докторант Хорезмской академии Маъмуна, Узбекистан, г. Хива
СИНТЕЗ, СТРОЕНИЕ И СВОЙСТВА КОМПЛЕКСНОГО СОЕДИНЕНИЯ МЕТА-ГИДРОКСОБЕНЗОАТА КОБАЛЬТА (II) С ТИОКАРБАМИДОМ
АННОТАЦИЯ
В данной работе было синтезировано новое координационное соединение иона кобальта (II) с лигандами мета-гидроксобензойной кислоты и тиомочевины и изучены его структура и свойства. Состав комплексного соединения был определен на основе результатов элементного анализа. Для определения структуры соединения и особенностей связи между лигандами и ионом центрального металла были использованы современные физико-химические методы. Методом ИК-спектроскопии были определены функциональные группы (карбоксилатные, гидроксильные и тиокарбонильные группы) органических лигандов, участвующих в комплексообразовании, что подтвердило их координацию к иону кобальта (II). С помощью метода термического анализа (TG/DTG/DSC) были изучены термостабильность и механизм разложения соединения. На основе проведенного комплекса исследований предложена общая формула и структура комплекса. Координационное число центрального атома иона кобальта (II) равно 6, и он расположен в октаэдрической геометрии.
ABSTRACT
In this work, a new coordination compound of the cobalt (II) ion with meta-hydroxybenzoic acid and thiourea ligands was synthesized, and its structure and properties were studied. The composition of the complex compound was determined based on the results of elemental analysis. Modern physicochemical methods were used to determine the structure of the compound and the bonding characteristics between the ligands and the central metal ion. By IR spectroscopy, the functional groups (carboxylate, hydroxyl, and thiocarbonyl groups) of the organic ligands participating in the complex formation were determined, confirming their coordination with the cobalt (II) ion. Using the thermal analysis method (TG/DTG/DSC), the thermal stability and decomposition mechanism of the compound were studied. Based on the conducted research, a general formula and structure of the complex were proposed. The coordination number of the central atom of the cobalt (II) ion is 6, and it is located in octahedral geometry.
Ключевые слова: мета-гидроксобензоат кобальта (II), тиомочевина, комплекс, синтез, ИК-спектроскопия, термический анализ, координационное число, октаэдрическая структура.
Keywords: cobalt (II) meta-hydroxybenzoate, thiourea, complex, synthesis, IR spectroscopy, thermal analysis, coordination number, octahedral structure.
Введение
Сегодня число заболеваний во всем мире увеличивается день ото дня. Анализ литературы показывает, что лекарственные средства, используемые в настоящее время для лечения многих заболеваний, получены из комплексных соединений органических веществ с металлами [1-2]. В основном, синтез новых комплексных соединений создает основу для устранения некоторых заболеваний [3]. Мета-гидроксибензойная кислота (3-гидроксибензойная кислота) является одним из биологически активных веществ с фенольной структурой и карбоксильной группой. Он используется в медицине в основном благодаря своим антибактериальным, противогрибковым и антиоксидантным свойствам [4-6]. Фенольная структура мета-гидроксибензойной кислоты способствует нейтрализации реактивных форм кислорода, что делает ее важным защитным средством от клеточного окислительного стресса. В то же время его производные широко используются в качестве промежуточных соединений в синтезе лекарственных средств. Например, он является ключевым компонентом в производстве некоторых парабенов (метилпарабена, пропилпарабена), которые используются в качестве антисептиков и консервантов. Тиомочевина, представитель амида, также хорошо растворима в воде и участвует в важных метаболических процессах в организме. Тиокарбамид (Тиамид) - это химическое соединение, которое в основном используется в медицине, особенно в гематологии и онкологии. Информация о его биологических свойствах и эффектах широко распространена, и их основная цель - очищение крови в организме и лечение заболеваний. В медицине тиомочевина также обладает метаболическими, обезболивающими, противовоспалительными, антибактериальными [7], противосудорожными и цитотоксическими свойствами, которые способствуют улучшению состава крови в организме и выведению токсинов. Кроме того, соединения тиомочевины обладают превосходной инсектицидной активностью и широко используются в области пестицидов. Катализатор, используемый в органическом синтезе для производства производных тиомочевины, таких как метилтиомочевина, диэтилтиомочевина, дифенилтиомочевина и диоксид серы, а также для производства фталевого ангидрида и фумаровой кислоты.
