЯ
В данной статье рассматриваются гидрофобные и антибактериальные свойства тканей, для повышения которых были использованы составы марки ПГА-1, полученные путем модификации ацетата цинка (Zn(CH₃COO)₂) высокомолекулярными спиртами. В ходе исследования текстильные ткани были обработаны данными составами, а также проанализированы их водоотталкивающие и антимикробные свойства. Гидрофобность определялась методом контактного угла смачивания водой (WCA), а также изучалась антибактериальная эффективность в отношении Escherichia coli и Staphylococcus aureus. Результаты показали, что модифицированные покрытия, содержащие ПГА-1, при нанесении в оптимальных концентрациях обеспечивают высокую гидрофобность (130–138°) и стабильную антибактериальную активность на тканях. Полученные результаты имеют научное и практическое значение как перспективное направление для использования в медицине, средствах защиты и технических областях, расширяя сферу практического применения текстильных изделий.
ABSTRACT
In this article, in order to increase the hydrophobic and antibacterial properties of fabrics, PGA-1 brand compositions were used, obtained by modifying zinc acetate (Zn(CH₃COO)₂) with high molecular weight alcohols. During the study, textile fabrics were modified using these compositions, and their water-repellent and antimicrobial properties were analyzed. The hydrophobicity was determined by the water contact angle (WCA) method, and the antibacterial efficacy against Escherichia coli and Staphylococcus aureus was studied. The results showed that the modified coatings containing PGA-1, when applied at optimal concentrations, provide high hydrophobicity (130–138°) and stable antibacterial activity on fabrics. Such results are of scientific and practical importance as a promising direction for use in medicine, protective equipment, and technical fields, expanding the scope of practical application of textile products.
Ключевые слова: ацетат цинка; высокомолекулярные спирты; ПГА-1; текстильные материалы; гидрофобность; антибактериальная активность; модификация; контактный угол смачивания водой; Escherichia coli; Staphylococcus aureus.
Keywords: zinc acetate; high molecular weight alcohols; PGA-1; textile materials; hydrophobicity; antibacterial activity; modification; water contact angle; Escherichia coli; Staphylococcus aureus.
ВВЕДЕНИЕ
В последние годы требования к текстильным изделиям не ограничиваются внешним видом и механической прочностью, а включают в себя и дополнительные функциональные свойства. В частности, такие многофункциональные свойства, как гидрофобность и антибактериальность, создают основу для широкого использования тканей в повседневной одежде, медицине, специальных средствах защиты и технических областях [1]. Поэтому улучшение свойств тканей путем обработки их поверхности различными методами модификации стало сегодня актуальным направлением научных исследований.
Нанесение модификатора на поверхность ткани не только повышает гидрофобность, но и позволяет эффективно подавлять рост бактерий. Однако эффективность этого процесса зависит от ряда факторов, и химическая природа модификатора, размер частиц, способ нанесения и, что самое главное, концентрация модификатора напрямую влияют на результат [2]. Параметр концентрации определяет уровень гидрофобности и антибактериальности через плотность образующихся на поверхности ткани наноструктур, степень шероховатости поверхности и наличие активных функциональных групп. Поэтому правильный подбор количества модификатора является одним из основных условий, определяющих конечное качество материала.
Как сообщается в литературе, получены значительные результаты в улучшении функциональных свойств тканей с использованием различных модификаторов, включая ZnO, Zn(OH)₂, Zn-MOF (металлоорганические каркасы) и азотсодержащие полимеры. Например, сообщается, что ткани, покрытые частицами ZnO, имеют краевой угол смачивания водой до 130–140°, а также высокую антибактериальную эффективность [3]. При этом установлено, что увеличение концентрации может повысить гидрофобность, но при слишком высокой концентрации покрытие может формироваться неравномерно и снижать воздухопроницаемость ткани [4]. Напротив, при низких концентрациях трудно достичь желаемого функционального эффекта. Поэтому определение оптимального количества является важной задачей как с научной, так и с практической точки зрения. Актуальность данного исследования заключается в том, что оно направлено на определение влияния концентрации модификатора на гидрофобность и антибактериальные свойства тканей, а точные и систематизированные научные данные по этому вопросу разработаны недостаточно. Поэтому исследование изменения контактного угла смачивания водой и эффективности против таких бактерий, как E. coli и S. aureus, при использовании модификаторов в различных концентрациях послужит формированию нового научного подхода в этом направлении [5].
Ожидаемые результаты помогут определить оптимальные условия модификации тканей, снизить расход реагентов и добиться высокой эффективности. Это имеет большое практическое значение при производстве медицинской одежды, средств специальной защиты, фильтрующих материалов и других востребованных изделий.
В заключение следует отметить, что углубленное изучение влияния концентрации модификатора на гидрофобность и антибактериальные свойства тканей обогатит теоретические знания, а при практическом применении позволит создать новое поколение высококачественных материалов для промышленности и сферы безопасности.
