(PhD) Ташкентский химико-технологический институт, Узбекистан, г. Ташкент
ИССЛЕДОВАНИЕ СИНТЕЗА И ХАРАКТЕРИСТИК ГИДРОГЕЛЕЙ НА ОСНОВЕ ГИПАНА, ПАА, ФОРМАЛЬДЕГИДА, СЕРНОЙ КИСЛОТЫ И СУЛЬФАТА АММОНИЯ
АННОТАЦИЯ
В данной статье описывается технология получения гидрогелей, виды сырья, в рамках исследования синтезированы новые гидрогели на основе гидролизованного полиакриламида (ГИПАН), ПАА, формальдегида и различных минералов. В состав этих гидрогелей включены другие минеральные компоненты, и их физико-химические и морфологические свойства изучены с использованием ИК-спектроскопии, сканирующей электронной микроскопии, оптической микроскопии, термогравиметрии и дифференциальной сканирующей калориметрии и других методов. Определены оптимальные условия синтеза гидрогелей из местного сырья. Целью является получение гидрогелей в различных средах в зависимости от температуры, концентрации и состава, а также изучение влияния типов минералов на структуру полимерных цепей и свойства гидрогелей и создание технологии получения гидрогелей с высокой эффективностью.
ABSTRACT
This article describes the technology of hydrogel production, types of raw materials, new hydrogels were synthesized based on hydrolyzed polyacrylamide (GIPAN), PAA, formaldehyde and various minerals within the framework of the study. Other mineral components were included in the composition of these hydrogels, and their physical, chemical and morphological properties were studied using IR spectroscopy, scanning electron microscopy, optical microscopy, thermogravimetry and differential scanning calorimetry, and other methods. Optimal conditions for the synthesis of hydrogels from local raw materials were determined. The aim is to prepare hydrogels in different environments depending on temperature, concentration and composition, as well as to study the effect of mineral types on the structure of polymer chains and the properties of hydrogels, and to create a technology for obtaining hydrogels with high efficiency.
Ключевые слова: ГИПАН, ПАА, формальдегид, серная кислота, сульфат аммония, pH среды, температура, инфракрасная спектроскопия, ТГА и ДТА анализ, степень набухания, кинетика набухания, кинетика сушки, сшивающие агенты.
Keywords: Hypan, PAA, formaldehyde, sulfuric acid, ammonium sulfate, pH environment, temperature, infrared spectroscopy, TGA and DTA analysis, degree of swelling, swelling kinetics, drying kinetics, crosslinking agents.
ВВЕДЕНИЕ
В настоящее время гидрогели широко используются в мире в качестве водопоглощающих и водоудерживающих полимерных материалов. Благодаря высоким сорбционным свойствам гидрогели нашли применение в различных областях деятельности человека, включая медицину, сельское хозяйство, экологию, фармакологию, нефтедобычу и другие. В частности, полимерные гидрогели играют важную роль в увеличении добычи нефти за счёт блокирования водопроницаемых каналов.
МЕТОДОЛОГИЯ ИССЛЕДОВАНИЯ
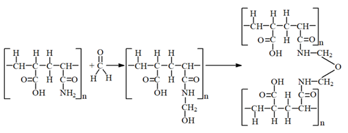
Синтез гидрогелей на основе гипана, полиакриламида (ПАА), формальдегида, серной кислоты и сульфата аммония. В процессе синтеза использовались следующие вещества: гидролизованный полиакрилонитрил (33%) в качестве основного полимерного компонента, полиакриламид, раствор формальдегида в качестве сшивающего агента. В качестве минерального компонента в гидрогель вводили сульфат аммония. В качестве растворителя использовали дистиллированную воду, для нейтрализации серную кислоту.
Приготовление раствора гипана [1,2]. Гипан и определенное количество ПАА отмеряли, растворяли в определенном объеме дистиллированной воды и перемешивали в течение 25–30 минут. Затем к раствору добавляли формалин в качестве сшивающего агента, поддерживая температуру около 80°C. Формальдегид реагировал с амидными группами и способствовал образованию трехмерной сетки. В этом процессе важную роль играла окружающая среда, и pH нейтрализовали серной кислотой для поддержания pH ≤ 9. В качестве минерального компонента в гидрогель добавляли сульфат аммония.
