д-р филос. по хим., Каршинский государственный университет, Республика Узбекистана, г. Карши
СИНТЕЗ, СТРУКТУРНАЯ ХАРАКТЕРИЗАЦИЯ И ОЦЕНКА БИОЛОГИЧЕСКОЙ АКТИВНОСТИ БИОАКТИВНЫХ ЧЕТВЕРТИЧНЫХ АММОНИЕВЫХ СОЛЕЙ НА ОСНОВЕ ПРОИЗВОДНЫХ МОРФОЛИНА
АННОТАЦИЯ
В данной работе представлены результаты синтеза новых четвертичных аммониевых солей на основе морфолина и его алкилпроизводных, полученных посредством реакции кватернизации N-алкилированных морфолинов этиловым эфиром монохлоруксусной кислоты. Оптимальные условия синтеза были определены на основании исследования влияния температуры и стехиометрического соотношения реагентов на выход целевого продукта. Показано, что максимальный выход (95–99 %) достигается при молярном отношении N-алкилморфолин : ClCH₂COOR = 1 : 2.0–2.1 и температуре 100–110 °C. Установлено, что дальнейшее увеличение концентрации алкилирующего агента или повышение температуры выше 120–130 °C приводит к снижению выхода вследствие побочных процессов, связанных с разложением четвертичных аммониевых солей (механизм Гофмана). Структура синтезированных соединений подтверждена современными физико-химическими методами анализа: ИК-, ¹H и ¹³C ЯМР-спектроскопией, а также масс-спектрометрией высокого разрешения (Q-TOF-MS). Исследование образцов также включало определение температуры плавления и изучение спектроскопических характеристик. Полученные данные свидетельствуют о перспективности синтезированных солей морфолиния для дальнейшего изучения их поверхностно-активных, мембранотропных и биоцидных свойств.
ABSTRACT
This work presents the results of the synthesis of novel quaternary ammonium salts based on morpholine and its alkyl derivatives obtained via the quaternization reaction of N-alkylated morpholines with ethyl ester of monochloroacetic acid. Optimal synthesis conditions were determined by evaluating the influence of temperature and stoichiometric ratios of reactants on the yield of the target products. It was demonstrated that the maximum yield (95–99%) is achieved at a molar ratio of N-alkylmorpholine : ClCH₂COOR = 1 : 2.0–2.1 and a temperature of 100–110 °C. Further increases in the concentration of the alkylating agent or temperature above 120–130 °C led to a reduction in product yield due to side reactions associated with Hoffman degradation of quaternary ammonium salts. The structures of the synthesized compounds were confirmed by modern physicochemical analytical techniques including IR spectroscopy, 1𝐻 and 13C NMR spectroscopy, and high-resolution mass spectrometry (Q-TOF-MS). Additional analyses included melting point determination and investigation of spectroscopic characteristics. The experimental results indicate the high potential of the synthesized morpholinium salts for further exploration of their surface-active, membranotropic, and biocidal properties.
Ключевые слова: производные морфолина; четвертичные аммониевые соли; реакция кватернизации; эфиры монохлоруксусной кислоты; N-алкиломорфолины; оптимальные условия реакции; реакция алкилирования; разложение по Гофману; кинетика реакции; стехиометрическое соотношение; псевдопервый порядок; ИК-спектр; 1H и 13C ЯМР; Q-TOF-MS; физико-химические свойства; мембранная активность; селективность; степень конверсии.
Keywords: Morpholine derivatives; quaternary ammonium salts; quaternization reaction; ethyl esters of monochloroacetic acid; N-alkylmorpholines; optimal reaction conditions; alkylation reaction; Hofmann degradation; reaction kinetics; stoichiometric ratio; pseudo-first-order conditions; IR spectrum; 1H and 13C NMR; Q-TOF-MS; physicochemical properties; membrane activity; selectivity; conversion degree.
