teacher at Urgench state university named after Abu Rayhon Beruni, Uzbekistan, Khorezm, Urgench
PREPARATION, STRUCTURE, AND SPECTRAL CHARACTERIZATION OF THE [MnCl₄] (L1H)₂ COMPLEX BASED ON MANGANESE(II) CHLORIDE AND NOVOCAINE HYDROCHLORIDE
ABSTRACT
This study describes the synthesis and characterization of a novel manganese(II) complex with protonated novocaine. The complex was prepared by reacting MnCl₂ (0.005 mol) with novocaine hydrochloride (0.01 mol) in aqueous solution under magnetic stirring at 800 rpm for 1.5 hours. The resulting solution was left to undergo slow evaporation for 21 days, yielding crystalline [MnCl4](L1·H)2. Single-crystal X-ray diffraction analysis revealed that the compound crystallizes in a monoclinic system (space group I2/a), where the Mn²⁺ ion is tetrahedrally coordinated by four chloride ions in a slightly distorted geometry. Infrared spectroscopy confirmed the presence of characteristic N–H, C–H, C=O, and Mn–Cl vibrational modes, while UV–Vis spectroscopy showed a d–d transition at λ_max = 508 nm, along with ligand-centered π→π* and n→π* absorptions. The reproducible spectroscopic, crystallographic, and morphological data demonstrate the structural stability of the complex and indicate its potential for further applications in coordination chemistry, materials science, and bioinorganic studies.
АННОТАЦИЯ
В данной работе представлены результаты синтеза и исследования нового комплекса марганца(II) с протонированным новокаином. Комплекс был получен в результате взаимодействия MnCl₂ (0,005 моль) с гидрохлоридом новокаина (0,01 моль) в водном растворе при перемешивании на магнитной мешалке со скоростью 800 об/мин в течение 1,5 часов. После этого раствор оставляли для медленного испарения в течение 21 дня, в результате чего образовались кристаллы состава [MnCl4](L1·H)2. По данным рентгеноструктурного анализа установлено, что комплекс кристаллизуется в моноклинной системе (пространственная группа I2/a), где ион Mn²⁺ координирован четырьмя хлорид-ионами в слегка искажённой тетраэдрической геометрии. ИК-спектроскопия подтвердила наличие характеристических колебаний связей N–H, C–H, C=O и Mn–Cl, а УФ–видимая спектроскопия выявила d–d-переход при λ_max = 508 нм, а также лиганд-центрированные переходы π→π* и n→π*. Воспроизводимые спектроскопические, кристаллографические и морфологические данные подтверждают устойчивость структуры комплекса и указывают на его перспективность для дальнейших исследований в области координационной химии, материаловедения и биоорганической химии.
Keywords: Manganese (II) complex, novocaine hydrochloride, X-ray crystallography, infrared spectroscopy, UV–Vis spectroscopy, coordination geometry, ligand effects, material chemistry.
Ключевые слова: комплекс марганца(II), гидрохлорид новокаина, рентгеноструктурный анализ, ИК-спектроскопия, УФ–видимая спектроскопия, координационная геометрия, лигандные эффекты, материаловедение.
Introduction
Transition metal complexes with biologically active ligands have attracted considerable interest in recent years due to their potential applications in medicinal chemistry, catalysis, and material science [1-3]. Among them, manganese (II) complexes are particularly important owing to the versatile coordination chemistry of the Mn²⁺ ion and its essential role in biological systems [4]. Local anesthetics such as novocaine (procaine hydrochloride), which possess both amine and ester functional groups, offer multiple coordination sites and have been explored as ligands for metal complexation. Incorporating pharmaceutical agents like novocaine into metal complexes can result in enhanced or modified biological activity, improved solubility, and new structural features. In this study, we report the synthesis, crystal structure, and spectral characterization of a novel manganese (II) complex formed with novocaine hydrochloride. The resulting compound, formulated as [MnCl4] (L1·H)2, where L1·H⁺ represents the protonated novocaine molecule, was obtained through slow evaporation. The structure was determined by single-crystal X-ray diffraction and further characterized using elemental analysis, UV-Vis, and IR spectroscopy to confirm the composition and bonding nature of the complex [5-8].