Это вещество существенно влияет на водоудерживающую способность и скорость абсорбции гидрогеля. Реакцию проводили при заданной температуре, что обеспечивало образование трёхмерного гидрогеля. Полученный гидрогель промывали дистиллированной водой, очищали от излишков веществ и высушивали до достижения необходимого уровня влажности.
Реакция между гипаном, полиакриламидной кислотой (ПАА) и формальдегидом протекает следующим образом [3,4].:
Инфракрасный спектроскопический анализ полученного гидрогеля. Синтезированный гидрогель замачивали в воде и снова высушивали, после чего проводили ИК-спектральный анализ.
/Sakieva.files/image002.jpg)
Рисунок 1. ИК-спектр гидрогеля на основе гипана, ПАА, формальдегида и сульфата аммония
Таблица 1.
Значения
|
№ |
Функциональные группы |
Области поглощения |
|
1 |
CH2 |
2926 сm-1 |
|
2 |
>CH |
2890 сm-1 |
|
3 |
-NH2 |
1640-1550 сm-1 |
|
4 |
>С=О |
1820-1650 сm-1 |
|
5 |
>СН2 |
1350-1150 сm-1 |
|
6 |
-C-N-C- |
1171-1038 сm-1 |
Присутствие группы -NH2 в полученном гидрогеле наблюдается в области поглощения 1558,48 см-1, наличие группы CH2 – в области поглощения 2927,29 см-1, наличие группы >С=О – в области поглощения 1658,48 см-1, наличие группы >CH2 – в области поглощения 1332,81 см-1, наличие группы -C-N-C- – в области поглощения 1130,29 см-1. Приведенный выше анализ ИК-спектроскопии показывает, что синтезированный гидрогель содержит группы -NH2, CH2, >С=О.
Изучено влияние концентрации минерального компонента (сульфата аммония) на степень набухания гидрогеля. Наилучшими водопоглощающими свойствами обладал гидрогель, полученный при содержании минерального компонента 15% (от массы полимера). При добавлении минерального компонента сульфат аммония осаждается между полимерными цепями и препятствует дальнейшему осаждению полимерного гидрогеля. Однако с увеличением концентрации минерального компонента концентрация гипана, обусловливающего основные гидрофильные свойства гидрогеля, снижается, а водопоглощение снижается. Степень набухания синтезированного гидрогеля также сравнивалась с таковой простого гидрогеля и гидрогеля с добавками аммонийного минерала [5,6]. Установлено, что степень набухания синтезированного гидрогеля резко отличается от остальных.
/Sakieva.files/image003.jpg)
Рисунок 2. Зависимость степени набухания синтезированного гидрогеля от степени набухания других гидрогелей
Видно, что степень насыщения синтезированного гидрогеля превышает 240. Для определения термостойкости и потери массы при высоких температурах был использован метод термического анализа синтезированного гидрогеля, содержащего сульфат аммония. Результаты анализа представлены на рисунке ниже.
/Sakieva.files/image004.png)
Рисунок 3. ТГА и ДТА-анализ гидрогеля, обогащённого сульфатом аммония
На изображении, полученном с помощью ТГА и ДТА выше, видны две потери массы и три поглощения энергии.
Таблица 2.
