Doctor of philosophy (PhD), Karshi Enginerering Economics Institute, Uzbekistan, Karshi
COMPLEX COMPOUNDS OF BENZENE-1,3,5-TRICARBOXYLIC ACID WITH COPPER SALTS IN THE PRESENCE OF SULPHUR-CONTAINING BICYCLE LIGANDS
ABSTRACT
In this article, the formation of complexes of benzene-1,3,5-tricarboxylic acid (trimesic acid) with copper(II) salts of 5-acetyl-1-thiaindane, an organic bicyclic compound with a sulfur-containing cyclic structure, was studied. The complexes were synthesized in ethanol and water at different temperatures and times. The structure of the obtained substances was studied using infrared (IR) spectroscopy, magnetic properties, and thermal analysis. The results of the analysis showed coordination of the ligand with metal ions through the carboxyl groups and the formation of complexes with different coordination geometries.
АННОТАЦИЯ
В данной статье изучено образование комплексов бензол-1,3,5-трикарбоновой кислоты (тримезиновой кислоты) с медными(II) солями5-ацетил-1-тиаиндана–органическогобициклического соединения с серосодержащей циклической структурой. Синтез комплексов осуществлялся в этаноле и воде при различных температурах и времени. Строение полученных веществ исследовалось с помощью инфракрасной (ИК) спектроскопии, магнитных свойств и термического анализа. Результаты анализа показали координацию лиганда с ионами металлов через карбоксильные группы и образование комплексов с различной координационной геометрией.
Keywords: benzene-1,3,5-tricarboxylic acid, trimesic acid, copper complex, cobalt complex, coordination compound, infrared spectroscopy, metal-organic framework.
Ключевые слова: бензол-1,3,5-трикарбоновая кислота, тримезиновая кислота, комплекс меди, комплекс кобальта, координационное соединение, инфракрасная спектроскопия, металлорганический каркас.
Introduction. In recent years, coordination chemistry and metal-organic frameworks (MOFs) have become one of the most actively developing areas of scientific research. Such compounds, due to their high stability, porous structure and various functional properties, are widely used in sorption, catalysis, drug delivery systems and gas separation technologies. The properties of these materials depend, first of all, on the nature of the ligands and metal ions in their composition, as well as on the synthesis conditions [1; 32-37p.]. Benzene-1,3,5-tricarboxylic acid (trimesic acid, BTC) is an aromatic ligand with three carboxyl groups and a sulfur-containing heterocyclic ring of 5-acetyl-1-thiain, which forms complex compounds with various coordination geometries with 3d metal ions. BTC-based complexes are important in the synthesis of metal-organic frameworks due to their high thermal and chemical stability, as well as their multidirectional binding properties. Copper(II) and cobalt(II) ions are among the most active metals in coordination chemistry, and the complexes they form are characterized by their electronic, magnetic, and catalytic properties. Therefore, the study of their interaction with trimesic acid and the specific structure of the resulting complexes is of scientific and practical relevance [2; p.5934-5938].
Literature review
In recent years, complex compounds based on polycarboxylic acids and their derivatives have attracted great interest in scientific research, since they form stable coordination systems with 3d transition metals as strong chelating ligands [3; p. 433-437]. Benzene-1,3,5-tricarboxylic acid (BTC), a member of this class, binds to metal ions in various directions through its multifunctional carboxyl groups, allowing the formation of polynuclear and hybrid complexes. Therefore, BTC-based complexes are widely used in structural chemistry, catalysis, electron-conducting materials, and biomedical research [4-8]. Studies have shown that Cu(II), Ni(II), Co(II), and Zn(II) complexes formed with BTC ligands not only have high thermal stability, but also ion exchange and sorption properties, which allows them to be used as effective sorbents in environmental fields. In particular, syntheses carried out in dimethylformamide (DMFA) or ethanol media provide stability of the crystal structure and improve coordination equilibrium. Mixed-ligand complexes have a variety of structures and are characterized by high stability both in the solid state and in solution, depending on the nature of the ligand and metal in the inner sphere of the complex. Quantum chemical calculations of the electronic structure and energy characteristics allow us to determine the priority paths of coordination of multifunctional ligands with electronic and steric factors. Such modeling is especially useful for studying the competitive coordination of molecules containing several donor centers.
