Ph.D., Associate Professor, Department of Chemical Engineering, Namangan State Technical University, Republic of Uzbekistan, Namangan
SYNTHESIS OF NITROGEN- AND SULFUR-CONTAINING NICKEL PHTHALOCYANINE PIGMENT (NiSPc) AND ITS CHARACTERIZATION VIA IR SPECTROSCOPY
ABSTRACT
In this study, a nitrogen- and sulfur-containing nickel phthalocyanine (NiSPc) pigment was synthesized within the high-temperature range of 220–280 °C. Among the obtained samples, a pigment with high color intensity and relatively elevated yield was successfully produced. The chemical bonds of the synthesized high-intensity NiSPc were characterized using infrared (IR) spectroscopy. Analysis of the synthesis process revealed that increasing the reaction temperature enhances the pigment intensity but concurrently decreases the overall yield. An optimal synthesis temperature of 243 °C was identified for the production of this organic pigment. The unique properties of this class of compounds are determined by the specific features of their molecular structure.
АННОТАЦИЯ
В данном исследовании был синтезирован никельфталоцианиновый пигмент (NiSPc), содержащий атомы азота и серы, в интервале высоких температур 220–280 °C. Среди полученных образцов был успешно получен пигмент с высокой цветовой интенсивностью и относительно высоким выходом. Химические связи синтезированного NiSPc с высокой интенсивностью окраски были охарактеризованы с помощью инфракрасной (ИК) спектроскопии. Анализ процесса синтеза показал, что повышение температуры реакции увеличивает интенсивность пигмента, но одновременно снижает общий выход продукта. Оптимальной температурой синтеза органического пигмента была определена 243 °C. Уникальные свойства этого класса соединений определяются особенностями их молекулярной структуры.
Keywords: Nickel phthalocyanine compounds; infrared spectroscopy analysis; nickel salt; phthalic anhydride; ammonium sulfamate; high color intensity; absorption region.
Ключевые слова: никельфталоцианиновые соединения; анализ методом инфракрасной спектроскопии; соль никеля; фталевый ангидрид; сульфамат аммония; высокая цветовая интенсивность; область поглощения.
Introduction
The synthesis of phthalocyanines is primarily based on the cyclotetramerization of phthalonitrile (1,2-dicyanobenzene). Metal complexes can be obtained by heating phthalonitrile with a metal or its salt either without a solvent or in a high-boiling inert solvent (such as quinoline, nitrobenzene, 1-bromonaphthalene, etc.). Historically, the first method for obtaining metal-free phthalocyanine was the demetallation reaction of phthalocyanine complexes containing labile metal cations such as sodium, lithium, magnesium, calcium, tin, and lead [1]. The most convenient method is the demetallation of dilithium complexes, which are highly soluble in polar organic solvents, by adding water or diluted acids to their solutions [2].
In the 1980s, a method was developed for the synthesis of phthalocyanines from phthalonitriles in alcohols in the presence of strong organic bases, such as 1,8-diazabicyclo [5.4.0] undec-7-ene (DBU) or 1,5-diazabicyclo [4.3.0] non-5-ene, used as catalysts [3-5]. At present, this method is considered the most convenient laboratory technique for the synthesis of phthalocyanines. When weaker bases are used, the yield of phthalocyanines decreases significantly [6].
Phthalic anhydride, phthalimide, 1,3-diiminoisoindoline, and phthalimide are also used as starting materials for the synthesis of phthalocyanines. Typically, such reactions are carried out templated, in the presence of metal salts and, if necessary, additional nitrogen sources such as urea. 1,3-Diiminoisoindolines are more reactive starting materials compared to phthalonitriles; however, their preparation requires an additional synthetic step the treatment of phthalonitriles with ammonia in dry methanol in the presence of sodium alkoxide.
