докторант, Национальный университет Узбекистана имени Мирзо Улугбека, Республика Узбекистан, г. Ташкент
СОРБЦИЯ РОДАМИНА C ИЗ ВОДНЫХ РАСТВОРОВ ПОЛИМЕРНЫМИ КОМПОЗИЦИЯМИ НА ОСНОВЕ ЭПОКСИДНЫХ ПОЛИМЕРОВ И МОНТМОРИЛЛОНИТА
АННОТАЦИЯ
В работе получены полимерные композиции на основе эпоксидных полимеров и монтморрилонита с целью использования их в качестве сорбентов. Композиции получены полимеризацией эпоксидной смолы (ЭС) с полиэтиленполиамином (ПЭПА) в присутствии монтмориллонита. Содержание монтмориллонита в составе композита составляло от 5 до 40 масс.%. На основе анализа рамановских спектров и рентгенофазовых дифрактограмм композиций предположено, что они являются микрокомпозитами. Анализ текстурыкомпозиций на основе данных полученных при низкотемпературной сорбции-десорбции азота показал, что они имеют пористую структуру, состоящую из мезо- и микропор,в диапазонах 10–30 и 80–200 нм. Изучена сорбция Родамина С композитами из водных растворов при различных температурах. При этом выявлено, что процесс сорбции красителя композициями имеет химический характер.
ABSTRACT
Polymer composites based on epoxy polymers and montmorillonite were synthesized with the aim of their application as sorbents. The composites were obtained by the polymerization of epoxy resin (ER) with polyethylene polyamine (PEPA) in the presence of montmorillonite. The montmorillonite content in the composites ranged from 5 to 40 wt.%. Based on the analysis of Raman spectra and X-ray diffraction patterns, it was assumed that the obtained materials represent micro composites. Textural analysis of the composites, carried out using low-temperature nitrogen adsorption–desorption data, demonstrated that they possess a porous structure composed of mesopores and micropores within the ranges of 10–30 nm and 80–200 nm. The sorption of Rhodamine C from aqueous solutions by the composites was studied at different temperatures. The results revealed that the sorption process of the dye onto the composites proceeds through a chemical mechanism.
Ключевые слова: полимерная композиция, сорбент, эпоксидная смола, полиэтиленполиамин, монтмориллонит, сорбция, Родамин C.
Keywords: polymer composite, sorbent, epoxy resin, polyethylene polyamine, montmorillonite, sorption, Rhodamine C.
Введение
В настоящее время с увеличением числа химических промышленных предприятий во всем мире все актуальнее становится проблема загрязнения окружающей среды, особенно водных ресурсов. Одними из наиболее вредных химических веществ, загрязняющих воду, являются синтетические органические красители, которые широко используются в строительной, пищевой, текстильной, косметической, фармацевтической и других производствах [1, 3]. Так как они представляют серьезную экологическую угрозу из-за высокой токсичности и канцерогенности, даже низкая концентрация их в воде представляет опасность для здоровья человека и биосферы. Поэтому эффективное удаление красителей из сточных вод является одним из приоритетных направлений химической и инженерной экологии [4, 5].
Среди разнообразных методов очистки сточных вод от химических веществ адсорбционная очистка их сорбентами является одним из самых эффективным, экономичным и технологичным. Для этого в основном используются полимерные сорбенты, благодаря их высоким техническим характеристикам, реже сорбенты минерального происхождения, хотя они отличаются большей экологичностью. В связи с этим в последнее время растет интерес использования в качестве сорбентов различных композиционных материалов, полученных на основе полимеров и природных минералов. Так как использование природных минералов, таких как бентонит, сапонит, цеолит в качестве компонентов композитов приводит не только к удешевлению себестоимости полученных сорбентов, а также и повышению их экологической безопасности [6,7].
Анализ исследований, проводимых в данной области, показывает, что сорбенты, полученные введением бентонитовых глин в состав полимеров перспективны для очистки сточных вод как от органических, так и неорганических веществ [8-10]. Поэтому целью данной работы является получение новых видов композиционных материалов на основе эпоксидных полимеров и монтмориллонита, а такжеисследование сорбции органического красителя Родамин С из водных растворов этими композитами.