Введение
В настоящее время борьба с инфекционными заболеваниями является серьезной проблемой для систем здравоохранения во всем мире. [1] Согласно статистическим данным, представленным в литературе, существующие антибиотики и антисептики быстро теряют эффективность из-за развития устойчивости у бактерий. [2-3] С момента введения Домагком в 1935 году [3], четвертичные аммониевые соли (ЧАС) стали одними из наиболее широко применяемых и эффективных дезинфицирующих средств во всем мире. [4]
В целом, ЧАС содержат четыре алкильные, арилические или гетероциклические группы, соединенные с атомом азота (см. Рисунок 1), и классифицируются на одно-, би- и многоэлектролитные виды в зависимости от общего количества зарядов. Природа функциональных групп, связанных с атомом азота, и количество зарядов определяют физико-химические свойства ЧАС, их антимикробную активность и токсичность. [5-6]
К широко применяемым моно-ЧАС относятся бензалкония хлорид, цетилпиридиний хлорид, цетилтриметиламмония хлорид (см. Рисунок 1). [7-8]
Что касается механизма их действия, положительно заряженные молекулы ЧАС обычно вступают в электростатическое взаимодействие с отрицательно заряженной поверхностью бактериальной мембраны и проникают в клеточную стенку. Этот процесс усиливается за счет близости длинной липофильной цепи ЧАС к мембране (см. Рисунок 2), что в конечном итоге приводит к нарушению клеточных функций и гибели бактерий. [9]
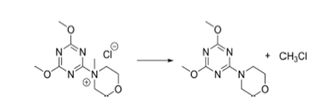
/Borikhonov.files/image001.png)
Рисунок 1. Реакция деметилирования 4-(4,6-диалкси[1,3,5]триазин-2-ил)-4-метилморфолиния хлорида
Рисунок 2. Схема реакции и химическая структура морфолина с четвертичной аммониевой солью (ЧАС), синтезированной на основе экспериментов
Материалы и методы исследования.
Для определения физико-химических свойств синтезированных соединений были использованы современные физико-химические и инструментальные методы анализа. Инфракрасные (ИК) спектры получены на спектрометре Perkin-Elmer FT-IR System 2000 в таблетках KBr.
¹H и ¹³C ЯМР-спектры записаны на спектрометрах Unity-400+ (рабочая частота 400 МГц) и Jeol-600 (рабочая частота 600 МГц) с использованием тетраметилсилана (ГМДС) в качестве внутреннего стандарта и δ-шкалы; в качестве растворителей применялись дейтерированные CD₃COOD и DMSO-d₆.
Температура плавления синтезированных соединений определялась на приборе “MEL-TEMP” (США). Для проведения синтеза использовалась химическая посуда из термо- и механически прочного прозрачного боросиликатного стекла (BorSilicatium 3.3).
ИК-спектры были зарегистрированы на спектрофотометрах SPECORD-75IR и Avatar 360 в виде таблеток KBr.
На рисунке 1 представлены ИК-спектры хитозана и четвертичной аммониевой соли, полученной в результате взаимодействия хитозана с четвертичной аммониевой солью пиридина.
Основное направление данного исследования заключается в получении новых четвертичных аммониевых солей посредством кватернизации морфолина и его производных, изучении механизма синтеза и оптимальных условий проведения реакции, а также всестороннем исследовании физико-химических и биологических свойств полученных соединений. В рамках работы были определены влияние электронных и стерических свойств морфолинового ядра на реакционную способность четвертичного аммониевого центра, распределение заряда, гидрофобно-гидрофильный баланс и механизмы взаимодействия соединений с мембраной.
Для синтеза четвертичных аммониевых солей были проведены реакции кватернизации эфиров монохлоруксусной кислоты с N-бутилморфолином в спиртовой среде при оптимальных условиях, определённых в предыдущем разделе. Однако по сравнению с предыдущими опытами было установлено, что данные реакции протекают при относительно более высоких температурах.