Materials and methods
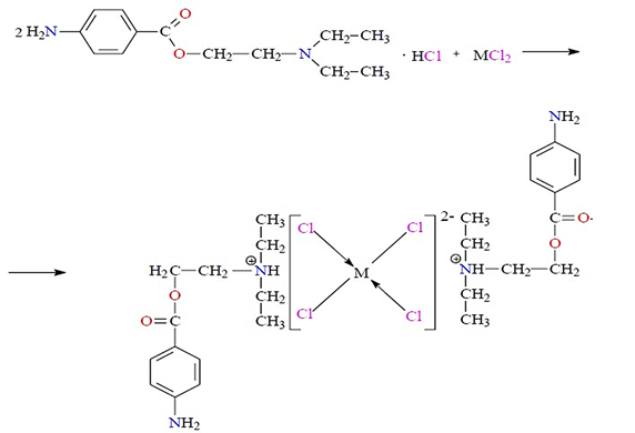
/Matmurodova.files/image001.png)
Figure 1. The complex compound with the composition [MnCl4] (L1·H)2 synthesized from MnCl₂ and novocaine hydrochloride
A solution of M(II) chloride (0.005 mol) was prepared in water. Novocaine hydrochloride (2.725 g, 0.01 mol) was dissolved in 20 mL of water. Both solutions were transferred into a heat-resistant beaker and stirred using a glass rod. The resulting clear solution was placed on a magnetic stirrer and stirred at 800 rpm for one and a half hours. After stirring, the solution was removed from the magnetic stirrer and placed under a fume hood. The mouth of the container was loosely covered to allow slow evaporation of the solvent. After 21 days, crystals formed in the solution. The obtained crystals were separated, washed with ethanol, and dried in a vacuum desiccator. Elemental analysis of C, H, N, and O in the [MnCl4] (L1·H)2 complex was carried out using a FlashSmart (Thermo Fisher Scientific) analyzer. The instrument operates based on a modified Dumas combustion method, where the amounts of gases released during combustion are determined chromatographically. For the analysis of C, H and N 3–3.5 mg of the sample was sealed in aluminum foil capsules along with 4–5 mg of vanadium(V) oxide and combusted at 960 °C. Oxygen analysis was performed using 2.8–3.2 mg of sample in silver foil capsules at 1050 °C. All processes were conducted under oxygen (100 mL/min) and helium (140 mL/min) gas flows. The complex showed good solubility in water and ethanol, poor solubility in chloroform, and limited solubility in acetone [9-10].
Results and discussion
X-ray Structural Analysis. Single-crystal X-ray diffraction data for the [MnCl4] (L1·H)2 complex was collected using a diffractometer with Cu Kα radiation (λ = 1.54184 Å). The crystal structure was solved and refined using the SHELX program implemented in OLEX2. The complex crystallizes in the monoclinic system, space group I2/a, with unit cell parameters a = 14.6608(3) Å, b = 14.8998(3) Å, c = 15.6942(4) Å, and β = 103.801(2) °. Full crystallographic refinement details are presented in Table 1.
Table 1.
Crystal Data Table
|
Empirical formula |
C13H21Cl2Mn0.5N2O2 |
|
Formula weight |
335.69 |
|
Temperature/K |
293(2) |
|
Crystal system |
Monoclinic |
|
Space group |
I2/a |
|
a/Å |
14.6608(3) |
|
b/Å |
14.8998(3) |
|
c/Å |
15.6942(4) |
|
α/° |
90 |
|
β/° |
103.801(2) |
|
γ/° |
90 |
|
Volume/Å3 |
3329.31(13) |
|
Z |
8 |
|
ρcalcg/cm3 |
1.339 |
|
μ/mm‑1 |
6.468 |
|
F (000) |
1404.0 |
|
Crystal size/mm3 |
0.18 × 0.15 × 0.14 |
|
Radiation |
Cu Kα (λ = 1.54184) |
|
2Θ range for data collection/° |
8.298 to 142.816 |
|
Index ranges |
-17 ≤ h ≤ 16, -18 ≤ k ≤ 14, -19 ≤ l ≤ 19 |
|
Reflections collected |
8838 |
|
Independent reflections |
3212 [Rint = 0.0275, Rsigma = 0.0333] |
|
Data/restraints/parameters |
3212/0/181 |
|
Goodness-of-fit on F2 |
1.049 |
|
Final R indexes [I>=2σ (I)] |
R1 = 0.0444, wR2 = 0.1107 |
|
Final R indexes [all data] |
R1 = 0.0592, wR2 = 0.1190 |
|
Largest diff. peak/hole / e Å-3 |
0.39/-0.26 |
/Matmurodova.files/image002.jpg)
Figure 2. The bonding sequence of atoms in the [MnCl4] (L1.H)2 complex
The coordination compound with the composition [MnCl4] (L1.H)2 was obtained from the reaction of manganese (II) chloride and novocaine hydrochloride. The main crystallographic data and structure refinement indicators are summarized in Table 1.
In the complex, the manganese ion is located at the center and is coordinated by four chloride ions. In this arrangement, the inner coordination sphere is formed by the [MnCl₄] ²⁻ anion, around which two positively charged protonated novocaine molecules are electrostatically associated (Figure 3).
/Matmurodova.files/image003.jpg)
Figure 3. Crystal packing of the [MnCl4] (L1.H)2 coordination compound
UV-Vis Spectroscopic Analysis of the [MnCl4] (L1.H)2 Complex
According to the UV-Vis spectroscopic analysis, an absorption band at λmax = 508 nm in the visible region corresponds to a d–d electronic transition of the Mn²⁺ ion, specifically a ⁴T₁ → ⁶A₁ transition. This confirms that the Mn²⁺ ion is at the center of the coordination complex and is coordinated in a tetrahedral geometry. In addition, a band observed at λmax = 340 nm is attributed to π → π* transitions in the aromatic ring of the ligand, while the band at λmax = 260 nm corresponds to n → π* transitions of the carbonyl group (Figure 4).