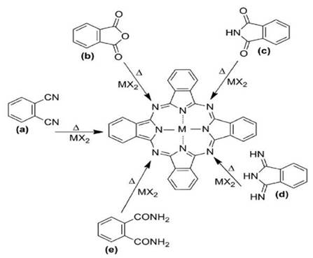
In the review work [7], the authors present the main types of starting compounds used in the synthesis of phthalocyanines (Figure 1).
/Yusupov.files/image001.jpg)
Figure 1. Starting compounds used in the synthesis of phthalocyanines: a) phthalonitrile; b) phthalic anhydride; c) phthalimide; d) 1,3-diiminoisoindoline; e) phthalimide
The synthesis of phthalocyanines in ionic liquid media, as well as using microwave irradiation, is being actively investigated. The advantages of these methods include high yield, ease of product isolation, shorter reaction times, and environmental friendliness [8-9].
Novelty of the work
A high-intensity nickel phthalocyanine pigment was synthesized through the chemical reaction of phthalic anhydride, urea, nickel chloride, ammonium sulfate, and metal salts. The reagents used in the synthesis of this organic pigment are derived from locally available raw materials, significantly reducing the reliance on imported components, and lowering the overall production cost of the pigment.
Materials and Methods
The synthesis of the organic pigment was carried out using two methods: the solvent method and the thermal (heat-based) method. It was observed that synthesis in a solvent medium resulted in reduced color intensity. Since intensity is a key parameter in pigment performance, the thermal method was selected as the preferred approach in this study.
|
|
|
|
Figure 2. Sample of nitrogen- and sulfur-containing metal phthalocyanine pigment synthesized in a solvent medium |
Figure 3. Sample of nitrogen- and sulfur-containing metal phthalocyanine pigment synthesized via the thermal method |
To synthesize the nitrogen- and sulfur-containing NiSPc pigment, a special high-temperature, acid-resistant 250 mL capacity reaction vessel made of metallic material was used. The reaction mixture included: 15 g (1 mol) of phthalic anhydride, 24 g (4 mol) of urea, 13 g (1 mol) of nickel (II) chloride, 28 g (2 mol) of ammonium sulfate, and 1 wt.% of ammonium heptamolybdate (relative to phthalic anhydride mass) as a catalyst. The mixture was continuously stirred in an HP-550-S electric heating furnace at 190 °C for 63 minutes until a homogeneous, green-colored mass was obtained. The homogeneous mass was then subjected to further heating in an SNOL muffle furnace at 243 °C for 3 hours. The resulting powdery reaction mixture was cooled to 50 °C and dissolved in 78% sulfuric acid. Boiling water was added to the solution with constant stirring, leading to the precipitation of unreacted starting materials and intermediate products. The resulting composite mixture was repeatedly washed with distilled water to remove impurities.
The precipitated NiSPc pigment was then filtered and dried in a ШС-8001 ШСУ drying oven at 80 °C, completing the exothermic formation of NiSPc-11. The maximum temperature reached during the synthesis process was 260 °C. As a result, the target NiSPc-11 pigment was obtained with a stoichiometric yield of 73.2%.
Results and Discussion
In Figure 4 infrared (IR) spectroscopic analysis of the synthesized sample is presented.