Процессы реакции проверялись при различных температурах: первоначально при 60–70 °C максимальный выход продукта составлял 70 %. При увеличении температуры до 100–110 °C эффективность синтеза возрастала, обеспечивая оптимальные условия. Повышение температуры выше 120–130 °C, напротив, приводило к снижению выхода продукта.
Данное явление объясняется разложением четвертичных морфолиниевых аммониевых солей по механизму Хоффмана при высокой температуре. Действительно, в интервале 120–130 °C в реакционной смеси наблюдалось образование смолоподобного остатка, что указывает на снижение стабильности ЧАС при высоких температурах. Уравнение реакции превращения морфолина в третичный амин выглядит следующим образом.
/Borikhonov.files/image003.png)
Процесс алкилирования морфолина нонилом, десилом, ундецилом и додецилом при стехиометрическом соотношении с последующим добавлением щелочи в реакционную смесь приводит к образованию N-алкиломорфолина. Однако выход синтеза остается низким, так как значительная часть добавленной щелочи расходуется на выделение третичного амина из ранее образованного N-алкиломорфолина в виде гидробромидной соли.
Согласно описанной методике, при использовании морфолина в двойном эквиваленте удалось получить N-алкиломорфолин с выходом 76 %. При этом вторичный амин, связанный в форме морфолиний бромида, восстанавливается в щелочной среде.
Реакции синтезированных соединений N-алкиломорфолина с этиловым эфиром монохлоруксусной кислоты были проведены, и были изучены оптимальные условия этих реакций.
/Borikhonov.files/image004.png)
Согласно результатам оптимизационных экспериментов по молярному соотношению реагентов, наибольший выход продукта в реакционной системе наблюдался при молярном соотношении N-алкиломорфолин : эфир монохлоруксусной кислоты 1 : 2. При этом целевой продукт (вероятно, четвертичная аммониевая соль морфолилглиоксилата или продукт следующего этапа) образовывался с максимальной селективностью и степенью конверсии.
Результаты и обсуждения.
Интересно отметить, что дальнейшее увеличение количества эфира монохлоруксусной кислоты (например, до соотношений 1 : 2,5; 1 : 3 и выше) не приводило к существенному росту выхода реакции. Это позволяет сделать следующие важные выводы:
- Реакция ограничена первым порядком: единственный атом азота в молекуле N-алкиломорфолина может эффективно вступать в реакцию только с одной алкильной группой. Вторая молекула алкильного агента (избыточный эфир монохлоруксусной кислоты) практически не реагирует с уже образованной четвертичной солью из-за стерических препятствий и/или электростатического отталкивания.
- “Бесполезное” расходование избыточного алкильного агента: эфир монохлоруксусной кислоты, добавленный в количестве более 2 эквивалентов, в основном подвергается гидролизу, элиминированию (с выделением HCl) или другим побочным реакциям (например, димеризации, полиалкилированию), что приводит к достижению плато выхода продукта.
- Термодинамическая и кинетическая оптимальность: при соотношении 1 : 2 концентрация алкильного агента достаточно высока, чтобы скорость реакции была близка к максимальной, при этом побочные реакции еще не проявляют значительной активности. Увеличение соотношения сверх этого не дает кинетического преимущества, поскольку лимитирующий реагент (N-алкиломорфолин) уже полностью израсходован.
- Практический вывод: при проведении реакции в промышленной или лабораторной практике оптимально использовать эфир монохлоруксусной кислоты в количестве 2,0–2,1 эквивалента. Добавление большего количества ведет лишь к избыточному расходу сырья и усложнению последующей очистки, не увеличивая выход продукта.
Таблица 1.
