Master of the Azerbaijan State University of Oil and Industry, Azerbaijan, Baku
ANALYTICAL ANALYSIS FOR FORECASTING THE OIL RECOVERY FACTOR
ABSTRACT
The efficiency of oil recovery plays a vital role in reservoir management; however, research focusing on the theoretical modeling of polymer microspheres (PMs) for controlling reservoir conformance remains relatively scarce. This research introduces a predictive model for oil recovery, grounded in the principles of flow conduit theory. Polymer microspheres contribute to improved sweep efficiency by obstructing pore throats, which in turn increases the displacement coverage within the reservoir.
To quantify this effect on a larger scale, a sweep efficiency equation was derived for a rhombus-shaped inverse nine-spot well configuration. Additionally, vertical sweep efficiency was refined using an adjusted mobility ratio to better reflect actual flow behavior. The accuracy of the proposed model was validated by comparing its predicted oil recovery rate (1.37%) with empirical field data (1.22%).
АННОТАЦИЯ
Эффективность извлечения нефти играет жизненно важную роль в управлении резервуаром; однако исследования, сосредоточенные на теоретическом моделировании полимерных микросфер (ПМ) для контроля соответствия резервуара, остаются относительно редкими. Это исследование представляет прогностическую модель извлечения нефти, основанную на принципах теории потока. Полимерные микросферы способствуют повышению эффективности вытеснения, блокируя поровые каналы, что, в свою очередь, увеличивает охват вытеснения в резервуаре.
Чтобы количественно оценить этот эффект в большем масштабе, было выведено уравнение эффективности вытеснения для ромбовидной конфигурации обратной девятиточечной скважины. Кроме того, вертикальная эффективность вытеснения была уточнена с использованием скорректированного коэффициента подвижности для лучшего отражения фактического поведения потока. Точность предложенной модели была подтверждена путем сравнения ее прогнозируемой скорости извлечения нефти (1,37%) с эмпирическими данными полевых исследований (1,22%).
Keywords: Oil recovery, polymer microspheres (PM), flow conduit theory, sweep efficiency, injection concentration.
Ключевые слова: Добыча нефти, полимерные микросферы (PM), теория потока, концентрация закачки, низкопроницаемые пласты
Introduction
In reservoirs characterized by low permeability and pronounced heterogeneity, water injection performance can be significantly hindered by the irregular nature of the water flooding process [1]. During this process, injected water often channels rapidly through microfractures, bypassing much of the reservoir rock, which leads to a reduction in the duration of stable oil output [2].
The oil recovery factor serves as a fundamental metric for assessing reservoir development effectiveness. Common approaches to estimate this factor involve numerical modeling, laboratory-based studies, empirical correlations, and theoretical derivations [3–4].
Nonetheless, predicting oil production efficiency through numerical simulations becomes challenging when dealing with polymer microsphere (PM)-based profile control. This limitation stems from the inability of current simulation tools to adequately replicate complex enhancement mechanisms such as pore blockage, microsphere deformation, movement through pore networks, and subsequent re-blocking effects.
Regarding laboratory-based approaches, the disparity between the dimensions of core samples and actual reservoir scales, along with the relatively simplistic pore-throat architecture of core materials, leads to significant deviations between lab-derived oil recovery results and those observed under field conditions.
Consequently, developing a predictive oil recovery model requires adherence to the fundamental definition of the oil recovery factor. A theoretical framework built upon this definition provides a solid foundation for both forecasting recovery outcomes and assessing the overall efficiency of reservoir exploitation. This factor is typically influenced by three main components: displacement efficiency, areal sweep efficiency, and vertical sweep efficiency [5].
Displacement efficiency, especially under varying water cut levels, can be estimated through the oil–water relative permeability relationship and the maximum achievable oil displacement. However, the oil recovery enhancement mechanism provided by polymer microspheres (PMs) during water flooding substantially diverges from that of conventional polymer flooding. Unlike polymers, PMs do not improve the mobility ratio; instead, they function by physically blocking pore throats.
Research methodology: As such, the conventional method for calculating vertical sweep efficiency must be revised to accurately reflect the impact of pore-throat obstruction introduced by PMs.
There remains a significant need for targeted research focused on developing a theoretical framework capable of predicting oil recovery during polymer microsphere (PM)-assisted profile control operations. This study seeks to construct a predictive model grounded in the fundamental definition of oil recovery, while incorporating principles from stream tube theory. The core mechanism through which PMs enhance oil recovery is their ability to increase the swept volume by selectively blocking pore throats.
In addition, the study evaluates the model’s applicability and robustness under varying field conditions. The resulting model offers a practical and efficient analytical tool for estimating production outcomes and assessing performance during water flooding involving PMs. It also serves as a strategic aid in refining and optimizing the design of PM injection protocols.
Ultimately, this work addresses a notable research gap by contributing a novel mathematical modeling approach specifically tailored to oil recovery prediction in the context of PM-based profile control.
The stream tube approach postulates that during the water flooding process between injection and production wells, the reservoir’s displacement dynamics can be represented by a set of non-overlapping, idealized flow paths known as stream tubes. These tubes are spatially organized in a regular manner and are considered to function independently and concurrently, with no interaction or mass transfer occurring between them. Each stream tube allows fluid to move solely within its defined boundary.
In the context of polymer microsphere (PM)-assisted profile control, the model simplifies the system by assuming a single representative stream tube connecting the injection and production wells. Within this framework, PMs are presumed to obstruct the larger pore throats along the pathway, thereby redirecting the injected water into previously underutilized smaller channels within the surrounding porous structure.