Материалы и методы исследования
Для исследования были выбраны три типа текстильных материалов: хлопчатобумажные, полиэфирные и смесовые. Каждый образец предварительно тщательно промывали в дистиллированной воде и полностью высушивали в сушильном шкафу при температуре 70 °C. В лабораторных условиях были приготовлены гидрофобные и антибактериальные модифицирующие составы марки ПГА-1 (0,25%, 0,5%, 1,0%, 1,5% и 2,0%) на основе высокомолекулярных спиртов и ацетата цинка (Zn(CH₃COO)₂). Также последовательно изучались механизмы действия этих модификаторов на натуральные текстильные материалы. Полученные модифицирующие растворы ПГА-1 наносили на поверхность текстильных образцов методом пропитки. Затем модифицированные образцы подвергали термической обработке при температуре 120–150 °C в течение 5–10 минут. Такая термическая обработка обеспечивает прочную химическую связь молекул модифицирующего состава с волокнами ткани и способствует устойчивому закреплению покрытия. На следующем этапе экспериментальными методами оценивали гидрофобность, антибактериальные свойства и воздухопроницаемость полученных модифицированных тканей. Этот этап позволил определить влияние концентрации модификатора на функциональные свойства ткани и определить оптимальные технологические условия.
Гидрофобность оценивали путем определения контактного угла смачивания водой (WCA). К каждому образцу добавляли 10 мкл дистиллированной воды и измеряли контактный угол с помощью гониометра. Измерения повторяли трижды и получали средние значения.
Антибактериальные свойства исследовали в соответствии со стандартом ISO 20743:2021. В качестве объектов исследования использовали Escherichia coli (грам-отрицательные) и Staphylococcus aureus (грам-положительные). Модифицированные и контрольные образцы обрабатывали бактериальной суспензией и инкубировали при температуре 37 °C в течение 24 часов. Антибактериальная эффективность оценивали по проценту уменьшения количества бактериальных колоний.
Результаты и обсуждение
Измерения показали, что водоотталкивающие свойства тканей неуклонно возрастают с увеличением концентрации модификатора. При начальной концентрации 0,25% существенной гидрофобности на поверхности ткани не наблюдалось, а краевой угол смачивания водой составлял около 95–100°. При концентрации 0,5–1,0% краевой угол значительно увеличивался, достигая 120–130°. Наивысшие результаты были получены при концентрации 1,5–2,0%, а краевой угол смачивания водой достигал 135–138°. Однако при концентрации выше 2,0% неравномерность покрытия и воздухопроницаемость ткани снижались. Таким образом, оптимальная концентрация была определена в диапазоне 1,0–1,5%.
Таблица 1.
Влияние концентрации модификатора на краевой угол смачивания водой (WCA)
|
Концентрация модификатора (%) |
Угол контакта с водой (°) |
Наблюдаемое состояние |
|
0,25 |
95–100 |
Слабая гидрофобность, капля быстро впитывается |
|
0,5 |
120 |
Капля воды прилипает к поверхности |
|
1,0 |
125–130 |
Хорошая гидрофобность, капля скользит |
|
1,5 |
135 |
Высокая гидрофобность, капля практически скатывается |
|
2,0 |
138 |
Высочайшая эффективность, но воздухопроницаемость снижена |
|
>2,0 |
<135 |
Покрытие неравномерное, гидрофобность нестабильна |
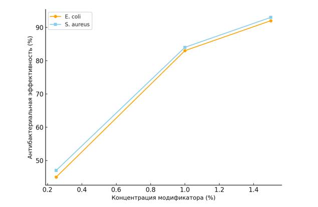
Как видно из таблицы, с увеличением концентрации модификатора водоотталкивающие свойства тканей постепенно возрастают. Изначально при концентрации 0,25% краевой угол смачивания водой находился в диапазоне 95–100°, а гидрофобность наблюдалась на относительно низком уровне. При увеличении концентрации до 0,5% краевой угол резко увеличивался и был равен 120°, а при 1,0% этот показатель регистрировался в диапазоне 125–130°. На этом этапе наблюдается скольжение капли воды по тканям, то есть формируется устойчивая гидрофобность. При увеличении концентрации до 1,5% гидрофобность продолжает увеличиваться, и краевой угол достигает 135°. При концентрации 2,0% зафиксировано наибольшее значение — 138°, что свидетельствует об очень высокой водоотталкивающей способности ткани. В то же время было установлено, что при концентрациях выше 2,0% снижалась воздухопроницаемость ткани из-за неравномерности нанесения и несколько ослабевала гидрофобная устойчивость. Оптимальные гидрофобные свойства достигаются в диапазоне концентраций 1,0–1,5%. При этих условиях ткань обладает высокой водоотталкивающей способностью, сохраняя при этом свои эксплуатационные свойства. Наблюдения показали, что с ростом концентрации повышались защитные свойства поверхности ткани от бактерий. Особенно это проявилось в эффективности против бактерий E. coli и S. aureus. На графике ниже представлена зависимость между концентрацией и антибактериальной активностью.
