базовый докторант Самаркандского государственного университета Узбекистан, Узбекистан, г. Самарканд
ОПРЕДЕЛЕНИЕ СОСТАВА КОМПОНЕНТОВ В ФАЗЕ ИОНИТА
АННОТАЦИЯ
С помощью гетерогенной модели строения полимерных сшитых сорбентов исследован состав фазы сильноосновного анионита АРА-5П, находящегося в равновесии с растворами простых электролитов. Эксперименты проведены в цилиндрических ионообменных колонках при постоянстве объёма системы ионит-раствор. Динамическим способом определены количества сорбированной воды и электролитов анионитом. На основе полученных экспериментальных данных, используя формулу гетерофазной модели, были рассчитаны средние коэффициенты активности, активность и моляльность компонентов в фазе анионита. В качестве исследуемых брались растворы хлоридов лития, натрия и калия в широких диапазонах концентраций. На основе экспериментальных данных по сорбции воды и растворов электролитов сильноосновным анионитом АРА-5П доказана адекватность двухфазности модели системы ионит-раствор.
ABSTRACT
Using a heterogeneous model for the structure of cross-linked polymer sorbents, the phase composition of the strongly basic anion exchange resin ARA-5P, in equilibrium with simple electrolyte solutions, was studied. Experiments were conducted in cylindrical ion-exchange columns at a constant volume of the ion exchange resin-solution system. The amounts of water and electrolytes sorbed by the anion exchange resin were determined dynamically. Based on the obtained experimental data and heterophase model formulas, the average activity coefficients, activity, and molality of the components in the anion exchange resin phase were calculated. Lithium, sodium, and potassium chlorides were used as solutions over wide concentration ranges. Based on experimental data on the sorption of water and electrolyte solutions by the strongly basic anion exchange resin ARA-5P, the adequacy of the two-phase nature of the ion exchange resin-solution system model was demonstrated.
Ключевые слова: анионит-АРА-5П, гетерогенная модель, концентрация, активность, коэффициент активности, количество.
Keywords: anionite-ARA-5P, heterogeneous model, concentration, activity, activity coefficient, quantity.
Введение. Синтетические сшитые полиэлектролиты-иониты в настоящее время широко применяются в процессах очистки [1] и деминерализации сточных, природных вод [5; 6; 16], разделения [4; 14] и извлечения [7; 8] ионов редких металлов из смесей, в ходе получения аминокислот в пищевой технологии [9] и биохимии [3; 11]. Однако применение их в области неионообменных процессов до сих пор мало изучено. Поэтому учеными были предложены различные модели [15; 17] строения ионит-раствора, и применен термодинамический подход к равновесию между ионитом и растворами простых электролитов. В работе [12] показана гетерогенная модель строения сшитого полиэлектролита, находящегося в равновесии с раствором простого электролита, а также приведен набор уравнений, позволяющих на основе экспериментальных данных, определить некоторые термодинамические параметры компонентов в фазе ионита.
Теоретическая часть. В данной работе все эксперименты проводились на основе гетерогенной модели строения зерна ионита (рис.1).
/Saidov.files/image001.png)
Рисунок 1. Гетерогенная модель системы ионит-раствор: 1 — матрица ионита; 2 — противоионы ионита; 3 — вода сорбированным ионитом; 4 — электролит сорбированным ионитом; 5 — внешний равновесный раствор [16]
В представленной модели, система ионит-раствор считается двухфазной [10]. В состав такой системы входит раствор сшитого полимера и раствор простого электролита. На основе полученных экспериментальных данных, используя ниже приведенные формулы, модель позволяет определять средние коэффициенты активности, активность, моляльность и количества сорбированных компонентов в фазе ионита.
(1)
(2)
(3)
(4)
где,
–i моляльная концентрация сорбированного электролита в ионите, Kdel– константа межфазового распределения сорбированного электролита,
– средняя молярная коэффициент активности,
-количества сорбированного электролита в ионите, ael va ael- активность электролита соответственно в фазе ионита и равновесного раствора,
– суммарная концентрация раствора.
Экспериментальная часть. Все эксперименты проводились динамическим способом в цилиндрической стеклянной ионообменной колонке высотой 60 мл (рис. 2).