Анализ литературы и методы
С точки зрения структуры, тиомочевина является монодентантным лигандом, который присоединяется к металлам через свой атом серы [8]. Тиомочевиносодержащие комплексы изучаются в различных областях, включая нелинейные оптические кристаллы [9,10], гибридные перовскиты для фотоэлектрических устройств [11] и прекурсоры для наночастиц золота [12]. Следует также отметить его применение в качестве ингибитора коррозии. В литературе имеется несколько важных исследований по комплексообразованию иона Co (II) с мета-гидроксобензоатными и амидными лигандами. Например, на основе бис (никотинамид) и м-гидроксобензоата синтезированы комплексы ионов Co (II), а также Ni (II), Cu (II) и Zn (II). Эти комплексы были описаны с помощью IR, UV-Vis спектроскопии, термогравиметрического анализа и магнитных свойств. Результаты показали, что каждый из комплексов содержит две молекулы воды, два мета-гидроксобензоата и два никотинамида, монодентатно связанные с ионом металла. Результаты показали, что каждый из комплексов содержит две молекулы воды, два мета-гидроксобензоата и два никотинамида, которые монодентатно связаны с ионом металла. Структура, образованная этой связью, довольно стабильна, и этапы термического разложения также четко прослеживаются [14]. Проведен анализ координационного состояния иона кобальта (II) на структурном уровне. В результате на основе кристаллографических данных определено его окружение и доказана октаэдрическая упорядоченность. Лиганды связаны донорными атомами кислорода и азота, и наблюдается наличие сильных внутренних водородных связей внутри кристаллической решетки. Это еще больше стабилизирует кристаллическую структуру и укрепляет межмолекулярные взаимодействия [15]. Также изучены кристаллические структуры комплексов Co (II), образованных в присутствии хлорозамещенных бензоатных лигандов. В них также никотинамидные лиганды связаны с металлическим центром через пиридиновый азот, образуя супрамолекулярные слои посредством π-π и водородных связей. Такие взаимодействия положительно влияют на степень кристалличности и физико-химическую стабильность комплексов [16]. Аналогичный комплекс был синтезирован на основе Cu (II) и продемонстрировал структурное сходство с комплексами Co (II). Это означает, что мета-гидроксобензоатные и никотинамидные лиганды образуют стабильные координационные соединения с различными ионами металлов, что указывает на их важность как универсальных лигандов [17]. В комплексах Co (II), образованных в присутствии фталат-анионов, никотинамидные лиганды также активно участвуют в координационном процессе. Благодаря водородным связям с участием молекул воды в комплексах, кристаллические структуры имеют слоистую структуру [18]. В целом, анализ литературы показывает, что комплексные соединения иона Co (II) с мета-гидроксобензоатом и тиомочевиной являются устойчивыми, структурно упорядоченными и богатыми физико-химическими данными. Их структура часто основана на октаэдрической координации, при которой лиганды соединяются через атомы азота и серы. π-π и водородные связи в кристаллической структуре, а также межлигандные взаимодействия обеспечивают физическую стабильность этих комплексов.
Целью исследования является определение возможностей применения комплексных соединений в синтезе биологически активных веществ и создании современных функциональных материалов путем изучения их состава и свойств.
Материалы и методы
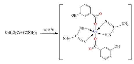
Синтез комплексных соединений проводили следующим образом: сначала 0,1 грамм м-гидроксобензойной кислоты смешивали с 50 мл дистиллированной воды и медленно нагревали. После полного растворения кислоты к раствору добавляли 5 мл 0,1 н раствора КОН, создавая щелочную среду. Затем 0,8 грамма CoSO4·7H2O растворили в 20 мл дистиллированной воды и добавили к раствору.
2C7H6O3 + 2KOH +CoSO4·7H2O →[Co(C7H5O3)2] + K2SO4 +8H2O
К прозрачному полученному раствору медленно добавляли 0,2 грамма тиомочевины, растворенной в дистиллированной воде. В ходе эксперимента наблюдалось, что раствор приобрел светло-розовый цвет, что свидетельствует об образовании комплекса ионами Co (II). С добавлением тиомочевины раствор стал еще более устойчивым, то есть она участвовала в формировании комплексной структуры в качестве вторичного лиганда. Это указывает на образование координационного комплекса со смешанными лигандами. Полученный раствор оставляли при комнатной температуре в течение 10 дней и наблюдали рост кристалла (рис. 1).
/Kurbanova.files/image001.jpg)
Рисунок 1. Комплексное соединение Co (II) с мета-гидроксобензоатом и тиомочевиной
Результаты и их обсуждение
Выход продукта составил 86%. Элементный состав комплексного соединения следующий (Элемент-Расчитанный (%) /Найденный (%)): Co-20.30/20.25, C-33.10/33.05, H-3.7/3.6, N-9.6/9.1, S-11.0/10.98, O-22.06/22.01.