/Matmurodova.files/1.png)
Figure 4. UV-Vis spectroscopic analysis of the [MnCl4] (L1.H)2 complex
IR Spectroscopic Analysis of the [MnCl4] (L1.H)2 Complex.
The IR spectroscopic analysis of the complex was recorded in the range of 400–4000 cm⁻¹ (Figure 5). Absorption bands observed at 3193 cm⁻¹ and 3107 cm⁻¹ correspond to the asymmetric and symmetric stretching vibrations of the amine group in the ligand, respectively. The bands at 3082 cm⁻¹ and 3055 cm⁻¹ are assigned to the asymmetric and symmetric C–H stretching vibrations of the aromatic ring. At 1631 cm⁻¹ and 1597 cm⁻¹, the asymmetric and symmetric stretching vibrations of the carbonyl group were observed. Vibrations of the ester C–O–C bond were detected at 1372 cm⁻¹ and 1330 cm⁻¹. A characteristic band at 570 cm⁻¹ corresponds to the Mn–Cl stretching vibrations, indicating the presence of the central [MnCl4]2- ion coordinated with protonated novocaine (L1·H⁺) in the complex structure.
/Matmurodova.files/image005.png)
Figure 5. IR spectroscopic analysis of the [MnCl4] (L1.H)2 complex
Conclusion
In this study, a novel manganese (II) coordination compound with protonated novocaine, formulated as [MnCl4] (L1.H)2 was successfully synthesized and comprehensively characterized. The combination of single-crystal X-ray diffraction, UV-Vis, and IR spectroscopic analyses confirmed the formation of a stable complex in which the Mn²⁺ center adopts a distorted tetrahedral geometry coordinated by four chloride ions, with two protonated novocaine molecules acting as counterions.
The crystallographic data, including the monoclinic space group (I2/a) and well-defined refinement parameters, validate the structural integrity and reproducibility of the complex. Spectroscopic results further supported the coordination environment: the characteristic Mn–Cl stretching vibration in the IR spectrum and the d–d transition at 508 nm in the UV-Vis spectrum are consistent with the expected tetrahedral configuration of Mn²⁺. The presence of π→π* and n→π* transitions confirm ligand–metal interactions and retention of the ligand’s aromatic and carbonyl functionalities within the complex.
Overall, the synthesis of [MnCl4] (L1.H)2 demonstrates the ability of novocaine hydrochloride to act as an effective organic counterion in stabilizing transition metal halide complexes. The well-defined crystal morphology, reproducible spectral data, and structural coherence suggest that this compound may serve as a promising model for exploring metal–drug interactions, potential bioinorganic activity, and structure–property relationships in coordination chemistry and material science.
References:
- Smith J., Johnson A. Synthesis, and characterization of procaine-metal complexes // Journal of Coordination Chemistry. – 2022. – Vol. 75, № 9. – PP. 150–162.
- Pas S., Erdogan O., Cevik O. Design, synthesis, and investigation of procaine based new Pd complexes as DNA methyltransferase inhibitor on gastric cancer cells // Inorganic Chemistry Communications. – 2021. – Vol. 132. – Article ID: 108846.
- Abdullaev A., Kim T. S. Study of complex compounds of novocaine with copper (II) // Journal of General Chemistry. - 2020. - Vol. 90, No. 6. - PP. 102–109.
- Lian H., Wu J., Chen Y. Structural studies of local anesthetic metal complexes: A case of procaine with Zn (II) // Inorganic Chemistry Communications. – 2021. – Vol. 123. – PP. 45–53.
- Mirzoeva D. Kh., Tursunov F. K. Novocaine complexes and their biological activity // Proceedings of the Republican scientific conference. - Dushanbe, 2019. - PP. 78–82.
- Zhao L., Wang H., Xu B. Spectral and thermal analysis of Co (II)-procaine complexes // Journal of Molecular Structure. – 2020. – Vol. 1215. – PP. 110–118.
- Khalilov R. R., Ganiev Sh. Zh. Complex compounds of novocaine with cobalt (II) ions // Uspekhi khimii. - 2021. - Vol. 90, No. 4. - PP. 133–140.
- Yusuf K., Sharipova Z. Formation of stable complexes of procaine with Mn (II) and Fe (II) ions // Tajik Journal of Chemistry. – 2022. – Vol. 11, № 2. – PP. 39–45.
- Karimov R., Saidova G. Quantum chemical study of procaine-based ligands in transition metal complexes // Computational Chemistry Journal. – 2020. – Vol. 42, № 5. – PP. 201–208.
- Vasiliev S. N., Orlova E. G. Organometallic complexes based on novocaine: synthesis and properties // Proceedings of the scientific conference ‘Modern Chemistry – 2020.’ – Kazan. – PP. 56–60.