/Yusupov.files/image004.png)
Figure 4. IR spectrum of the synthesized high-intensity nitrogen- and sulfur-containing nickel phthalocyanine pigment (NiSPc)
The IR absorption bands of the synthesized nickel phthalocyanine (NiSPc) pigment revealed the presence of the following vibrational frequencies: A weak intensity stretching vibration corresponding to the aromatic =C–H group was observed at 3048.05 cm⁻¹. Stretching vibrations in the 2594.26–2199.01 cm⁻¹ range indicate the possible presence of functional groups such as N=C=O, S–H, and aliphatic C–H. The characteristic stretching vibrations of the aromatic ring were detected in the 1612.63–1532.10 cm⁻¹ region. At similar frequencies, the presence of C=N bond vibrations was also identified. The stretching vibration of the isoindole ring was observed at 1471.68–1428.17 cm⁻¹. A strong C–N stretching vibration was recorded at 1332.71 cm⁻¹, while a coupled C–H stretching mode appeared at 1289.47 cm⁻¹. Additional isoindole-related vibrations were noted at 1165.19 cm⁻¹ and 1119.62 cm⁻¹ (fully symmetric), along with C–H vibrations at 1088.98 cm⁻¹. Symmetric stretching of the benzene ring was observed at 946.59 cm⁻¹, and deformation vibrations of CH₂ and C–H groups were located at 862.57 cm⁻¹ and 771.57 cm⁻¹, respectively. A significant absorption band at 754.48 cm⁻¹ was attributed to the phthalocyanine ring (Pc) and C–S–C stretching vibrations. Additional C–H out-of-plane deformations appeared at 721.19 cm⁻¹. In the 650–410 cm⁻¹ region, absorption bands indicated the formation of a metal–ligand complex involving nickel atoms coordinated with nitrogen and oxygen atoms. These spectral features confirm the formation of a phthalocyanine-type compound. The characteristic macrocyclic structure, rich in nitrogen-containing aromatic rings, and the coordination of the central nickel ion contribute to the pigment’s distinctive color properties. The excellent chemical stability and high color intensity of phthalocyanine pigments make them suitable for a wide range of applications in dyes, coatings, and industrial pigment formulations.
In conclusion, a high-intensity nickel phthalocyanine pigment containing nitrogen and sulfur was successfully synthesized using phthalic anhydride and urea as key precursors. Experimental studies revealed that the pigment obtained via the thermal synthesis method exhibited higher color intensity but lower yield, whereas the pigment synthesized in a solvent medium demonstrated higher yield but lower intensity. Given that color intensity is a critical parameter in pigment performance, the thermal synthesis route was selected as the preferred method in this research. The synthesized pigment presents a promising opportunity for import substitution by utilizing locally available raw materials, thereby contributing to the domestic production of high-intensity organic pigments for the local market.
Reference:
- Barrett P.A. Phthalocyanines. Part VII. Phthalocyanine as a coordinating group. A general investigation of the metallic derivatives / P. A. Barrett, C. E. Dent, R. P. Linstead // J. Chem. Soc. – 1936. – PP.1719–1736.
- Barrett P.A. Phthalocyanines and associated compounds. Part XIV. Further investigations of metallic derivatives / P. A. Barrett, D. A. Frye, R. P. Linstead // J. Chem. Soc. – 1938. – PP. 1157–1163.
- Yusupov, M., & Kadirkhanov, J. (2023). In E3S Web of Conferences (Vol. 390). EDP Sciences.
- Tomoda H. Synthesis of phthalocyanines from phthalonitrile with organic strong bases. / H. Tomoda, S. Saito, S. Ogawa, S. Shiraishi // Chem. Lett. – 1980. – № 10. – PP. 1277–1280.
- Tomoda H. Synthesis of metallophthalocyanines from phthalonitrile with strong organic bases. / H. Tomoda, S. Saito, S. Shiraishi // Chem. Lett. – 1983. – № 3. – PP. 313–316.
- Wöhrle D. Efficient synthesis of phthalocyanines and related macrocyclic compounds in the presence of organic bases / D. Wöhrle, G. Schnurpfeil, G. Knothe // Dye. Pigm. – 1992. – Vol. 18 – № 2 – 91. – PP. 102.
- Mack J. Low symmetry phthalocyanines and their analogues / J. Mack, N. Kobayashi // Chem. Rev. – 2011. – Vol. 111 – № 2. – PP. 281–321.
- Gürek A.G. Recent Developments of Synthetic Techniques for Porphyrins, Phthalocyanines and Related Systems Springer, 2012. – 47. – PP. 121 .
- M. O. Yusupov, A. M. Nishonov - Universum: chemistry and biology, 2020. – PP. 12–2 (78).
/Yusupov.files/image002.jpg)
/Yusupov.files/image003.jpg)