соискатель, Ташкентский химико-технологический институт, Республика Узбекистан, г. Ташкент
ИССЛЕДОВАНИЕ ВЫДЕЛЕНИЯ ОРГАНИЧЕСКИХ УГЛЕВОДОРОДОВ И ИОНОВ МЕТАЛЛОВ МОДИФИЦИРОВАННЫМИ АДСОРБЕНТАМИ
АННОТАЦИЯ
В работе исследованы адсорбционные свойства выделения ионов Cu(II), Ni(II), Co(II), Cr(VI) и некоторых ароматических углеводородов, таких как бензола и толуола с модифицированными каолиновыми адсорбентами марки АКС-30, АКС-70, а также бентонитами. На основании результатов опытов определены кинетические и термодинамические параметры процесса сорбции ионов металлов и паров бензола, толуола. Для определения термодинамических параметров построены изотермы адсорбции ионов металлов из сточных вод с модифицированными адсорбентами. По методу Фрейндлиха найдено, что ионы адсорбируются в этих адсорбентах в количестве от 0,168 до 0,288 мг/гр. Выявлено, что все термодинамические величины имеют отрицательный знак, что свидетельствует о самопроизвольности и экзотермичности процесса.
ABSTRACT
This study investigated the adsorption properties of Cu(II), Ni(II), Co(II), Cr(VI) ions and some aromatic hydrocarbons, such as benzene and toluene, using modified kaolin adsorbents of the AKS-30 and AKS-70 brands, as well as bentonites. Based on the experimental results, the kinetic and thermodynamic parameters of the sorption process of metal ions and benzene and toluene vapors were determined. To determine the thermodynamic parameters, adsorption isotherms of metal ions from wastewater using the modified adsorbents were constructed. Using the Freundlich method, it was found that ions are adsorbed in these adsorbents in amounts ranging from 0.168 to 0.288 mg/g. All thermodynamic quantities were found to be negative, indicating a spontaneous and exothermic process.
Ключевые слова: ангренский каолин, бентонит, модификация, ионы металлов, бензол, толуол, изотерма адсорбции, метод Фрейндлиха, кинетика и термодинамика адсорбции.
Keywords: Angren kaolin, bentonite, modification, metal ions, benzene, toluene, adsorption isotherm, Freundlich method, kinetics and thermodynamics of adsorption.
Введение. На сегодняшний день в мире ведутся исследования по разработке новых сорбентов и модификации их при различных средах с заданными физико-химическими и эксплуатационными свойствами [2; 3; 5]. Наряду с этим для извлечения ионов различных цветных металлов и нефтепродуктов из сточных вод, а также для обессоливания водных ресурсов, постепенно увеличивается потребность в сорбентах. Несмотря на широкие возможности по разработке таких материалов, синтез сорбентов с низкой себестоимостью, а также удобство в использовании и экологичности остаются актуальными производственными задачами [1; 4; 6]. В связи с этим нами исследованы адсорбционные свойства ионов Cu, Ni, Co, Cr и паров ароматических углеводородов, таких как бензола и толуола с применением модифицированных каолиновыми адсорбентами марки АКС-30, АКС-70 Ангренского месторождения, а также Навбахорского бентонита (Узбекистан) [1].
Методика исследования. Для определения химического состава Ангренских каолинов АКС-30 и АКС-70 при температуре 300оС применен оптико-плазменный эмиссионный спектрофотометр «JCPE 9820» (фирма Shimadzu). Минералогический состав образцов приведен на таблице 1.
Таблица 1.
Минералогический состав Ангренских каолинов
|
Вещества |
SiO2 |
Al2O3 |
H2О |
Fe2O3 |
Na2O |
CaО |
MgO |
K2O |
TiO2 |
P2O5 |
MnO |
Cr2O3 |
|
Содержа-ние, % |
511,18 |
15,75 |
14,8 |
8,70 |
2,91 |
1,58 |
2,16 |
1,17 |
1,12 |
0,17 |
0,070 |
0,035 |
При исследовании адсорбции на модифицированных адсорбентах и при практическом использовании методов адсорбции органических веществ из различных растворов не меньшее значение имеет оценка и учет пористой структуры модифицированных адсорбентов.