Материалы и методы
Материалы и реактивы. Бентонитовая глина (БГ)- щелочная,месторождения «Майский» (Узбекистан); полиэтиленполиамин (ПЭПА) – высший сорт (ТУ-2413-010-75678843-2012); эпоксидная смола (ЭС)- марки ЭД-20 (Россия); Родамин С (C₂₈H₃₁O₃N₂Cl)-марки ч.д.а (Россия).
Очистка бентонита и выделение монтмориллонита. Очистку бентонита осуществляли методом отмучивания в воде. При этом выход монтмориллонита составил 72 % от исходной массы глины.
Получение композиционного материала. В водную суспензию монтмориллонита вносились необходимые количества ПЭПА и ЭС марки ЭД-20. При этом для получения однородной реакционной смеси, как суспензию минерала, так и всю реакционную смесь подвергали воздействию ультразвука. Реакция поликонденсации проводилась при температуре 80 °С в течение 4 часов. Изменением состава компонентов в реакционной смеси получены полимерные композиции, содержащие в своем составе от 5 до 40 масс.% монтмориллонита. После завершения процесса образцы композиции измельчали в лабораторной мельнице, отсеивали на фракции по размеру, промывали дистиллированной водой до нейтральной среды и сушили при температуре 50-60 ℃ до постоянной массы.
Рамановские спектры образцов снимались на приборе Renishaw InVia (Великобритания). В качестве источника возбуждения использовался DPSS-лазер Cobolt CW мощностью 100 мВт с длиной волны 532 нм.
Текстурные характеристики сорбента определялись методом низкотемпературной адсорбции-десорбции азотом. Квантово-химические расчеты проводились методомДФТ(Теория функционала плотности) с использованием программного пакета Gaussian 09.
Рентгенофазовый анализ (РФА) образцов материаловпроводился с использованием рентгеновского дифрактометра MiniFlexXRD 300/600 (Япония), оснащенного гибридным пиксельно-матричным детектором HyPix-400 MF 2D (HPAD).
Сорбция Родамина Сиз его водных растворов сорбентами изучали в статических условиях. Концентрацию красителя в растворе определяли спектрофотометрическим методом, с помощью спектрофотометра марки UV-VIS 5100 (Китай), при длине волны 610 нм. В качестве сорбентов использовали фракцию композита с средним диаметром 0,5 мм, выделенную просеиванием его через набор стандартных сит.
Полученные результаты и их обсуждение
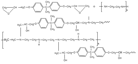
Как известно, что основу БГ составляет монтмориллонит, минерал, обладающий слоистой структурой [7–8]. В определенных условиях методом интеркаляции имеется возможность введения в межслойное область монтмориллонита различных органических веществ и полимеров. Данный метод широко используется для получения органо-минеральных композиций [9–10]. В работе для получения полимер-бентонитовой композиции был применен данный подход, заключающийся в полимеризации олигомеров в присутствии монтмориллонита. Для этого в межслоевые области монтмориллонита были введены ПЭПА и ЭС методами механического смешивания и ультразвуковой диспергации частиц минерала. Далее приполиконденсацией ПЭПА и ЭС в определенных условиях происходит образование полимера, имеющего структуру пространственной полимерной сетки. При этом присутствующие в реакционной смеси частицы монтмориллонита заполняют ячейки полимерной сетки, образуя полимер-монтмориллонитовую композицию. Образование полимерной сетки при поликонденсации ПЭПА с ЭС можно описать с помощью реакции (рис. 1):
/Khidirova.files/1.png)
Рисунок 1. Реакция образования сшитого полимера при поликонденсации ПЭПА с ЭС
В ходе экспериментов были получены полимерные композиции, содержащие в своем составе от 5 до 40 масс.% монтмориллонита. Дальнейшее увеличение содержания минерала в композиции приводит к ухудшению его механических свойств, что не позволяет использование его в качестве сорбента.
Идентификацию строения полученных полимерных композиций проводили на основе анализа их рамановских спектров.
На рис.2. приведены рамановские спектры исходного минерала монтмориллонита и полимерной композиции на его основе.