/Saidov.files/image010.png)
Рисунок 2. Стеклянная ионообменная колонка. 1 —фильты, 2 — колпачки, 3 — суспензия анионита АРА-5П, 4 — раствор электролита
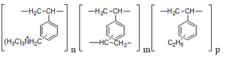
Скорость подачи исследуемого раствора в колонке составляла 1 мл/мин. В опытах использовались растворы хлоридов лития, натрия и калия в различных концентрациях (соответственно от 0,01 н до 6,00 н). Концентрации ионов Li+, Na+, K+ а также хлора в исходных и в исследуемых растворах определяли методами пламенной фотометрии и меркуриметрии [2]. В качестве ионита брали сильноосновной анионит АРА-5П в Cl- форме, обменная ёмкость анионита составляла 52,6 мг-экв. Строение элементарных звеньев анионита показано на рисунке 3.
/Saidov.files/image011.png)
Рисунок 3. Строение анионита АРА-5П
Обсуждение полученных результатов. Проводились эксперименты по исследованию сорбции электролитов и воды в анионите АРА-5П. На основе полученных экспериментальных данных были определены количества сорбированного электролита и воды анионитом. Некоторые полученные результаты приведены на рисунке 4.
/Saidov.files/image012.jpg)
Рисунок 4. Сорбции электролитов анионитом АРА-5П в Cl—форме
Кроме того, рассчитаны средние коэффициенты активности, активность и моляльность компонентов в фазе ионита. Некоторые рассчитанные термодинамические параметры компонентов в фазе ионита приведены в таблицах 1 и 2.
Таблица 1.
Некоторые расчетные величины для системы АРА-5П- KCl – H2O
=0,91
|
T/r |
C,н |
|
|
|
|
|
|
1 |
0,01 |
2,75 |
0,910 |
0,574 |
18,83 |
0,00 |
|
2 |
0,05 |
2,80 |
0,908 |
0,574 |
18,47 |
0,00 |
|
3 |
0,10 |
2,91 |
0,906 |
0,574 |
18,09 |
0,00 |
|
4 |
0,25 |
3,03 |
0,903 |
0,574 |
17,28 |
0,02 |
|
5 |
0,50 |
3,27 |
0,895 |
0,573 |
15,88 |
0,05 |
|
6 |
1,00 |
3,75 |
0,880 |
0,573 |
13,74 |
0,14 |
|
7 |
2,00 |
4,77 |
0,847 |
0,572 |
10,78 |
0,31 |
|
8 |
4,00 |
7,04 |
0,774 |
0,572 |
7,55 |
0,69 |
Таблица 2.
Некоторые расчетные величины для системы АРА-5П- LiCl – H2O
=0,91
|
T/r |
C,н |
|
|
|
|
|
|
1 |
0,05 |
2,25 |
0,910 |
0,970 |
18,60 |
0,00 |
|
2 |
0,10 |
2,27 |
0,908 |
0,972 |
18,10 |
0,00 |
|
3 |
0,25 |
2,40 |
0,906 |
1,00 |
17,70 |
0,012 |
|
4 |
0,50 |
2,52 |
0,899 |
1,030 |
16,45 |
0,05 |
|
5 |
1,00 |
2,86 |
0,882 |
1,119 |
13,60 |
0,17 |
|
6 |
1,50 |
3,26 |
0,859 |
1,230 |
12,00 |
0,32 |
|
7 |
3,00 |
4,50 |
0,774 |
1,800 |
7,90 |
0,65 |
|
8 |
6,00 |
7,62 |
0,582 |
4,310 |
4,65 |
1,40 |
С использованием термодинамических величин, полученных по сорбции электролита и воды анионитом АРА-5П из растворов различных солей, были построены (3D) графики массива поверхности (рис. 5).
/Saidov.files/image022.jpg)
Рисунок 5. Трехмерный массив поверхности процесса сорбции воды из раствора NaCl анионитом АРА-5П
Трехмерный массив поверхности позволяет определить концентрацию сорбированного электролита в фазе ионита, зная количество сорбированной воды и активность растворителя в равновесном растворе.
Выводы. На основе экспериментальных данных по сорбции воды и растворов электролитов сильноосновным анионитом АРА-5П доказана адекватность двухфазности модели системы ионит-раствор. Кроме того, процесс сорбции электролитов анионитами подтверждает взаимодействия гидратированных молекул электролитов с полярными группами ионитов. Причиной такого взаимодействия является образование координационной или водородной связи, а также наличие ван-дер-ваальсовых сил.
Экспериментально доказано, что гидратированная ионная пара, становится компонентом ионита, потому что она связана с функциональной группой анионита.
По рассчитанным данным установлено, что количество сорбированного электролита и воды в фазе ионита зависит от активности воды в равновесном растворе, от ионной формы ионита и от природы электролита.