Факторы, влияющие на выход четвертичной аммониевой соли
|
Соотношение N-алкиломорфолин : ClCH₂COOR |
Реагенты |
Кинетическая роль избытка реагента |
Кинетический эффект |
Выход |
|
1 : 1 |
ClCH₂COOR |
Нет |
Реакция преждевременно останавливается, конверсия низкая |
50–65 % |
|
1 : 1,3–1,5 |
N-алкиломорфолин |
Небольшой избыток алкилирующего агента |
Последние 5–10 % протекают медленно, но почти полностью |
80–92 % |
|
1 : 2,0–2,1 |
N-алкиломорфолин |
Избыток алкилирующего агента (~2 экв.) |
Условия псевдо-первого порядка → самая быстрая и полная реакция (t½ минимальное) |
95–99 % (максимум) |
|
1 : 2,5–3,0 |
N-алкиломорфолин |
Большой избыток алкилирующего агента |
N-алкиломорфолин уже исчерпан → скорость не увеличивается, побочные реакции усиливаются |
95–97 % (не увеличивается) |
|
1 : 4 и выше |
N-алкиломорфолин |
Очень большой избыток |
Преобладают побочные реакции (гидролиз, элиминирование) → выход может снижаться |
≤ 90–94 % |
В реакции алкилирования N-алкиломорфолина с ClCH₂COOR оптимизация стехиометрического соотношения реагентов существенно влияет на кинетику реакции, глубину конверсии и выход конечного продукта. При соотношении 1:1 алкилирующего агента недостаточно, в результате реакция преждевременно останавливается, а выход составляет всего 50–65 %. При использовании небольшого избытка N-алкиломорфолина (1:1,3–1,5) конечный этап реакции протекает медленно, но почти полностью, обеспечивая выход 80–92 %. Оптимальные условия наблюдаются при соотношении 1:2,0–2,1: реакция протекает в режиме псевдо-первого порядка, время полураспада минимально, а выход достигает максимальных 95–99 %. Дальнейшее увеличение количества реагента (1:2,5–3,0) не ускоряет реакцию; наоборот, усиливаются побочные реакции, а выход остается на уровне 95–97 %. При очень большом избытке (>1:4) преобладают гидролиз и элиминирование, что приводит к снижению выхода конечного продукта.
Таким образом, оптимальное стехиометрическое соотношение для реакции составляет 1:2,0–2,1, обеспечивая максимальную скорость и наивысший выход, а превышение количества реагента технологически неэффективно.
Хлорид 4-(2-этокси-2-оксоэтил)-4-нонилморфолиния. IR 𝜈 max (см−1): 1620 (C=C), 1500 (C=N), 1190 (C–N), 1190 1H NMR (600 MHz, DMSO-d6): δ 8.07 (1H, d, J = 7.4 Hz), 7.54 (2H, d, J = 8.4 Hz), 7.41–7.33 (3H, m), 7.29 (5H, dq, J = 13.0, 6.4, 5.7 Hz), 7.17 (1H, d, J = 8.3 Hz), 6.96 (2H, d, J = 8.3 Hz), 6.73 (1H, s), 3.72 (4H, t, J = 4.8 Hz), 3.18 (4H, t, J = 4.8 Hz).
13C NMR (151 MHz, DMSO): 𝛿δ 168.30, 165.81, 152.99, 152.07, 137.42, 133.93, 133.26, 132.04, 130.13, 128.41, 128.35, 125.07, 114.49, 114.44, 89.58, 65.95, 47.64.
Заключение
В результате проведённых исследований разработан эффективный метод получения четвертичных аммониевых солей на основе морфолина и его N-алкилпроизводных, позволяющий достичь высокого выхода целевого продукта при оптимальных условиях проведения реакции. Установлено, что кинетические и термодинамические параметры процесса существенно зависят от молярного соотношения реагентов и температуры. Показано, что оптимальные условия синтеза соответствуют отношению реагентов 1 : 2.0–2.1 и температуре 100–110 °C, при которых достигается максимальная конверсия и селективность процесса. Исследованы механизмы снижения выхода при превышении оптимальных параметров, обусловленные деструкцией солей по Гофману и возникновением побочных продуктов. Спектроскопические данные (ИК, ЯМР и Q-TOF-MS) подтверждают структуру синтезированных соединений и их химическую природу. Полученные результаты могут служить основой для дальнейшего изучения физико-химических, поверхностно-активных и биологических характеристик четвертичных морфолиниевых солей, а также их применения в качестве антимикробных, антисептических и мембраностабилизирующих агентов.
