преподаватель кафедры Химия и нефтегазовые технологии, Бухарский государственный университет, Республика Узбекистан, г. Бухара
ОПТИМИЗАЦИЯ СОСТАВА ЗАГУЩАЮЩИХ КОМПОЗИЦИЙ ДЛЯ ПОВЫШЕНИЯ КАЧЕСТВА ПЕЧАТИ СМЕСОВЫХ ТКАНЕЙ АКТИВНЫМИ КРАСИТЕЛЯМИ
АННОТАЦИЯ
В работе представлены результаты исследования влияния состава полимерных загущающих систем на качество печати смесовых тканей активными красителями. В качестве загустителя печатных красок использованы композиции на основе модифицированного крахмала, поливинилового спирта (ПВС) и акриловой эмульсии (АЭ). Проведён комплексный анализ реологических и колористических характеристик загущающих композиций и их взаимодействия с активными красителями различных классов.
Установлено, что варьирование соотношения компонентов композиции оказывает существенное влияние на интенсивность окраски и степень фиксации красителя. Оптимальные результаты достигнуты при содержании модифицированного крахмала 6–7 %, ПВС 1,0–1,5 % и АЭ 1,0–2,0 %, когда степень фиксации красителя увеличивается до 97 %, а интенсивность окраски — до 79 %. Сравнение с промышленными загустителями (альгинат натрия, Сольвитоза С-5) показало, что разработанные композиции обеспечивают более глубокий цвет, равномерность окраски и высокую устойчивость к стирке и трению.
Предложенные загущающие системы являются экономичной и технологически эффективной альтернативой импортным аналогам и могут применяться при печатании тканей, содержащих волокна различной природы.
ABSTRACT
The study presents the results of investigating the influence of the composition of polymer-based thickening systems on the print quality of blended fabrics dyed with reactive dyes. Thickening compositions based on modified starch, polyvinyl alcohol (PVA), and acrylic emulsion (AE) were used as thickeners for printing pastes. A comprehensive analysis of the rheological and coloristic properties of the thickening compositions and their interaction with reactive dyes of different classes was carried out.
It was found that the variation in component ratios significantly affects color intensity and dye fixation. The optimal results were achieved at concentrations of 6–7% modified starch, 1.0–1.5% PVA, and 1.0–2.0% AE, where dye fixation reached 97% and color intensity 79%. Compared to industrial thickeners such as sodium alginate and Solvitose S-5, the proposed formulations provide deeper coloration, improved print uniformity, and high resistance to washing and rubbing.
The developed thickening systems can serve as a cost-effective and technologically efficient alternative to imported thickeners for the textile printing of blended fabrics containing fibers of various origins.
Ключевые слова: модифицированный крахмал, поливиниловый спирт, акриловая эмульсия, активные красители, текстильная печать, смесовые ткани, степень фиксации, насыщенность окраски, устойчивость окраски, загущающие композиции.
Keywords:modified starch, polyvinyl alcohol, acrylic emulsion, reactive dyes, textile printing, blended fabric, dye fixation, color intensity, color fastness, thickening compositions.
ВВЕДЕНИЕ
Необходимо подчеркнуть, что при печатании смесовых тканей, особенно содержащих как природные, так и синтетические волокна (например, шёлковые и ацетатные), особое значение имеет правильный выбор загустителя. Это обусловлено тем, что большинство традиционно применяемых загустителей представляют собой высокомолекулярные соединения, содержащие гидроксильные группы, то есть полисахариды, близкие по химическому строению к целлюлозе[1-3].
Производственный опыт показывает, что наилучшие результаты при печатании тканей обеспечивают загустители на основе альгината натрия, а также некоторые синтетические системы. Однако требования, предъявляемые к таким загусткам, достаточно сложны, и полностью удовлетворяющих им составов пока не существует. В реальных условиях производства их использование часто ограничивается высокой стоимостью и чувствительностью к жёсткости воды и колебаниям рН среды.
Импортные загустители, включая крахмальные эфиры(«Сольвитоза С-5», «Эмпринт», «Манутекс» и другие аналоги), обладают хорошими технологическими свойствами, но их высокая цена затрудняет широкое промышленное применение.
Целью исследования является изучение загущающей способностикомпозиций на основе модифицированного крахмала, поливинилового спирта и акриловой эмульсии при печатании смесовых шелковых и ацетатных тканей,так как предложенный загущающий состав представляется перспективной альтернативой дорогостоящим импортным продуктам при печатании смесовых тканей активными красителями[4-7].
МАТЕРИАЛЫ И МЕТОДЫ
Для проведения экспериментов по печатанию смесовых тканей, состоящих из шёлковых и ацетатных волокон, их брали в соотношении 55:45. В качестве красителей применены активные красители ярко-красный 5СХ, Ремазол ярко-синий Р и оранжевый 2КТ. Выбор данных красителей обусловлен их широкой областью применения для окрашивания шёлковых, ацетатных и смесовых тканей, а также способностью обеспечивать насыщенные и стойкие цвета при физико-химических воздействиях.