/Khidirova.files/image003.jpg)
Рисунок 2. Рамановские спектры монтмориллонита (а) и полимерной композиции (б), содержащей в своем составе 40масс.% минерала
Как видно из рамановского спектра монтмориллонита на рис.2.а., имеются полосы в области 1030–1050 см⁻¹ (валентные колебания связи –Si–O), 790–800 см-1 (связанные с тетраэдрами –SiO4), а также 460–470 см-1 (характерные для связи O–Si–O) указывающие наличие в нем оксида кремния в составе минерала. Полосы в области 3400 и 1630–1650 см-1 соответствуют колебаниям молекул воды. Интенсивная полоса в области 910–920 см-1 связана с колебаниями группы –Al–OH. А полоса в области 520–550 см-1соответствует деформационным колебаниям –Si–O–Al, что подтверждает устойчивость алюмосиликатного каркаса.
В рамановском-спектре композиции, представленной на рис.2.б, сохраняются полосы колебаний групп, входящих в состав бентонитовой глины. Вместе с тем, в области 1630–1650 см-1 появляются интенсивные полосы, которые относятся к группам –NH2 и –NH в структуре полимера. Полосы в области 2920–2850 см-1 соответствуют асимметричным и симметричным колебаниям групп –CH2 и –CH3 в полимерной цепи. Полоса в области 1250–1050 см-1 (интенсивная) соответствует валентным колебаниям –C–O–C (характерным для эпоксидной смолы).
Таким образом, анализ рамановских спектров минерала и композиции показывает, что характерные полосы, свидетельствующие о протекании химической реакции с образованием ковалентных связей между компонентами, отсутствуют. Между ними могут существовать только электростатические и другие слабые взаимодействия.
Изменения, происходящие в структуре монтмориллонита в процессе получения композитов, исследованы анализом их ренгенографазовых дифрактограмм (рис.3).
/Khidirova.files/image005.gif)
Рисунок 3. Рентгеновские дифрактограммы монтмориллонита (а) и композиции на его основе (б)
На дифрактограмме монтмориллонита (рис.3.а.) видны несколько чётких пиков, указывающие его кристаллическую структуру. А на дифрактограмме композита (рис.3.б.) содержащего 40 масс.% монтмориллонита, наблюдается только частичное проявление кристалличности. Это указывает на то, что в процессе получения композиции происходит частичное разрушение структуры минерала, то есть, эксфолиация - разделение слоистой структуры монтмориллонита на отдельные слои.
Известно, что пористость и размеры пор сорбентов играет ключевую роль в их адсорбционной эффективности. Чем больше пор, тем выше сорбционная ёмкость сорбента, но при этом важно учитывать и размер пор, так как он определяет, какие именно вещества могут быть сорбированы. Учитывая это в работе методом низкотемпературной адсорбции и десорбции азота на композициях определяли их текстурные характеристики.
Размеры пор рассчитывали кванто-химическим методом DFT (density functional theory, или теория функционала плотности), результаты которого приведены на гистограмме, на рис.4.
/Khidirova.files/image006.jpg)
Рисунок 4. Гистограмма распределения объёма пор композиций, содержащих 40 масс.% бентонита
Из рис.4 видно, что в композициях присутствуют поры двух типов: в диапазонах 10–30 нм и 80–200 нм. Это показывает на наличие микро- и мезопор в структуре композита. Анализ этих кривых указывает, что поры в композиции имеют узкую цилиндрическую форму. При этом рассчитанное значение удельной поверхности композиций равно18,17 м²/г. В целом, на основе порового анализа пришли к выводу, что композиции обладают развитой пористой структурой, значительной удельной поверхностью.
С целью определения сорбционной способности полимерных композиций по отношению к синтетическим красительям исследована сорбция Родамина С из водных растворов данными композитами. Выбор в качестве сорбтива Родамина С было обусловлено его широким применением для окрашивания различных материалов в производстве. Эксперименты показали, что сорбция красителя из раствора сорбентом происходит самопроизвольно.
Кинетические кривые сорбции красителя при различных температурах приведены на рис.5.
/Khidirova.files/image007.gif)
Рисунок 5. Кинетические кривые сорбции Родамин C композициями из водных растворов
Как видно из рис.5, с повышением температуры увеличивается сорбция красителя. Это указывает, что процесс сорбции имеет химический характер.
На основе полученных экспериментальных данных были рассчитаны значения ΔG процесса сорбции с использованием уравнения ΔG = –RTlnK графическим методом (рис.6), а из уравнения ΔG = ΔH – TΔS были найдены значения ΔH и ΔS.