ТГА-анализ гидрогеля, содержащего сульфат аммония
|
Температура |
Потеря массы, г |
Потеря массы, % |
|
29,89-213,29°C |
0,0008 |
17,897 |
|
213,29-336,08°C |
0,000506 |
11,320 |
|
336,08-601,69°C |
0,000669 |
14,966 |
|
Общий |
0,001975 |
44,183 |
Первая потеря массы наблюдалась в диапазоне температур от 29,89°С до 213,29°С, с потерей 17,897% от общей массы, что было в основном связано с потерей воды в гидрогеле и веществ, не участвовавших в реакции [7,8]. Вторая потеря массы наблюдалась в диапазоне температур от 213,29°С до 336,08°С, с потерей 11,32% от общей массы. Это в основном связано с вкладом аммиака в гипане и сульфата аммония, которые не участвовали в реакции. Третья потеря массы наблюдалась в диапазоне температур от 336,08°С до 601,69°С, с потерей 14,966% от общей массы. В этом случае углеводороды, выделяющиеся из-за разложения гидрогеля, представляют собой азот и другие вещества
РЕЗУЛЬТАТЫ И ОБСУЖДЕНИЕ
Гидрогели были исследованы с помощью термогравиметрического анализа (ТГА) и инфракрасной спектроскопии (ИКФС). Результаты ТГА показали, что термостабильность гидрогелей зависит от входящих в их состав связующих веществ. Гидрогели, армированные формальдегидом и минералами, показали относительно низкую потерю массы при высоких температурах. Анализ методом ИКФС подтвердил наличие амидных, карбоксильных и сульфатных групп в структуре гидрогелей, что улучшает их водопоглощение и связывающие свойства.
ЗАКЛЮЧЕНИЕ
Первая потеря массы наблюдалась в диапазоне температур от 29,89°С до 213,29°С, с потерей 17,897% от общей массы, что было в основном связано с потерей воды в гидрогеле и веществ, не участвовавших в реакции [7,8]. Вторая потеря массы наблюдалась в диапазоне температур от 213,29°С до 336,08°С, с потерей 11,32% от общей массы. Это в основном связано с вкладом аммиака в гипане и сульфата аммония, которые не участвовали в реакции. Третья потеря массы наблюдалась в диапазоне температур от 336,08°С до 601,69°С, с потерей 14,966% от общей массы. В этом случае углеводороды, выделяющиеся из-за разложения гидрогеля, представляют собой азот и другие вещества.
Список литературы:
- Шавкат Давлатович Ширинов, Абдулахат Турапович Джалилов. Исследование кинетики набухания синтезированных гидрогелей на основе гидролизованного полиакрилонитрила // Universum: Химия и биология. -2018. - №3(45). -C.14-16.
- Shirinov Sh. D., Yusupov MO, Asqarova O. Hydrogel production of new generation based on local raw materials.Scientific journal 2018/11. -№ 11(12). - 141-145 b.
- Cакиева Кундуз Уткир кизи Ширинов Шавкат Давлатович Махаммадиев Ойбек Рамазон угли Валеева Наиля Геннадиевна Синтез новых высоконабухающих гидрогелей на основе местного сырья // Universum: технические науки,. -2024. - №11(128). -C.62-63.
- Cакиева Кундуз Уткир кизи, Ширинов Шавкат Давлатович2 Махаммадиев Ойбек Рамазон угли3./ Наблюдение физических свойств гидрогеля Development of science 2024.- - №6(1). -C.214-219.
- Ширинов Ш.Д., Каримов М.У., Эшбўриев Т.Н., Джалилов А.Т. Нефть қазиб чиқаришда, гидрогеллардан фойдаланишнинг истиқболлари // «Полимерлар фанининг ҳозирга замон муаммолари» Республика илмий амалий анжумани, Мирзо Улуғбек номидаги Миллий университет. –Тошкент. -2011 й. 20-21 Октябрь. -141-143 б.
- Shirinov Sh. D. Issledovaniye novogo gidrogelya, sintezirovannogo na osnove krakhmala, akrilamida i bentonit BA Kholnazarov, TK Kh, AT Dzhalilov - Universum: tekhnicheskiye nauki, 2019 №4 -C. 52-55
- Ш Д Ширинов, А Т Джалилов, О М Ёриев, ВН Ахмедов Синтез гидрогелей на основе промышленных отходов и перспектива эффективного использования их в различных областях научно- технический журнал. Ташкент-2010 й, -C. 11-13
- K.U. Sokiyeva , Sh.D.Shirinov , J.B.Fayziyev, O.R. Mahammadiyev. SYNTHESIS OF Hydrogel based on carboxyl cellulose. // O’zbekiston kimyo jurnali, 2025№2.84-89