В качестве основных компонентов разработанных композиций использованы модифицированный крахмал с регулируемой степенью окисления, поливиниловый спирт (ПВС) и акриловая эмульсия (АЭ), которые обеспечивают оптимальное сочетание реологических и пленкообразующих свойств.
Оценка устойчивости окрасок окрашенных или напечатанных тканей производилась согласно ГОСТ 9733.0-83 «Методы испытания устойчивости окрасок к трению. Общие положения», ГОСТ 0733.27-83 «Методы испытания устойчивости окрасок к трению» и ГОСТ 9733.4-83 «Методы испытания устойчивости окрасок к стирке».
РЕЗУЛЬТАТЫ И ОБСУЖДЕНИЕ
Как известно, молекулы активных красителей содержат реакционноспособные группы, которые во время термофиксации образуют прочные ковалентные связи с функциональными группами волокон. Эти связи обладают значительно большей энергией (215–300 кДж/моль) по сравнению с водородными (20–30 кДж/моль) и межмолекулярными взаимодействиями, что обеспечивает высокую стойкость окраски к стирке, трению и действию реагентов. В результате печатания активный краситель становится структурной частью макромолекулы волокна, благодаря чему повышается степень его фиксации и устойчивость окрашенных тканей к физико-химическим воздействиям [8-10].
Предварительные эксперименты показали, что введение ПВС способствует увеличению эластичности печатной пасты и равномерности переноса красителя на ткань, тогда как акриловая эмульсия повышает адгезию и стабилизирует структуру композиции при сушке. Такое сочетание природных и синтетических полимеров позволяет снизить чувствительность загустителя к колебаниям pH и жёсткости воды, а также обеспечивает более чёткое воспроизведение печатного рисунка.
Для оценки эффективности разработанных систем были использованы активные красители различной химической природы — ярко-красный 5СХ, ремазол ярко-синий Р и оранжевый 2КТ. Эти красители выбраны в связи с их высокой реакционной способностью, устойчивостью к мокрым обработкам и способностью формировать прочные ковалентные связи с гидроксильными группами целлюлозных волокон.
Активные красители представляют собой соединения общего типа:
NaSO3–R–T–X, где сущность функциональных групп заключается в следующем:
• SO3Na — в процессе крашения обеспечивает гидрофильность и растворимость в воде;
• R — органический радикал, который характеризует спектральные параметры и цветовой тон;
• T — выполняет роль мостикового звена, связывающего активную группу красителя с функциональными группами волокна;
• X — функциональная группа, способная вступать в реакцию с функциональными группами шелковых и ацетатных волокон.
Исходя из вышеуказанных сведений, активные красители по природе активных центров делятся на следующие классы: триазиновые, винилсульфоновые и гетероциклические. Несмотря на общую реакционную способность, различия в строении активных групп определяют скорость диффузии, сродство к волокну и условия фиксации [11-13].
В представленной работе активные красители разных типов применялись для сравнительной оценки влияния состава загущающей системы на интенсивность и равномерность окраски. Установлено, что композиции с повышенным содержанием акриловой эмульсии обеспечивают более глубокую фиксацию красителя и повышают блеск окраски, тогда как увеличение доли ПВС способствует улучшению равномерности распределения красителя и снижению дефектов на печатном поле.
Таким образом, новая композиция на основе модифицированного крахмала, ПВС и АЭ обеспечивает технологическое преимущество перед традиционными загустителями за счёт улучшенного баланса между вязкостью, структурной устойчивостью и адгезионной способностью к волокну.
Структурные формулы использованных активных красителей приведены на рисунках:
/Mutalipova.files/image001.jpg)
Активный ярко-красный 5СХ (дихлортриазиновый тип)
/Mutalipova.files/image002.jpg)
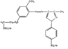
Ремазол ярко-синий Р (винилсульфоновый тип)
/Mutalipova.files/image003.png)
Оранжевый 2КТ (винилсульфоновый тип)
Каждое соединение имеет характерные функциональные группы, которые определяют не только оттенок окраски, но и обеспечивают высокую реакционную способность красителя с гидроксильными группами целлюлозы, что сопровождается образованием ковалентных связей. Благодаря таким реакционноспособным центрам становится возможным увеличение степени и прочности фиксации красителя в структуре волокна, а также достигается высокая устойчивость окраски текстильных материалов [14-15].
Проведённые экспериментальные исследования подтвердили, что компоненты загущающих полимерных систем (модифицированный крахмал, поливиниловый спирт и акриловая эмульсия) химически и коллоидно совместимы с выбранными активными красителями. Это обеспечивает стабильность печатных паст и равномерное распределение красителя при печати тканей.