Все адсорбенты по характеру пористости подразделены на четыре типа: непористые, однородно-крупнопористые, однородно-мелкопористые и неодроднопористые. Только непористые и однородно-крупнопористые адсорбенты могут быть достаточно полно охарактеризованы удельной поверхностью и только для них могут быть вычислены абсолютные изотермы адсорбции, где величина адсорбции отнесена к единице поверхности. Пористую структуру модифицированных адсорбентов для адсорбции растворённых органических веществ по значению заполнения степени объёма адсорбционного пространства микропор определяют дифференциальной молярной работой (
адсорбции по уравнению:
(1),
где
G — уменьшение энергии Гиббса (свободной энергии), который равен
(2),
здесь, Е-параметр функции распределения, т.е. характеристическая энергия адсорбции, — степень заполнения адсорбционной фазы, равная
— целое число, преимущественно 1,2,3; P — равновесное давление; Рs — давление насыщенного пара; а — удельная адсорбция.
Для постоянного сохранения стабильности гомогенных свойств адсорбентов в их состав добавляли до 1,0 % парафин и госсиполовую смолу. Содержание модифицированных каолиновых адсорбентов АКС-30 и АКС-70 равнялось количеству от 1,0 г до 2,5 г. Температуру экспериментов изменяли в интервале 293–333 К, время продолжительности контакта фаз в процессе адсорбции было равно от 5 до 100 мин., скорость перемешивания фаз — 50–300 об/мин.
Результаты и их обсуждение. На основе проведенных опытов определена адсорбционная эффективность сорбции паров бензола с модифицированными АКС-30 и АКС-70 в кислотной среде в зависимости от скорости перемешивания (рис.1 и 2) и температуры процесса (рис. 3 и 4.).
При этом эффективность адсорбции бензола с АКС-30 составлял 92–95 %, а с АКС-70 был равен 80–82 %. Эти значения выше на 20–35 %, чем при использовании немодифицированных адсорбентов. Влияние скорости перемешивания является важным параметром процесса адсорбции, поскольку оно создает большие возможности для адсорбции адсорбента из раствора на внешнюю поверхность.
|
Рисунок 1. Адсорбция паров бензола на активированном АКС-30 (2), АКС-70 (3) и неактивированном каолине (1) в кислой среде.
|
Рисунок 2. Влияние температуры на адсорбцию паров бензола на акти-вированных каолинах АКС-30 (2), АКС-70 (3) и неактивных АКС-30 (1). |
|
Рисунок 3. Изотермы адсорбции ионов толуола на активированном адсор-бенте АКС-30: 1-293К, 2-298К, 3-313К. |
Рисунок 4. Изотермы адсорбции ионов толуола на активированном адсорбенте АКС-70: 1-293К, 2-298К, 3-313К. |
Эксперименты проводились при скоростях перемешивания в диапазоне 100–300 об/мин и было замечено, что эффективность адсорбции первоначально становилась больше с увеличением скорости вращения используемых адсорбентов и достигала максимального значения при 150–180 об/мин, а затем эффективность адсорбции снижалась. Такая ситуация, т. е. снижение эффективности при высоких значениях скорости перемешивания, может быть связана с возникновением десорбции (с образованием турбулентного потока). Для оценки пористости модифицированных адсорбентов АКС-30, АКС-70 и Навбахорского бентонита проведена адсорбция паров бензола, а также ионов меди, никеля в изотермических условиях (рис. 5 и 6.)
|
Рисунок 5. Изотермы адсорбции паров бензола на модифициро-ванных АКС-30 (1), АКС-70 (2) и бентоните (3). |
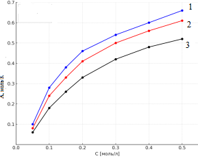
Рисунок 6. Изотермы сорбции меди (II) на модифицированном АКС-30 при раз-личных температурах: 1, 1′ - 25°C; 2, 2′ - 30°C; 3, 3′ - 40°C. |
Найденные на основании изотермы адсорбции паров бензола и ионов металлов показывают, что модифицированные в кислой среде адсорбенты являются пористым материалом и имеют высокую удельную поверхность (39,85–51,24м2/гр.). По среднему размеру пор (rср.=18,9Å) модифицированных сорбентов рассматриваемые вещества можно отнести к мезопористым материалам.
