Senior Lecturer, Tashkent Chemical-Technological Institute, Republic of Uzbekistan, Tashkent
A RESOURCE-EFFICIENT APPROACH TO THE PRODUCTION OF BIODEGRADABLE HYDROGELS FROM PAN-BASED CARPET WASTE AND COTTON LINTER FOR ENVIRONMENTALLY FRIENDLY AGRICULTURE
ABSTRACT
The growing accumulation of synthetic textile and agricultural wastes requires the development of sustainable and resource-efficient materials for environmental and agricultural applications. In this study, biodegradable hybrid hydrogels were synthesized from polyacrylonitrile (PAN)-based carpet manufacturing waste and cotton linter using a waste-to-resource approach. PAN fibers were chemically modified by alkaline hydrolysis, resulting in partial conversion of nitrile groups into hydrophilic carboxylate and amide functionalities. Cotton linter, a cellulose-rich and biodegradable agricultural by-product, was incorporated to enhance environmental compatibility and soil interaction. Hybrid hydrogel networks were formed by crosslinking the modified PAN and cellulose chains with different crosslinking agents. The obtained hydrogels exhibited high water absorption capacity (up to ~720 g/g), tunable swelling behavior, and effective soil moisture retention. Soil tests demonstrated a significant reduction in moisture loss and an estimated 25–30% decrease in irrigation demand. The results highlight the potential of PAN–cellulose hybrid hydrogels as eco-friendly soil amendments and demonstrate an effective strategy for simultaneous textile waste valorization and sustainable water management in agriculture.
АННОТАЦИЯ
Накопление синтетических текстильных и сельскохозяйственных отходов требует разработки устойчивых и ресурсосберегающих материалов для экологических и аграрных применений. В данной работе биоразлагаемые гибридные гидрогели были получены из ковровых отходов на основе полиакрилонитрила (ПАН) и хлопкового линтера с использованием подхода «отходы–в ресурс». ПАН-волокна подвергались щелочному гидролизу, что приводило к частичному превращению нитрильных групп в гидрофильные карбоксилатные и амидные функциональные группы. Хлопковый линтер, являющийся целлюлозосодержащим и биоразлагаемым побочным продуктом, вводился для повышения экологической совместимости и взаимодействия с почвой. Сшивка модифицированных цепей ПАН и целлюлозы осуществлялась с использованием различных сшивающих агентов с образованием трёхмерных гидрогелевых сетей. Полученные гидрогели характеризовались высокой водоёмкостью (до ~720 г/г), регулируемыми свойствами набухания и эффективным удержанием влаги в почве. Почвенные испытания показали снижение потерь влаги и сокращение потребности в орошении на 25–30%. Результаты подтверждают перспективность ПАН–целлюлозных гидрогелей как экологически безопасных почвенных добавок и эффективного решения задач переработки отходов и водосбережения в сельском хозяйстве.
Keywords: Biodegradable hydrogels; PAN-based carpet waste; cotton linter; soil amendment; water retention; sustainable agriculture.
Ключевые слова: Биоразлагаемые гидрогели; ПАН-ковровые отходы; хлопковый линтер; удержание влаги; устойчивое сельское хозяйство.
"This research is funded by the Science Committee of the Ministry of Science and Higher Education of the Republic of Kazakhstan (Grant No. BR24993129)."
INTRODUCTION
Uzbekistan is located in a predominantly arid region of Central Asia and is characterized by low annual precipitation, high evaporation rates, and increasing water stress. In many agricultural regions, including the Mirzacho‘l Steppe, average annual rainfall does not exceed 250 mm, and crop production therefore relies heavily on extensive irrigation systems fed by transboundary rivers such as the Amu Darya and Syr Darya. Under such climatic conditions, soil moisture deficiency represents a major limitation for sustainable agricultural productivity. Ongoing climate change trends in the region, including rising temperatures, increased frequency of droughts, and declining water availability, are expected to further exacerbate land degradation and desertification processes [1]. These changes pose serious challenges to agricultural water supply and threaten long-term food security, making the development of effective water-saving technologies a national priority.
Hydrogels are three-dimensional crosslinked polymer networks capable of absorbing and retaining large quantities of water due to the presence of hydrophilic functional groups within their structure [2,3]. When incorporated into soil, hydrogels act as micro-reservoirs, improving soil water-holding capacity, reducing irrigation frequency, and mitigating drought stress in crops, particularly in arid and semi-arid regions [3,4]. Consequently, superabsorbent hydrogels have attracted considerable attention as soil conditioners for agricultural water management.