Methods and materials
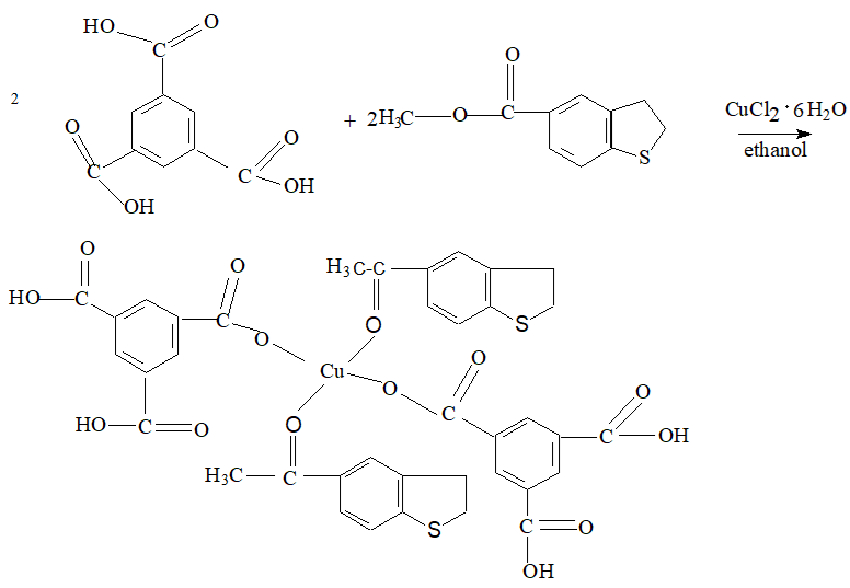
All reagents used in the study were of analytical grade, manufactured by Sigma-Aldrich and used without further purification. All reagents used in the study were of analytical grade, and were carried out under laboratory conditions, in an air environment. 0.1 mmol (0.0261 g) CuCl2•6H2O in ethanol was added dropwise to 0.2 mmol (0.0356 g) 5-acetyl-1-thiaindane in ethanol and stirred for 30 minutes at room temperature. The color of the mixture was observed to change to light brown. Then, 0.2 mmol (0.0420 g) 1,3,5-benzenetricarboxylic acid in alcohol was added dropwise to this clear mixture and stirred for 12 hours on a magnetic stirrer. The resulting solution was removed at room temperature. After a few days, blue-green crystals were formed, which were filtered, washed several times with ethanol.
After the reaction was completed, the solution was slowly cooled at room temperature and crystallized over several days. After 5–7 days, green crystals (Cu complex) were formed. The formed crystals were filtered, washed with cold alcohol and dried at room temperature. The trimesic acid (BTC) molecule contains three carboxyl (–COOH) groups, which can form coordination bonds with metal ions through oxygen atoms. Due to this, the BTC ligand has a polydentate character and forms a complex coordination compound with metal centers. The resulting complex compounds were analyzed using infrared (IR) spectroscopy. IR spectra were measured using a SHIMADZU IRTracer-100 FT-IR spectrometer in the range of 400–4000 cm⁻¹, KBr.The resulting complex compounds were analyzed using the infrared (IR) spectroscopy method. IR spectra were measured using a SHIMADZU IRTracer-100 FT-IR spectrometer in the range of 400–4000 cm⁻¹, KBr tablet method. Based on the obtained spectral lines, the degree of deprotonation of the carboxyl group, the formation of the metal–oxygen bond, and the coordination properties were studied. Thermogravimetric tests were carried out with the use of K-type thermocouple (Low RG Silver) and aluminum crucible and derivatograph GC1310 combined Tsq 9000_TA, Thermo Scientific.The reaction is represented by the following general scheme: and recrystallization was carried out in a mixture of DMFA:acetone (2:3). Light green needle-like crystals were formed. Yield 82%.
The synthesis reaction equation is as follows:
/Rakhmatova.files/1.png)
Figure 1. Complex formation reaction
Discussion of results.According to infrared analysis, the following was determined:the characteristic stretching vibrations of the C=O carbonyl group are located in the region of 1606 cm⁻¹ as a broad line. In the region of 1000–1150 cm⁻¹, stretching vibrations are observed for C–C, especially related to the CH2–CO group. The vibrations in the region of 1500–1600 cm⁻¹ are characteristic for aromatic vibrations. These peaks are associated with deformation vibrations of the aromatic ring. In the region of 1025–1082 cm⁻¹, C–C vibrations can also be seen, especially related to the CH2–CO group. In free 5-acetyl-1-thiaindane, the ν(C=O) band is at 1670–1690 cm⁻¹, and in the complex it is shifted down to 1640–1660 cm⁻¹. This confirms coordination with copper(II) through the carbonyl oxygen. The C–S vibration (700–760 cm⁻¹) associated with the thiaindan ring was enhanced, but its position remained unchanged. This indicates that the S atom was not involved in coordination. A new weak–medium intensity line (Cu–O) = 500–620 cm⁻¹ appeared in the spectrum of the complex, which confirms the metal–oxygen bonds. The IR analysis results confirm that the complex is a stable heteroligand system, and that the –COO⁻ groups of BTK and the organic thio-ketone ligand together form a complex coordination environment around copper(II).its image is represented in Figure 1.