Для оценки влияния состава загущающих композиций на качество и устойчивость окрашивания были исследованы следующие параметры, являющиеся основными факторами, определяющими как колористические, так и эксплуатационные характеристики отпечатанных тканей [16-17]:
- степень фиксации красителя на волокне и интенсивность окраски;
- устойчивость окраски к мокрым обработкам (стирке, воздействию пота);
- устойчивость к механическим воздействиям (трение в сухом и мокром состоянии).
Таблица 1.
Влияние состава полимерных загущающих систем на качество окрашивания и устойчивость печатных рисунков на смесовых тканях
|
Тип исследуемой системы |
Основные компоненты композиции |
Кон-цент-рация ,% |
Применённый активный краситель
|
Интенсивность цвета, % |
Коэффициент фиксации, % |
Устойчивость окраски при мокрых воздействиях |
|
|
стирке №1 |
Поту |
||||||
|
Полимерная система на основе: |
Модифицированного крахмала |
5,0 |
Активный красный 5СХ |
74,8 |
95,6 |
5/4
|
5/4
|
|
Поливинилового спирта (ПВС) |
1,5 |
Ремазол ярко-синего Р |
68,2 |
92,8 |
4/4
|
4/4
|
|
|
Акриловой эмульсии (АЭ) |
2,0 |
Оранжевый 2КТ |
61,5 |
88,4 |
5/4
|
5/5
|
|
|
Полимерная система с увеличенным содержанием крахмала: |
Модифицированный крахмал |
6,0 |
Активный красный 5СХ |
77,5 |
96,3 |
5/4
|
5/4
|
|
ПВС |
1,0 |
Ремазол ярко-синего Р |
69,7 |
91,5 |
4/4
|
4/4 |
|
|
АЭ |
1,5 |
Оранжевый 2КТ |
63,4 |
87,6 |
4/4 |
4/4 |
|
|
Оптимизированная система на основе комбинированных полимеров: |
Модифицированного крахмала |
7,0 |
Активный красный 5СХ |
79,6 |
97,1 |
5/5 |
5/5 |
|
ПВС |
0,5 |
Ремазол ярко-синего Р |
67,8 |
90,4 |
4/4 |
4/4 |
|
|
АЭ |
1,0 |
Оранжевый 2КТ |
60,2 |
85,9 |
4/4 |
4/4 |
|
|
Контрольные образцы (по действующим промышленным рецептурам): |
Альгинат натрия |
4,5 |
Активный красный 5СХ |
66,1 |
88,7 |
5/4 |
5/4 |
|
Сольвитоза С-5 |
7,0 |
Оранжевый 2КТ |
77,9 |
79,8 |
5/5 |
5/4 |
|
Указанные параметры определялись по стандартным методикам, принятым в текстильной промышленности и относящимся к материалам отделочного производства.
Результаты полученных экспериментальных данных приведены в табл.1.
Анализ полученных экспериментальных данных показывает, что все показатели качества окрашивания смесовых тканей при использовании разработанных загущающих систем практически близки к результатам, полученным при применении промышленного альгината натрия и загустителя«Сольвитоза С-5».
Так, интенсивность окраски при использовании композиции на основе модифицированного крахмала и ПВС составила 79,6 % для активного красителя ярко-красного 5СХ, 69,7 % для ремазола ярко-синего Р и 60,2 % для оранжевого 2КТ, тогда как для контрольных образцов данные значения не превышали 56,1–47,9 % соответственно.
Сравнение показателей фиксации красителя свидетельствует о более высоком уровне взаимодействия красителей с волокном при применении предложенных загущающих систем. Степень фиксации составила 97,1 % для красителя ярко-красного 5СХ, 91,5 % для ремазола ярко-синего Р и 85,9 % для оранжевого 2КТ, что заметно выше, чем у контрольных образцов (84,1 %, 81,3 % и 69,8 % соответственно).
Более высокая степень фиксации активных красителей указывает на оптимальное распределение компонентов загущающей композиции, обеспечивающее эффективное взаимодействие красителя с гидроксильными группами целлюлозы. Можно предположить, что молекулы ярко-красного 5СХ обладают меньшей склонностью к агрегации, вследствие чего в растворе преобладают более дисперсные фракции, что способствует повышению адсорбции и глубины окрашивания.
Различия в интенсивности цвета для исследованных красителей (79,6 %, 69,7 % и 60,2 % соответственно для 5СХ, Ремазола и 2КТ) объясняются их химическим строением и реакционной способностью активных групп. В частности, триазиновые красители, такие как ярко-красный 5СХ, проявляют более высокую активность в образовании ковалентных связей с волокном, чем винилсульфоновые аналоги, что обеспечивает насыщенный и устойчивый цветовой тон готового изделия.