However, most commercially available superabsorbent polymers are synthesized from petroleum-based monomers and exhibit limited biodegradability, raising concerns regarding their long-term accumulation in soil and potential environmental risks [4,5]. These limitations have stimulated growing interest in the development of biodegradable and environmentally friendly hydrogel systems derived from renewable or waste-based raw materials.
Cellulose is the most abundant natural polymer and is widely recognized for its renewability, biodegradability, non-toxicity, and strong hydrophilicity resulting from multiple hydroxyl groups in its molecular structure [6]. Cellulose-based hydrogels have demonstrated promising performance in agricultural applications, combining effective water retention with environmental compatibility [6,7]. Among various cellulose sources, cotton linter—an abundant by-product of the cotton processing industry composed primarily of repeating (C₆H₁₀O₅)n units—has gained increasing attention as a low-cost and sustainable precursor for hydrogel synthesis [7].
At the same time, the textile industry generates large volumes of synthetic polymer waste, particularly polyacrylonitrile (PAN)-based carpet manufacturing residues, which pose serious environmental disposal challenges due to their resistance to biodegradation [8,9]. Recent studies have shown that chemical modification of PAN through alkaline hydrolysis of nitrile (–CN) groups into hydrophilic carboxylate (–COO⁻) and amide (–CONH₂) functionalities significantly enhances its water affinity and reactivity, enabling its application in hydrogel systems [8,9].
The main objective of this study is to design resource-efficient PAN–cellulose hybrid hydrogel networks through the valorization of textile and agricultural wastes, and to evaluate their swelling behavior, soil moisture retention, and biodegradability for addressing water scarcity in arid agricultural regions such as Uzbekistan.
MATERIALS AND METHODS
Polyacrylonitrile (PAN)-based carpet manufacturing waste (nitron fiber) was obtained from local carpet production residues in Tashkent, Uzbekistan, and mechanically shredded using a laboratory cutting mill to an average fiber length of 3–5 mm. Cotton linter, used as a natural cellulose source, was supplied by a local cotton processing facility and contained more than 95% cellulose with a repeating unit of (C₆H₁₀O₅)n. Sodium hydroxide (NaOH), ammonium persulfate (APS), N,N′-methylenebisacrylamide (MBAA), epichlorohydrin (ECH), citric acid (CA), and glutaraldehyde (GA) were of analytical grade and used without further purification. Distilled water was used throughout all experiments.
All experimental procedures were carried out during 2023–2024 in the Polymer Materials and Environmental Technologies Laboratory of the Tashkent Chemical-Technological Institute (Tashkent, Uzbekistan).
Alkaline hydrolysis of PAN fibers
To introduce hydrophilic functional groups, PAN carpet waste was subjected to alkaline hydrolysis following established procedures reported in the literature [8,9]. Shredded PAN fibers were treated with a 2.0 M NaOH aqueous solution at a solid-to-liquid ratio of 1:20 (w/v) in a thermostated glass reactor equipped with a mechanical stirrer. The suspension was heated at 85 °C under continuous stirring (300 rpm) for 3 h using a laboratory hot plate with temperature control. During this process, nitrile (–CN) groups were partially converted into carboxylate (–COO⁻) and amide (–CONH₂) functionalities. After hydrolysis, the fibers were repeatedly washed with distilled water until neutral pH was reached and then dried in a convection oven at 60 °C to constant weight.
Preparation of PAN–cellulose hybrid hydrogels
Cotton linter was dispersed in distilled water at a concentration of 2 wt% and stirred at 80 °C for 1 h using a magnetic stirrer to obtain a homogeneous cellulose suspension, according to previously reported cellulose dispersion methods [6,7]. The hydrolyzed PAN fibers were then combined with the cellulose suspension at a PAN-to-cellulose mass ratio of 70:30.
Free-radical crosslinking was initiated by ammonium persulfate (APS, 1 wt% relative to total polymer content). Different crosslinking agents—MBAA, ECH, CA, and GA—were introduced in appropriate concentrations to form three-dimensional hybrid hydrogel networks, following procedures adapted from literature sources [2,3,8]. The reactions were carried out under controlled temperature (60–80 °C) and pH conditions, depending on the type of crosslinker used.
Drying and characterization
After completion of the crosslinking reactions, the resulting hydrogels were thoroughly washed with distilled water to remove unreacted reagents and soluble by-products. The samples were then dried at 50–60 °C to constant weight.
Water absorption capacity was evaluated gravimetrically by measuring the swelling of dried hydrogel samples in distilled water at room temperature, following standard hydrogel swelling protocols [2,3]. Soil moisture retention performance was assessed by incorporating dried hydrogels into soil samples and monitoring moisture content over time under controlled laboratory conditions, as described in previous agricultural hydrogel studies [3,4].