/Rakhmatova.files/image003.jpg)
Figure 2. Picture of [Cu(BTC)25- acetyl-1-thiaidine)]2
The calculated energy parameters of the heats of formation and the energies of the UBO and QBMO for these molecules are given in Table 1. The orbital control data, taking into account the location of the UBO-upper bound molecular orbital and the QBMO-lower unoccupied molecular orbital, indicate that the QBMO is almost completely concentrated in the BTC fragment. The calculated energy parameters of the complexes are given in Table 1.
Table 1.
Optimized parameters of complex compounds
|
|
[Co(BTC)2( 5-acetyl-1-thiaidine)2] |
[Cu(BTC)25-acetyl-1-thiaidine)]2 |
|
Heat of formation, kcal/mol |
-120 |
-156 |
|
Total energy, eV |
-6234 |
-4773 |
|
Ionization potential, eV |
5.72 |
7,4 |
|
The reaction surface area of the molecule is Å2 |
564 |
437 |
|
Electron energy, Ev |
-65404 |
-43758 |
|
YuBMO, eV |
-5,534 |
-7,23 |
|
QBMO,eV |
-2,342 |
-0,394 |
|
∆(QBMO-YuBMO),eV |
-7,622 |
-8,463 |
Conclusion. In this study, the complexes of benzene-1,3,5-tricarboxylic acid (BTC) with Cu(II) ions in the presence of sulfur-containing organic ligands were synthesized and their structure and physicochemical properties were studied. The synthesis process was carried out in ethanol and DMFA media, as a result of which it was found that stable complexes with a crystalline structure were obtained in high yields.
Infrared spectroscopy data confirmed that the BTC ligand and the sulfur-containing bicyclic compound formed M–O (metal–oxygen) bonds with metal ions.
References:
- E’Tibor X, Sayfiddin A, Bako U. Synthesis and structure of complex compounds of Mn (II), Ni (II), Cu (II), Zn (II) ions with benzoylhydrazone para-[bis- 1,4-(4,4,4-triflurobutndione-1,3)]benzene//Universum:Химияибиология.-2024.-N2(117).-P.32-37.
- Karolina Zelga, M. Leszczyński, I. Justyniak, A. Kornowicz, M. Cabaj, A.EH Wheatley, J.Lewiński. Synthesis, structure and unique reactivity of the ethylzinc derivative of a bicyclic guanidine //DaltonTransactions.-2012.–V.19.–P.5934-5938.
- Augustin M.M., Andruh M., Ouahab L., Golhen S. Two different (acetylacetonato) (bipyridine) copper (II) complexes in one single crystal: [Cu(acac)(bpy)(N3)] and [Cu(acac)(bipy)(H2O)]ClO4 // Revue Roumaine de Chimie. - 2001. –V.46. –N.4. –P. 433-437.
- Truccolo G., Tessari Z., Tessarolo J., Quici S., Armelao L., Rancan M.A. Cu (II) metallocycle for the reversible self-assembly of coordination-driven polyrotaxane-likearchitectures//DaltonTransactions.-2018.–V.47.–N.35.-P.12079- 12084.
- Jiang S.D., Wang B.W., Su G., Wang Z.M., Gao S.A. Mononuclear Dysprosium Complex Featuring Single‐Molecule‐Magnet Behavior // Angewandte Chemie. -2010. -V. 41. –N.122. -P. 7610-7613.
- Zaworotko M.J., Hammud H.H., Kabbani A., Mcmanus G. Synthesis and characterization of some Transition Metal Complexes with Mixed Adenine and Acetylacetonate Ligands: Crystal Structures of Solvated Complex {[Cu(acac)2 (adenine)]· EtOH} and {[Cu(acac)2 (adenine)]·DMF·H2O} // Journal of Chemical Crystallography. – 2009. – V.39. –N.12. – P. 853-863.
- Clare F, M. I. Sovago, S.J.Cottrell, P.T.Galek, P. M.Cabe, E. Pidcock, M. Platings,G. P. Shields, J.S. Stevens, M. Towler.P. A. Wood Mercury 4.0: from visualization to analysis, design and prediction // Journal of Applied Crystallography. –2020. –V.53. –P. 226–235.
- Siddique I.M. Exploring Functional Groups and Molecular Structures: A Comprehensive Analysis using FTIR Spectroscopy. 2024. Development, 1, P.2.