С целью подтверждения образования комплексного соединения были сопоставлены исходные реагенты (тиомочевина и метагидроксибензоат Co (II)) и ИК (инфракрасные) спектры полученного комплексного соединения. Основные колебания и их изменения, наблюдаемые в ИК-спектрах, наглядно демонстрируют процесс комплексообразования. ИК-спектры образцов регистрировали в спектре "IRTracer-100" (SHIMADZU CORP., Япония, 2017) при помощи призмы MIRacle-10 diamond/ZnSe в области 400-4000 см-1.
/Kurbanova.files/image002.png)
Рисунок 2. ИК-спектр тиокарбамида
В ИК-спектре тиомочевины при 3371 и 3261 см-1 четко наблюдались валентные колебания, соответствующие группам NH2, а при 1625 см-1 - деформационные колебания группы NH2. При 740 см-1 имеется деформационное колебание C=S, который характерен для некоординированного тиомочевины (рис. 2).
/Kurbanova.files/image003.png)
Рисунок 3. ИК-спектр метагидроксибензоата Co (II)
В ИК-спектре метагидроксибензоата в диапазоне 3400-3200 см-1 отмечено широкое деформационное колебание, характерное для фенольной группы, а при 1684 см-1 отмечена полоса колебаний связи C=O, принадлежащей карбоксильной группе. Сигнал в диапазоне 1242-1300 см-1 соответствует колебаниям связи С-О. Также имеется несколько пиков в диапазоне 1500-1600 см-1, характерных для колебаний ароматического кольца.
/Kurbanova.files/image004.png)
Рисунок 4. ИК спектр комплексного соединения [Co(C7H5O3)2(SC(NH2)2]
В ИК-спектре комплексного соединения интенсивность колебаний С=С тиомочевины (730 см-1) снижена и смещена, что свидетельствует об образовании координационной связи с кобальтом через сульфидную группу. Колебание C=O карбоксильной группы смещено ниже 1684 см-1 и наблюдается деление на два пика, что указывает на координацию через атом кислорода. Также в спектре комплексного соединения появились новые полосы поглощения при 632 см-1 и 777 см-1. Эти колебания характерны для координационных связей Co-S и Co-O соответственно, что подтверждает формирование комплексного соединения с помощью ИК-спектроскопии.
/Kurbanova.files/image005.png)
Рисунок 5. Дериватограмма комплексного соединения [Co(C7H5O3)2(SC(NH2)2]
Термические свойства комплексного соединения изучались методом TG/DTG/DSC. Согласно графику термического анализа, комплексное соединение разлагается в три основные стадии. Первая стадия соответствует интервалу 150-170 0С, на этой стадии отмечен эндотермический эффект при 166,5 0С с потерей массы 13%. Это связано с выделением тиомочевины. Вторая стадия происходит при 292 0С при разложении основных органических лигандов. На графике DSC выявлено несколько экзотермических реакций, что подтверждает структурное разрушение комплекса. Третья стадия соответствует температуре выше 320 0С, и на этой стадии происходит полное окисление остаточных компонентов, и на термограмме образуется почти ровная линия. В конце остается устойчивый минеральный остаток в виде оксида кобальта. Данные результаты показывают, что комплексное соединение термически устойчиво до 176 °C, а при более высоких температурах происходит последовательное разложение лигандов. Это подтверждает, что оно является умеренно термостойким комплексом.
Заключение
Структура комплексного соединения [Co(C7H5O3)2(SC(NH2)2] была тщательно изучена на основе данных ИК-спектроскопии и термического (TG/DSC) анализа. Полученные результаты достоверно подтверждают образование комплексного соединения и его термическую стабильность до 176 0C. Согласно результатам ИК-спектроскопического анализа, интенсивность связи C=S в молекуле тиомочевины уменьшилась и сместилась, что указывает на координацию с ионом кобальта через атом серы. Смещение линий колебаний C=O карбоксильной группы в метагидроксибензоате указывает на координацию через атом кислорода. Новые полосы поглощения при 632 см-1 и 777 см-1 подтверждают образование связей Co-S и Co-O соответственно. Согласно результатам анализа TG/DSC, комплексное соединение имеет три основные стадии термического разложения. На начальной стадии (166 0C) выделяется свободный тиомочевина, на следующей стадии основные органические лиганды разлагаются (200-320 0C), а на последней стадии (выше 320 0C) происходит полное разложение комплекса с образованием устойчивого остатка оксида кобальта. Результаты ИК и ТG/DSC анализов дополняют друг друга и показывают, что лиганды в комплексном соединении координированы в соответствии с ионом кобальта, имеют координационное число 6 и октаэдрическую геометрию, а также что соединение образуется в стабильной форме.