RESULTS AND DISCUSSION
The synthesis of hybrid hydrogels based on hydrolyzed PAN carpet waste and cotton linter was successfully achieved using different crosslinking agents and their varying concentrations. All prepared systems formed stable three-dimensional networks, confirming the effectiveness of combining chemically modified synthetic waste with a natural biodegradable polymer. The composition of the hydrogels and the applied crosslinking conditions are summarized in Table 1.
Table 1.
Composition and swelling performance of PAN–cellulose hybrid hydrogels
|
Sample |
Crosslinker |
PAN:Cellulose |
Swelling (g/g) |
|
H–CA |
CA |
70:30 |
720 ± 30 |
|
H–ECH |
ECH |
70:30 |
700 ± 25 |
|
H–MBAA |
MBAA |
70:30 |
630 ± 20 |
|
H–GA |
GA |
70:30 |
520 ± 15 |
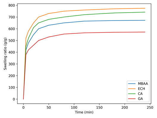
Swelling Kinetics and Network Formation
Figure 1 presents the swelling kinetics of PAN–cellulose hybrid hydrogels crosslinked with different agents. All hydrogels exhibited rapid water uptake within the first 0.5–1 h, followed by a gradual approach to equilibrium, indicating diffusion-controlled swelling behavior.
The equilibrium swelling ratios showed a strong dependence on the type of crosslinker. Citric-acid-crosslinked hydrogels reached the highest swelling values of approximately 650–740 g/g, which can be attributed to their relatively low crosslinking density and the presence of multiple hydrophilic carboxyl groups. Epichlorohydrin-crosslinked hydrogels exhibited slightly lower but still high swelling capacities in the range of approximately 675–725 g/g, reflecting a balanced network structure with sufficient flexibility. In contrast, MBAA-crosslinked hydrogels demonstrated moderate swelling (600–670 g/g) due to the formation of dense covalent crosslinks, while glutaraldehyde-crosslinked hydrogels showed the lowest swelling capacity (500–570 g/g) as a result of their rigid acetal-linked network.
These results clearly indicate that decreasing crosslinking density and increasing hydrophilic functionality enhance the swelling performance of the hybrid hydrogels.
/Eshburiev.files/image001.png)
Figure 1. Swelling kinetics of PAN–cellulose hydrogels crosslinked with different agents
Equilibrium Swelling Comparison
/Eshburiev.files/image002.png)
Figure 2. Equilibrium swelling capacity of PAN–cellulose hydrogels prepared with different crosslinkers
The comparative equilibrium swelling data summarized in Figure 2 further highlight the influence of crosslinker chemistry. The maximum equilibrium swelling values followed the order:
CA (≈720 g/g) > ECH (≈700 g/g) > MBAA (≈630 g/g) > GA (≈520 g/g).
Citric acid produced the most loosely crosslinked network, allowing extensive chain expansion and water penetration. Epichlorohydrin provided an intermediate swelling level due to ether linkage formation between cellulose hydroxyl groups and hydrolyzed PAN chains. MBAA resulted in a more compact network structure, while glutaraldehyde produced the most restricted network, limiting water uptake.
This trend confirms that crosslinker selection is a key parameter for tailoring hydrogel swelling behavior for agricultural applications.
Soil Moisture Retention Performance
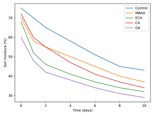
Figure 3 illustrates the soil moisture retention performance of hydrogel-amended soils over a 10-day period. Compared to the control soil, which lost moisture rapidly from ≈75% to ≈43%, all hydrogel-treated soils exhibited significantly improved moisture retention.
/Eshburiev.files/image003.png)
Figure 3. Soil moisture retention performance of hydrogel-amended soils compared to control soil
Soils containing citric-acid-crosslinked hydrogels maintained water content above ≈55% after 2 days and ≈34% after 10 days, demonstrating superior water-holding capacity. Epichlorohydrin-based hydrogels showed comparable performance, retaining ≈52% moisture at day 1 and ≈32% at day 10. MBAA-crosslinked hydrogels exhibited moderate retention (≈37% at day 10), whereas glutaraldehyde-based hydrogels showed the least improvement due to their lower swelling capacity. Overall, the use of CA- and ECH-crosslinked hydrogels resulted in an estimated 25–30% reduction in irrigation demand, highlighting their strong potential for water-saving agricultural practices.