Список литературы:
- Бежин Н.А, Шибецкая Ю.Г., Разина В.А., Турянский В.А., Милютин В.В., Тананаев И.Г. Сорбционное концентрирование техногенных и природных радионуклидов из морской воды для решения прикладных задач // Материалы XVI Всеросс. науч.-практ. конф. — Воронеж, 2025. — С.44.
- Васильев В.П. Аналитическая химия. — В 2 ч. — Ч.1. Гравиметрический и титриметрический методы анализа. — М.: Высш. шк., 1989. — 320 с.
- Говорова М.В., Беланова Н.А., Стрельникова А.С., Селеменев В.Ф. Сорбционное извлечение β-каротина из растворов // Материалы XVI Всеросс. науч.-практ. конф. — Воронеж, 2025. — С.136.
- Долгоносов А.М., Хамизов Р.Х., Крачак А.Н., Папова И.Г. Явление электрокинетической эксклюзии коионов при нарушении барьера Доннана в ионитах // Сорбционные и хроматографические процессы. — 2025. — Т. 25. — № 4. — С. 464–479.
- Иванов В.А. Хроматография в разделении стабильных изотопов // Сорбционные и хроматографические процессы. — 2023. — Т. 23. — № 4. — С. 456–470.
- Иванов В.А., Хамизов Р.Х. Высокочистые вещества. Ионный обмен. — Ч.1. Глава 5. — Москва, 2018. — 996 с.
- Казначеев М.А., Тихонов Н.А., Хамизов Р.Х. Определение характеристик модели молекулярной сорбции на примере разделения компонентов экстракционной фосфорной кислоты методом «удерживания» на ионите // Журнал физической химии. — 2023. — Т. 97. — № 8. — C. 1161–1166.
- Мухамедиев М.Г., Усманова Х., Бекчанов Д.Ж. Сравнительное изучение адсорбции ионов Cu(II) из водных растворов промышленными ионитами и ионообменными системами на их основе // Сорбционные и хроматографические процессы. — 2025. — Т. 25. — № 4. С. 540–547.
- Староверов С.М., Карасев В.С., Андержанов Р.А., Каламбет Ю.А., Буряк А.К. Ионообменная хроматография белков на новом отечественном хроматографе низкого давления // Материалы XVI Всеросс. науч.-практ. конф. — Воронеж, 2025. — С.27.
- Ферапонтов Н.Б. Горшков В.И., Тробов Х.Т., Парбузина Л.Р. Изучение равновесия ионит - раствор на примере сульфокатионита КУ-2 // Журнал физической химии. — 1994. — Т. 68. — № 6. — C. 1109–1113.
- Ali S.F.A., Gad E.S. Investigation of an adsorbent based on novel starch/ chitosan nanocomposite in extraction of indigo carmine dye from aqueous solutions // Biointerface Research in Applied Chemistry. — 2020. — Vol.10. — P. 5556–5563.
- Ferapontov N., Gorshkov V., Parbuzina L., Trobov H., Strusovskaya N. Heterophase model o swollen crosslinkedpolyelectrolyte // Reactive & Functional Polymers. — 1999. — Vol. 41. — P. 213–225.
- Ferapontov N., Tokmachev M., Trobov H. The Effects of Polymer Properties and Solution Composition on the Distribution, Properties and Amount of Water in Swollen Ion Exchangers // Kolloidnyi Zhurnal. — 2018. — Vol. 80. — № 1. — P.91–95.
- Laatikainena M., Laatikainen K., Heinonena J, Sainio T. Recovery of metal oxoanions from basic solutions using cooperative sorption– Separation of Na2MoO4 and NaOH // Chemical Engineering Journal. — 2018. — P.578–587.
- Nagasawa M. Physical chemistry of polyelectrolyte solutions // Advances in chemical physics. — Vol.158. — John Wiley & Sons, 2015. — P.291
- Savita Bargujar, Geetu Gambhir, Madhu Bala Raigar, Dinesh Kumar, Mamta Bhatia. A new polysaccharide-based ion-exchange resin for industrial wastewater treatment // Рolimery. — 2022. — Vol. 67. — № 5. — Р. 212–219.
- Zagorodni A.A. Ion exchange materials: properties and applications. — Elsevier, 2007. — 478 p.
, моль/кг H2O/Saidov.files/image015.png)
/Saidov.files/image016.png)
, моль/г-экв.пол.гр.
, г-экв/г-экв.пол.гр./Saidov.files/image020.png)
, г-экв/г-экв.пол.гр.