ЗАКЛЮЧЕНИЕ
Таким образом, теоретические и экспериментальные данные подтверждают эффективность разработанного подхода к процессу печатания смесовых тканей из шёлковых и ацетатных волокон. Использование загущающих композиций на основе модифицированного крахмала, поливинилового спирта и акриловой эмульсии позволяет сократить технологическую стадийность, снизить себестоимость печати и одновременно повысить качество и равномерность окрашивания.
Кроме экономических преимуществ, разработанные композиции обеспечивают улучшение колористических характеристик и устойчивости окраски к физико-механическим воздействиям. Это делает их перспективными для промышленного применения в текстильных предприятиях при печатании смесовых тканей различного состава.
Список литературы:
- Mongkholrattanasit R., Klaichoi C., Rungruangkitkrai N. Reactive dye printing on cotton fabric using modified starch of wild taro corms as a new thickening agent. // Cellulose Chemistry and Technology, 2021, 55(9–10), 1119–1129.
- Islam S., Al Mamun M.A., Abdullah M. Effect of natural thickener on printing performance over pretreated cotton woven fabric with reactive dye. // Heliyon, 2024, Article S2405-8440(24)07255; 1–16 pp.
- Ibrahim N.A. A novel reactive printing paste urea-free for various cellulosic fabrics. // Journal of Textiles, Coloration and Polymer Science, 2024 (Vol. 21, спец.вып.), 1–6 pp.
- Ebrahim S.A., Othman H.A., Mosaad M.M., Hassabo A.G. Eco-Friendly Natural Thickener (Pectin) Extracted from Fruit Peels for Valuable Utilization in Textile Printing as a Thickening Agent. // Textiles (MDPI), 2023, 3(1), 26–49.
- Siddiqua U.H., Iqbal M., Khan M. Relationship between reactive group chemistry and printing performance of reactive dyes on cotton. // Scientific Reports, 2023, 13, Article 33819; 1–13 pp.
- Tahsin S., Khan M., Siddiqua U.H. Biodegradable printing on cotton and polycotton blends. // Scientific Reports, 2025, 15, Article 99507; 1–16 pp.
- Othman H.A., Hassabo A.G. Various Printing Techniques of Viscose/Polyester Fabric to Enhancing its Performance Properties // J. Text. Color. Polym. Sci., 2023, 20(2), 285–295 pp.
- Abd El-Rahman A.A., Nassar S.H., El-Sayad H., Elshemy N.S. Advancements in Thickening Agents Used in Textile Printing. // Egyptian Journal of Chemistry, 2022, 65(1), 565–579.
- Hassabo A.G., Mohamed N.K., Abd El-Salam N.A., Gouda N.Z., Othman H. Application of Modified Xanthan as Thickener in the Printing of Natural and Synthetic Fabrics. // J. Text. Color. Polym. Sci., 2023, 20(1), 41–56.
- Hassabo A.G., Abd El-Salam N.A., Mohamed N.A., Gouda N.Z., Othman H. Potential Application of Natural Gums Suitable as Thickeners in Textile Printing. // J. Text. Color. Polym. Sci., 2023, 20(1), 57–65.
- Hamdy D.M., Hassabo A.G., Othman H. Recent Use of Natural Thickeners in the Printing Process (A Mini-Review). // J. Text. Color. Polym. Sci., 2021, 18(2), 75–81.
- Mousa A.A., El-Shishtawy R.M. A novel green approach for reactive printing of cotton/cellulosic regenerated blended fabrics using trisodium nitrilotriacetate (TNA) // Scientific Reports, 2024, 14, Article 24981.
- Akter N., Fijan S., Kralj S. The influence of mixed thickeners on printing over lyocell fabric using reactive dyes. // Heliyon, 2023, 1–13 pp.
- Othman H.A. Various Printing Techniques of Intelligent Lyocell Fabric to Enhancing its Performance Properties // Egyptian Journal of Chemistry, 2023, 66(12), 1–7 pp.
- Lewis D.M., Parvizi-Khosroshahi M., Lewis S.H. Investigation into the reaction of reactive dyes with carboxylate salts and the implications for ink-jet printing on cotton. // Coloration Technology, 2022; 1–17 pp.
- Третьякова А.Е., СафоновВ.В., Красильникова Е.В. Исследованиевлияния солей переходных металлов на качество печати активнымикрасителями хлопчатобумажной ткани // Известия ВУЗов. Технологиятекстильной промышленности. 2007. №2.- с.61-63.
- Михайловская А.П., Калугина М.С. Крашение хлопчатобумажных текстильных материалов активными красителями в присутствиичетвертичных аммониевых солей // Технология легкой промышленностисерии Известия вузов, 2014. - № 3. - С. 33-35.