Список литературы:
- Y. Zhao, Y. Jia, J. Xu, L. Han, F. He, X. Jiang, Chem. Commun. 2021, 57, 2998–3001; b) Z. Song, H. Wang, Y. Wu, J. Gu, S. Li, H. Han, ACS Omega 2018, 3, 14517–14525; c) P. I. Hora, S. G. Pati, P. J. McNamara, W. A. Arnold, Environ. Sci. Technol. Lett. 2020, 7, 622–631.
- N. A. Turner, B. K. Sharma-Kuinkel, S. A. Maskarinec, E. M. Eichenberger, P. P. Shah, M. Carugati, T. L. Holland, V. G. Fowler Jr, Nat. Rev. Microbiol. 2019, 17, 203–218; b) P. Collignon, Intern. Med. J. 2015, 45, 1109–1115.
- G. Domagk, Dtsch. Med. Wochenschr. 1935, 61, 829–832.
- S. E. Al-Khalifa, M. C. Jennings, W. M. Wuest, K. P. C. Minbiole, ChemMedChem 2017, 12, 280–283; b) N. W. Gunther, A. Abdul-Wakeel, E. R. Reichenberger, S. Al-Khalifa, K. P. C. Minbiole, Food Control 2018, 94, 187–194; c) O. Soukup, M. Benkova, R. Dolezal, R. Sleha, D. Malinak, S. Salajkova, A. Markova, M. Hympanova, L. Prchal, L. Ryskova, L. Hobzova, K. Sepčić, N. Gunde-Cimerman, J. Korabecny, D. Jun, V. Bostikova, P. Bostik, J. Marek, Eur. J. Med. Chem. 2020, 206, 1–23; B. M. P. Pereira, I. Tagkopoulos, Appl. Environ. Microbiol. 2019, 85, 1–13.
- Y. Jiao, L. Niu, S. Ma, J. Li, F. R. Tay, J. Chen, Prog. Polym. Sci. 2017, 71, 53–90; X. Xie, W. Cong, F. Zhao, H. Li, W. Xin, G. Hou, C. Wang, J. Enzyme Inhib. Med. Chem. 2017, 33, 98–105; c) U. Daood, J. P. Matinlinna, M. R. Pichika, K. Mak, V. Nagendrababu, A. S. Fawzy, Sci. Rep. 2020, 10, 10970.
- U. Tezel, S. G. Pavlostathis in Antimicrobial Resistance in the Environment, (Eds.: P. L. Keen, M. H. M. M. Montforts), Wiley-Blackwell, 2012, pp. 349–387; b) C. P. Gerba, Appl. Environ. Microbiol. 2015, 81, 464–469.
- M. Tischer, G. Pradel, K. Ohlsen, U. Holzgrabe, ChemMedChem 2012, 7, 22–31; b) S. Zhang, S. Ding, J. Yu, X. Chen, Q. Lei, W. Fang, Langmuir 2015, 31, 12161–12169; c) P. Gilbert, L. E. Moore, J. Appl. Microbiol. 2005, 99, 703–715; d) D. Kwaśniewska, Y. Chen, D. Wieczorek, Pathogenesis 2020, 9, 459.
- SenGupta S., Maiti N., Chadha R., Kapoor S. Conformational analysis of morpholine studied using Raman spectroscopy and density functional theoretical calculations. Chemical Physics Letters, 2015, vol. 639, pp. 1–6. DOI: 10.1016/j.cplett.2015.09.003.
- Armarego W. L. F., Chai C. L. L. Purification of laboratory chemicals. Oxford, Butterworth-Heinemann, 2013. 1024 p.