Biodegradability under Soil Burial Conditions
The biodegradability of the hydrogels, evaluated by weight loss under soil burial conditions (Figure 4), revealed distinct degradation behaviors depending on crosslinker type. MBAA-crosslinked hydrogels exhibited the highest weight loss, reaching ≈69% during the initial stage of soil burial (12 days), followed by epichlorohydrin-crosslinked samples (≈58%). Citric-acid-crosslinked hydrogels showed moderate biodegradation (≈48%), while glutaraldehyde-crosslinked hydrogels displayed minimal weight loss (≈8%), indicating high structural stability.
/Eshburiev.files/image004.png)
Figure 4. Biodegradability of PAN–cellulose hydrogels under soil burial conditions
The enhanced biodegradability of CA- and ECH-crosslinked hydrogels can be attributed to the presence of ester and ether linkages, which are more susceptible to hydrolytic and microbial degradation in soil environments. In contrast, the rigid acetal network formed by glutaraldehyde resists degradation.
Implications for Sustainable Agriculture
The results clearly demonstrate that hybrid hydrogels synthesized from PAN-based carpet waste and cotton linter effectively improve water absorption and soil moisture retention. The ability to tune hydrogel properties by selecting appropriate crosslinkers and concentrations allows adaptation to specific soil and crop requirements. Importantly, the utilization of textile and agricultural waste materials supports a waste-to-resource strategy and aligns with principles of sustainable and circular agriculture, particularly relevant for arid regions such as Uzbekistan.
CONCLUSIONS
In this study, hybrid biodegradable hydrogels based on hydrolyzed PAN-based carpet waste and cotton linter were successfully synthesized using a resource-efficient waste-to-resource approach. The results demonstrated that:
- Alkaline hydrolysis effectively converted PAN fibers into hydrophilic precursors suitable for hydrogel formation.
- The type of crosslinking agent had a decisive influence on swelling capacity, soil moisture retention, and biodegradability.
- Citric acid and epichlorohydrin crosslinked hydrogels exhibited the highest water absorption (up to ~720 g/g) and superior soil moisture retention.
- Incorporation of cotton linter enhanced biodegradability and environmental compatibility of the hybrid networks.
- The developed hydrogels reduced soil moisture loss, enabling a potential 25–30% reduction in irrigation demand.
Overall, PAN–cellulose hybrid hydrogels represent promising eco-friendly soil conditioners for water-saving agriculture in arid and semi-arid regions.
References:
- FAO. Water stress and agriculture in Central Asia: Implications for irrigation and food security. Agricultural Water Management, 2021, vol. 243, 106492.
DOI: 10.1016/j.agwat.2020.106492 - Ahmed E.M. Hydrogel: Preparation, characterization, and applications — A review. Journal of Advanced Research, 2015, vol. 6, no. 2, pp. 105–121. DOI: 10.1016/j.jare.2013.07.006
- Guilherme M.R., Aouada F.A., Fajardo A.R., et al. Superabsorbent hydrogels based on polysaccharides for application in agriculture as soil conditioner and nutrient carrier: A review. European Polymer Journal, 2015, vol. 72, pp. 365–385. DOI: 10.1016/j.eurpolymj.2015.04.017
- Li X., Chen S., Hu W., et al. Superabsorbent polymers for agricultural water management: A review. Carbohydrate Polymers, 2014, vol. 101, pp. 222–236.
DOI: 10.1016/j.carbpol.2013.09.061 - Kabiri K., Omidian H., Zohuriaan-Mehr M.J., Doroudiani S. Superabsorbent hydrogel composites and nanocomposites: A review. Polymers for Advanced Technologies, 2011, vol. 22, no. 12, pp. 1999–2011. DOI: 10.1002/pat.1731
- Wu C., Li J., Zhang Y., et al. Cellulose dissolution, modification, and the derived hydrogel: A review. ChemSusChem, 2023, vol. 16, e202300518.
DOI: 10.1002/cssc.202300518 - Jirawitchalert S., Hsu Y.-I., Chen Y.-L., et al. Cotton cellulose-based hydrogels and composites: Preparation and agricultural applications. International Journal of Biological Macromolecules, 2022, vol. 209, pp. 1780–1792. DOI: 10.1016/j.ijbiomac.2022.03.113
- Pérez-Álvarez L., Ruiz-Rubio L., Lizundia E., et al. Tailoring the properties of poly(acrylonitrile) by alkaline hydrolysis: From fibers to hydrogels. Polymers, 2019, vol. 11, no. 4, 642. DOI: 10.3390/polym11040642
- Jassal M., Ghosh S., Arora S. Alkaline hydrolysis of poly(acrylonitrile) fibers and its effect on hydrophilicity. Journal of Applied Polymer Science, 2014, vol. 131, no. 21. DOI: 10.1002/app.41029