Список литературы:
- Karmakar P., et al. Sub-inhibitory concentration of 3-hydroxybenzoic acid impairs biofilm formation, virulence, and antioxidant defenses in Acinetobacter baumannii // European Journal of Clinical Microbiology & Infectious Diseases. – 2024. – Vol. 43. – P. 1009.
- Nowicka A., et al. Biological Activity of Selected Phenolic Acids and Their Metabolites: Antioxidant, Antimicrobial and Cytoprotective Effects // International Journal of Molecular Sciences. – 2021. – Vol. 22, № 23. – P. 12577.
- Dutta P., et al. Synthesis, characterization, and biological evaluation of metal complexes of 3,4,5-trihydroxybenzoic acid derivative containing aniline moiety // Journal of Medicinal Chemistry Research Proceedings. – 2020. – P. 20120.
- Karakaya S., El S.N. Phenolic Acid Derivatives Used in Food and Medicine: A Review // Trends in Food Science & Technology. – 2018. – Vol. 85. – P. 64–72.
- Salgado H.R.N., et al. Hydroxybenzoic acids as potential antimicrobial and anti-inflammatory agents: Mechanisms and applications // Journal of Pharmacy and Pharmacology. – 2020. – Vol. 72, № 6. – P. 773–790.
- Beppu M., et al. Drug delivery using phenolic acid–based polymeric carriers // Biomaterials Science. – 2019. – Vol. 7, № 9. – P. 3697–3705.
- Alagarsamy V., et al. Synthesis, analgesic and anti-inflammatory activities of some novel 2,3-disubstituted quinazolin-4(3H)-ones // Biol. Pharm. Bull. – 2003. – Vol. 26. – P. 557–559.
- Suresha G.P., et al. Urea/thiourea derivatives of quinazolinone-elysine conjugates: Synthesis and structure–activity relationships of a new series of antimicrobials // Eur. J. Med. Chem. – 2011. – Vol. 46. – P. 2530–2540.
- Sangeetha M.K., et al. TG-DTA, XRD, SEM, EDX, UV, and FT-IR spectroscopic studies of l-valine thiourea mixed crystal // J. Therm. Anal. Cal. – 2015. – Vol. 119, № 2. – P. 907–913.
- Subashini A., et al. Preparation and characterization of a bis thiourea sodium iodide (BTSI): A potential NLO crystal // J. Therm. Anal. Cal. – 2018. – Vol. 131, № 3. – P. 2179–2186.
- Nan-Nan X., et al. Perfect self-assembling of one-dimensional lead iodides with tetrahedral Cu4I6S4 clusters: a high-symmetry cubic packing // Inorg. Chem. – 2019. – Vol. 58, № 4. – P. 2248–2251.
- Kossmann A., et al. The di(thiourea)gold(I) complex [Au{S=C(NH2)2}2][SO3Me] as a precursor for the convenient preparation of gold nanoparticles // Z. Naturforsch. B – 2020. – Vol. 75. – P. 239–249.
- Sankowska M., et al. Determination of gaseous products of thermal degradation of thiram // J. Therm. Anal. Cal. – 2017. – Vol. 128, № 3. – P. 1639–1647.
- Draelos Z.D. The use of niacinamide in dermatology // Cutis. – 2012. – Vol. 90, № 1. – P. 17–20.
- Kose D.A., Necefoglu H. Synthesis and characterization of bis(nicotinamide) m-hydroxybenzoate complexes of Co(II), Ni(II), Cu(II) and Zn(II) // J. Therm. Anal. Cal. – 2008. – Vol. 93, № 2. – P. 509–514.
- Hokelek T., Necefoglu H. trans-Diaquabis(3-hydroxybenzoato-O)bis(nicotinamide-N1)cobalt(II) // Acta Crystallogr. C. – 1999. – Vol. 55, № 8. – P. 1422–1424.
- Bozkurt E., Necefoglu H., Hokelek T. Diaquabis(3-chlorobenzoato-κO)bis(nicotinamide-κN)cobalt(II) // Acta Crystallogr. E. – 2013. – Vol. 69, № 6. – P. 321–322.
- Sahin O., et al. trans-Diaquabis(3-hydroxybenzoato-κO1)bis(nicotinamide-κN1)copper(II) // Acta Crystallogr. C. – 2007. – Vol. 63, № 7. – P. 510–512.