Research objective: This research primarily aims to assess the influence of polymer microsphere (PM) profile control technology on the oil recovery factor by employing a combination of theoretical modeling and experimental validation. To achieve this, a predictive model grounded in stream tube theory was developed to estimate oil recovery performance. The study thoroughly examines the mechanism by which PMs enhance recovery—namely, by obstructing pore throats, which redirects fluid flow and improves sweep efficiency.
Mathematical formulations were derived to calculate both areal and vertical sweep efficiencies, forming a core part of the model structure. The model’s accuracy and applicability for field-scale implementation were evaluated through comparison with real production data. Overall, the outcomes of this study are intended to enhance the understanding of PM-based profile control mechanisms and to provide practical insights for optimizing water injection strategies in oil reservoirs.
Main part
A search engine refers to an integrated system of software and hardware components designed to retrieve specific information based on user queries. Depending on their operational scope, search engines are generally categorized into three types: those intended for personal computer use, systems tailored for corporate or enterprise-level networks, and large-scale engines designed for searching across the Internet.
During repeated cycles of water injection, the flow of injected fluids gradually reorients along a more direct trajectory toward the production well. As a result, within the zone obstructed by polymer microspheres, the stream tube is typically considered to follow a straight-line configuration. The behavior of injected water in this context is illustrated in Figure 1. Once the fluid traverses the microsphere-blocked region, it no longer diverges or circulates through the formation but proceeds linearly along the path established during earlier water flooding operations.
To account for geometric influences on fluid movement within stream tubes, a shape factor is incorporated into the model. The flow channel between injection and production wells is approximated as a trapezoidal stream tube, the structure of which is depicted in Figure 2.
/Mirzajanov.files/image001.jpg)
Figure 1. Conceptual representation of the oil recovery enhancement process via polymer microspheres
/Mirzajanov.files/image002.jpg)
Figure 2. Stream tube model
Building upon the aforementioned assumptions, multiple stream tubes are constructed between the injection and production wells. Considering the flow dynamics and geometric symmetry inherent to the nine-spot well configuration—illustrated in Figure 3—the displacement unit of this pattern is selected as the fundamental calculation unit for the Areal Waterflooding Geometry (AWG) model.
/Mirzajanov.files/image003.jpg)
Figure 3. Rhombic inverted nine-spot well pattern
/Mirzajanov.files/image004.jpg)
Figure 4. Injection–production unit of the rhombic inverted nine-spot well pattern
/Mirzajanov.files/image005.jpg)
Figure 5. Filtration unit of the rhombic inverted nine-spot well pattern, calculation unit for areal sweep efficiency, and schematic diagram of the stream tube within the calculation unit
Laboratory experiment of PM profile control during the water flooding stage:
/Mirzajanov.files/image006.jpg)
During the PM ınjection phase:
/Mirzajanov.files/image007.jpg)
Equivalent mobility ratio
/Mirzajanov.files/image008.jpg)
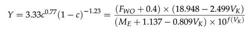
The equation for calculating vertical sweep efficiency is as follows:
/Mirzajanov.files/image009.jpg)
Within the framework of this theoretical model, five primary parameters govern the performance of polymer microsphere flooding: injection duration, injection rate, polymer concentration, total injection volume, and microsphere particle size. These variables play a critical role in determining the effectiveness of both areal and vertical sweep efficiencies throughout the flooding process involving polymer microspheres.
/Mirzajanov.files/image010.jpg)
Conclusion
A comprehensive theoretical model has been established to predict oil recovery outcomes associated with polymer microsphere (PM) profile control techniques. The model systematically evaluates the impact of key operational parameters, including injection duration, rate, concentration, and microsphere size. Its accuracy and practical applicability have been confirmed through comparison with actual field performance data. Based on the research findings, the following conclusions are presented:
- The proposed oil recovery calculation model enables efficient and precise assessment of PM-assisted profile control performance. To improve the estimation of vertical sweep efficiency, an equivalent mobility ratio is incorporated into the model. Additionally, a trapezoidal-shaped stream tube is employed to represent the displacement geometry, facilitating a more accurate determination of areal sweep efficiency following PM injection.
- Extensive sensitivity analyses were performed to investigate the effects of injection duration, rate, concentration, and PM particle size on oil recovery. Results demonstrate that prolonged injection of polymer microspheres with lower concentrations and smaller particle sizes yields more favorable outcomes for enhancing recovery efficiency.
Reference:
- A.Mirzəcanzadə. Z.Əhmədov, R.Qurbanov, Neft layının fizikası, “Maarif” Nəşriyyatı Bakı – 1983.
- Juan, Z. Study on Gas Channeling Pattern and Optimization Method of CO2 Injection in C4 + 5 Oil Reservoir in W Oil Region of Northern. Ph.D. Dissertation, Northwest University, Xi’an, China, 2018.
- Jiayao, L. Study on Secondary Encryption Scheme of CXCY Block in Low Permeability Reservoir. Master’s Dissertation, Northeast Petroleum University, Daqing, China, 2020.
- Yuan, S.; Wang, Q. New Progress and Prospect of Oilfields Development Technologies in China. Pet. Explor. Dev. 2018, 45, 657–668.
- Hu, W.; Wei, Y.; Bao, J. Development of the Theory and Technology for Low Permeability Reservoirs in China. Pet. Explor. Dev. 2018, 45, 646–656.