/Khidirova.files/image008.jpg)
Рисунок 6. Зависимость lnKL от 1/T
В таблице представлены значения основныхтермодинамических функций процесса сорбции РодаминС из водного раствора полимерной композицией.
Таблица.
Значения термодинамических функций при сорбции РодаминаС из их водных растворов композициями при различных температурах
|
Т, К |
1/T, моль/л |
-DG, Дж/моль кЖ |
DH, Дж/моль |
DS, Dж/моль·К |
|
293 |
0,0034 |
-13836,9 |
374,90 |
48,50 |
|
308 |
0,0033 |
-14393,7 |
47,50 |
|
|
323 |
0,0031 |
-14953,2 |
47,77 |
Как видно из таблицы, процесс сорбции сопровождается уменьшением свободной энергии, то есть самопроизвольно. При этом процесс сопровождается выделением тепла, которое возможно при хемосорбции только когда между адсорбентом и адсорбатом возникают химические связи или ионообменные процессы.
Выводы
Интеркаляционной поликонденсацией ПЭПА с ЭС методом “in situ” в суспензии монтморилонита получены полимерные композиции, содержащие до 40 масс.% минерала в своем составе. Исследована структура полученного материала методами рамановской спектроскопии и рентгенофазового анализа, на основе которых предложена их предполагаемая структура. Изучена сорбция Родамина С из водных растворов в статических условиях. Выявлено, что сорбция Родамина С сорбентом увеличивается с повышением температуры среды, что указывает на химический характер процесса. Определены термодинамические функции процесса сорбции красителя сорбентом, на основе анализа которых, было предположено, что сорбция протекает за счет ионообменных процессов. Проведённые исследования показывают, что данные композиции в перспективе могут быть использованы в качестве сорбентов для очистки сточных вод различных предприятий от синтетических красителей.
Список литературы:
- Volesky B. Detoxification of metal-bearing effluents: biosorption for the next century // Hydrometallurgy. – 2001. – Т. 59. – № 2–3. – С. 203–216.
- Deng L. et al. Biosorption of copper (II) and lead (II) from aqueous solutions by nonliving green algae Cladophora fascicularis: equilibrium, kinetics and environmental effects // Adsorption. – 2006. – Т. 12. – С. 267–277.
- King P. et al. Removal of lead from aqueous solution using Syzygium cumini L.: equilibrium and kinetic studies // Journal of Hazardous Materials. – 2007. – Т. 142. – № 1–2. – С. 340–347.
- Makhkamov M., Mirzakulov U., Xidirova M., Abdugapporova G. Sorption of non-ferrous metal ions from aqueous solutions by polymer compositions based on polyacrylic acid and bentonite clay // Journal of Polymer Science. – 2024. – P. 1–9. – DOI: 10.1002/pol.20240474.
- Mirzakulov U., Makhkamov M., Khudoyberdiyev I. Sorption of Malachite Green by polymer composite sorbents from aqueous solution // American Journal of Polymer Science. – 2023. – Vol. 12, № 2. – P. 32–36. – DOI: 10.5923/j.ajps.20231202.02.
- Alsbaiee A., Smith B. J., Xiao L., Ling Y., Helbling D. E., Dichtel W. R. Rapid removal of organic micropollutants from water by a porous β-cyclodextrin polymer // Nature. – 2016. – Vol. 529, № 7585. – P. 190–194.
- Акимбаева А. М., Ергожин Е. Е., Садвакасова А. Б. Шунгитовые породы. Перспективы модификации и возможности использования // Химический журнал Казахстана. – 2003. – № 1. – С. 44–46.
- Xiong L., Hu X., Liu X., Tong Z. Network chain density and relaxation of in situ synthesized polyacrylamide/hectorite clay nanocomposite hydrogels with ultrahigh tensibility // Polymer. – 2008. – Vol. 49, № 23. – P. 5064–5071.
- Haraguchi K. Synthesis and properties of soft nanocomposite materials with novel organic/inorganic network structures // Polymer Journal. – 2011. – Vol. 43, № 3. – P. 223–241.
- Chen P., Xu S., Wu R., Wang J., Gu R., Du J. A transparent Laponite polymer nanocomposite hydrogel synthesis via in-situ copolymerization of two ionic monomers // Applied Clay Science. – 2013. – Vol. 72. – P. 196–200.