Для определения термодинамических параметров сорбций ионов меди (II), никеля (II), кобальта (II) и хрома (VI) сорбентом АКС-30 и АКС-70 были построены изотермы сорбции при температурах 298–313 К. Термодинамические функции процесса сорбции ионов приведенных металлов с АКС-30 и АКС-70 были определены с использованием графического метода: из зависимости констант равновесия от температуры построением графика
G=f(T) и по формуле
К. При этом с учетом небольшого диапазона изменения температуры можно пренебречь зависимостью энтальпии реакции от температуры. Используя найденное графическим методом значение
G, рассчитывали значение энтропии
.
|
Рисунок 7. Зависимость ΔG от темпера-туры для процесса сорбции меди (II) (1), Ni (II) (2), Co (II) (3) и Cr (VI) (4) сорбентом АКС-30. |
Рисунок 8. Зависимость ΔG от тем-пературы для процесса сорбции меди (II) (1), Ni(II) (2), Co(II) (3) и Cr (VI) (4) сорбентом АКС-70. |
Найденные все термодинамические параметры имеют отрицательный знак. Известно, что при отрицательных значениях свободная энергия (
G) протекает самопроизвольно. Характер энтальпии процесса (
H) позволяет предполагать об экзотермичности процесса сорбции. Отрицательный знак изменения энтропии процесса (
S), по-видимому, объясняется двумя факторами: 1) поскольку процесс носит экзотермический характер, выделением теплоты с точки зрения термодинамики энтропия уменьшается; 2) увеличением степени упорядоченности на фазе сорбента вследствие поглощения ионов металлов.
Заключение. По результатам проведенных исследований установлено, что модифицированный ангренский каолин в кислой среде способен адсорбировать ионы бензола до 92–95 % с АКС-30, до 80–82 % с АКС-70 и толуола до 90–93 % и 81–85 % соответственно.
Также показана эффективность применения модифицированных бентонитовых сорбентов Навбахорского месторождения, ионов бензола и толуола, причем в таких условиях температура процесса находится в диапазоне 298–313 К, время взаимодействия реагентов 5–60 минут, скорость их перемешивания 150–180 об/мин., а количество адсорбентов — 1,5–2,5гр.
Список литературы:
- Бобоев О.О., Нуруллаев Ш.П. Изотерма и теплота адсорбции паров бензола и толуола модифицированных каолиновых адсорбентов // Universum: Химия и биология. — 2025. — №12 (138). — Ч. 3. — 2025. — С. 68–72.
- Исмаилов А.А., Маматов А.М., Нуруллаев Ш.П., Атауллаев Ш.Н., Алихонова З.С. Ингибирование процесса коррозии сталей и образование отложений минеральных солей // Universum: Технические науки: науч. журн. — 2024. — № 3 (120). — Ч. 5. — С. 37–43.
- Исмаилов А.А., Маматов А.М., Рузметов И., Нуруллаев Ш.П., Алихонова З.С., Саидмирзаева Д.Б. Композиционный сорбент с магнитными свойствами на основе отходов роторного шлака и древесных волокон // Universum: Технические науки: науч. журн. — 2024. — № 3 (120). — Ч. 5. — С. 31–36.
- Убайдуллаев С.А., Бобоев О.О., Хандамова Д.К., Нуруллаев Ш.П., Алихонова З.С. Adsorption of certain anions and cations in water resources using a modified local kaolin sorbent // Universum: Химия и биология. — 2025. — № 11 (137). — Ч. 4. — С. 29–36.
- Усаров О.Б., Хандамова Д.К., Бобоев О.О., Нуруллаев Ш.П., Алихонова З.С. Анализ термической стабильности модифицированных адсорбентов // Интеграция современных физико-химических методов исследования в науку и производство: сб. ст. конф. (с участием иностранных ученых). Национальный университет Узбекистана. — 2025. — С. 214–216.
- Усаров О.Б., Хандамова Д.К., Бобоев О.О., Нуруллаев Ш.П., Алихонова З.С. Анализ термического сопротивления модифицированных ад-сорбентов // Вестник ОшГПУ имени А. Мырсабекова: науч.-метод. журн. — 2025. — № 2 (26). — Т. 2.— С. 158–162.
/Buriev.files/image006.png)
/Buriev.files/image007.png)
/Buriev.files/image008.png)
/Buriev.files/image009.png)
/Buriev.files/image010.png)
/Buriev.files/image011.png)
/Buriev.files/image014.png)
/Buriev.files/image015.png)