/Xolov.files/image001.jpg)
Рисунок 1. Влияние концентрации модификатора на антибактериальную эффективность тканей
Как видно из рисунка 1, антибактериальная эффективность тканей значительно возрастает с увеличением концентрации модификатора. Изначально, при концентрации 0,25%, эффект против бактерий E. coli и S. aureus был относительно низким, а эффективность достигала 40–50%. При увеличении концентрации до 1,0% результаты значительно улучшились, а рост бактерий ограничился 80–85%. Наибольшая эффективность наблюдалась при концентрации 1,5%, и на этом этапе антибактериальная активность достигала 90–95%.
Такая тенденция к росту объясняется синергетическим действием ионов цинка и азотистых групп. Они повреждают клеточную стенку бактерий, нарушают метаболические процессы и препятствуют их размножению. В результате на поверхности ткани формируется устойчивая антибактериальная защита. В целом, графический анализ показывает, что оптимальная концентрация модификатора находится в диапазоне 1,0–1,5%, при котором ткани проявляют высокую антибактериальную эффективность.
В ходе исследований также изучалось влияние концентрации модификатора на воздухопроницаемость тканей. Результаты показали, что с ростом концентрации воздухопроницаемость снижается. При исходно низкой концентрации щели между волокнами ткани были широкими, что обеспечивало свободное прохождение воздуха. Однако с увеличением количества модификатора межволоконные щели заполнялись налётом, затрудняющим прохождение воздушного потока. В результате этого воздухопроницаемость ткани снижалась до минимального значения при концентрации 2,0%.
/Xolov.files/image002.jpg)
Рисунок 2. Влияние концентрации модификатора на воздухопроницаемость ткани
Результаты исследования, представленные на рисунке 2, показывают, что с увеличением концентрации модификатора воздухопроницаемость тканей снижается. При исходной концентрации 0,25% воздухопроницаемость была высокой и составляла около 320 л/м²·с. При увеличении концентрации до 1,0% показатель снизился до 260 л/м²·с, а при концентрации 1,5% – до 200 л/м²·с. Наименьшее значение было зафиксировано при концентрации 2,0% и снизилось до 150 л/м²·с. Этот процесс объясняется тем, что избыточное нанесение модификатора покрывает поверхность ткани и уменьшает межволоконные промежутки.
Заключение
Проведенные исследования показали, что основные функциональные свойства тканей – гидрофобность, антибактериальность и воздухопроницаемость – напрямую зависят от концентрации модификатора. Результаты исследования гидрофобности показали, что краевой угол смачивания водой неуклонно увеличивался с ростом концентрации. В диапазоне 1,5–2,0% этот показатель достигал наибольшего значения – до 135–138°. Оптимальная гидрофобность наблюдалась при концентрациях 1,0–1,5%, и ткани приобретали способность эффективно отталкивать воду. Результаты исследования антибактериальной эффективности также наглядно продемонстрировали влияние концентрации. При концентрации 0,25% активность составляла около 40–50%, при 1,0% – 80–85%, а при 1,5% – 90–95%. Такие результаты объясняются сильным ингибирующим действием на бактериальные клетки, обусловленным совместным действием ионов цинка и азотистых групп.
Иная картина наблюдалась в отношении воздухопроницаемости: с ростом концентрации воздухопроницаемость тканей снижалась. Показатель, составлявший 320 л/м²·с при 0,25%, снизился до 150 л/м²·с при 2,0%. Это связано с тем, что при высоких концентрациях покрытие закрывает межволоконные промежутки. По результатам экспериментальных испытаний оптимальная концентрация наблюдалась в диапазоне 1,0–1,5%. При этих условиях ткани одновременно демонстрировали высокую гидрофобность, эффективные антибактериальные свойства и достаточную воздухопроницаемость. Эти результаты имеют большое практическое значение при производстве медицинской одежды, средств индивидуальной защиты, фильтрующих материалов и изделий технического текстиля.
Список литературы:
- Goyal A., et al. Functional finishing of textiles using nanomaterials: A review // Journal of Industrial Textiles. – 2021. – Vol. 51(7). – P. 1173–1196.
- Haji A. Textile finishing with nanomaterials // Journal of Nanostructure Chemistry. – 2020. – Vol. 10. – P. 1–15.
- Narakaew S., et al. The finished polyester fabric with hot NH₄OH pretreatment and mixed ZnO–Zn(OH)₂ nanoparticles for hydrophobic property // Journal of Metals, Materials and Minerals. – 2022. – Vol. 32(1). – P. 109–117.
- Yang M., et al. Phytic acid-induced durable fire-proof and hydrophobic complex coating for versatile cotton fabrics // International Journal of Biological Macromolecules. – 2024. – Vol. 281. – P. 135733.
- Chen X., et al. Layer-by-layer ZnO/polymer coatings for hydrophobic and flame-retardant cotton fabrics // Textile Research Journal. – 2023. – Vol. 93(7). – P. 1125–1138.
- Xolov A. A. & Nurqulov F. N. (2025). Tarkibida azot–rux bo’lgan organik modifikatorlarni to’qimachilik materillarning bakteriyalarga qarshi va gidrofob xossalarga ta’siri. Development Of Science, 9(2), pp. 349-356.