PhD Candidate, Department of Chemistry, Abdulla Qodiriy Jizzakh State Pedagogical University, Uzbekistan, Jizzakh
DETERMINATION OF Ni(II) IONS BY CYCLIC VOLTAMMETRY VIA o-NITROSOPHENOL
ABSTRACT
Nickel(II) ion exhibits both biological activity and toxicity, and its trace levels can significantly affect living organisms. Therefore, an effective cyclic voltammetric (CV) method was developed for the determination of Ni(II) ions, with a comprehensive study of their interaction with o-nitrosophenol (o-NP). The method's sensitivity was enhanced by optimizing experimental conditions. An acetate buffer solution with pH 5.1–5.4 was selected as the optimal medium to ensure adsorption of Ni(II) ions onto the electrode surface. Diffusion coefficients of the complexes were determined: for anodic and cathodic processes, D values were 2.25 × 10⁻¹ cm²/s and 1.57 × 10⁻¹ cm²/s, respectively, indicating predominantly diffusion-controlled electrochemical behavior. Ni(II) ions were preconcentrated at a potential of 0.500 V for 20 seconds. The limits of detection (LOD) and quantification (LOQ) were 0.033 µg/L and 0.101 µg/L, respectively. The method was successfully applied to water samples from the Aydar-Arnasay lake system.
АННОТАЦИЯ
Ион никеля(II) обладает как биологической активностью, так и токсичностью, и его следовые количества могут существенно влиять на жизнедеятельность живых организмов. В связи с этим была разработана эффективная методика циклической вольтамперометрии (ЦВА) для определения Ni(II), при этом подробно исследовано его взаимодействие с о-нитрозофенолом (о-НФ). Для повышения чувствительности метода были оптимизированы экспериментальные условия. В качестве оптимальной среды выбрано ацетатное буферное решение с pH 5,1–5,4, обеспечивающее адсорбцию Ni(II) на поверхности электрода. Определены коэффициенты диффузии: для анодного и катодного процессов D составили 2,25 × 10⁻¹ и 1,57 × 10⁻¹ см²/с соответственно, что свидетельствует о диффузионном характере электрохимических процессов. Обогащение ионов никеля проводилось при потенциале 0,500 В в течение 20 секунд. Предел обнаружения (LOD) составил 0,033 мкг/л, предел количественного определения (LOQ) — 0,101 мкг/л. Метод успешно применён к анализу проб воды из Айдар-Арнасайской системы водоёмов.
Keywords: nickel(II) determination, cyclic voltammetry, o-nitrosophenol complexation, diffusion coefficient.
Ключевые слова: oпределение никеля(II), циклическая вольтамперометрия, комплексообразование с о-нитрозофенолом, коэффициент диффузии
Introduction
In recent years, increasing attention has been paid to the environmental and biological effects of heavy metals, especially nickel. Nickel (II) ions are commonly found in aquatic environments either in dissolved form or as coordination complexes with various ligands. The typical concentrations of Ni (II) range from 0.5 to 2 mg/L in seawater and approximately 0.3 mg/L in river water. Although nickel is recognized as an essential trace element for living organisms, excessive exposure can result in toxic, allergenic, and carcinogenic effects [1, 2]. Industrial wastewater represents the primary source of nickel contamination. Therefore, the development of sensitive and reliable analytical methods for the detection and monitoring of trace levels of Ni (II) in environmental samples remains a pressing and relevant task.
Therefore, one of the key tasks of analytical chemistry is to determine trace amounts of nickel and to assess its potential risks to biological systems. In this regard, several physicochemical methods with high sensitivity have been developed. These include colorimetric and spectrophotometric techniques [3]; liquid–liquid microextraction (LLME) and dispersive liquid–liquid microextraction (DLLME) based approaches [4]; luminescent sensors [5]; electrothermal atomic absorption spectrometry (ETAAS), flame atomic absorption spectrometry (FAAS), or atomic fluorescence spectrometry (AFS) [6]; wave transformation and real-time monitoring methods [7]; inductively coupled plasma optical emission spectrometry (ICP-OES) and inductively coupled plasma mass spectrometry (ICP-MS) [8].
Electroanalytical methods, particularly voltammetry, are of great importance. The effectiveness of such methods is directly related to the physicochemical properties of the electrode used. An ideal electrode must exhibit chemical inertness, mechanical stability, and a wide potential window. For instance, Ni (II) ions were determined by square-wave adsorptive stripping voltammetry (SWAdSV) using a bismuth film electrode (BiFE) in the presence of dimethylglyoxime (DMG), achieving a detection limit of 100 ng/L with a 3-second deposition time and a relative standard deviation of 2.3% for n = 8 at 90 seconds preconcentration. The method was successfully applied to river water samples [9]. Ni(II) ions in food samples were determined in the 1–10 ppm range using cyclic voltammetry (CV) on graphene screen-printed electrodes modified with bismuth oxide, DMG, and L-histidine [10]. Using CV with carbon-based biosensors modified with alginate, agar, chitosan, and carrageenan, Ni (II) was also determined; for 1% carrageenan, the sensitivity was 2.68, and for 0.5%, it was 2.08. The urease–carrageenan combination showed the highest sensitivity [11]. A carbon paste electrode modified with DMG (DMG/CPE) was used to determine Ni(II) ions by CV and differential pulse voltammetry (DPV), showing a linear range of 0.08–0.6 mg/L [12]. Using an Hg(Ag)FE electrode and 50 μM cyclohexanedione dioxime in a 0.1 M ammonia buffer, Co(II) and Ni(II) ions were determined at detection limits of 0.0035 μg/L and 0.013 μg/L, respectively, within 60 seconds [13]. For the detection of Ni(II) in cosmetic products, a paper-based printed sensor and a DMG-based DPAdSV method were employed, allowing determination up to 2 μM in standard solutions and 5 μM in real samples [14]. On a carbon paste electrode (CPE) in HCl medium (pH 3) at a potential of −1300 mV, the method achieved a detection limit of 0.005 μg/L and was successfully applied to tap and mineral water samples [15]. Using a DMG-modified carbon electrode, Ni(II) was analyzed in wastewater via the AdSV method, with a limit of detection (LOD) of 2.3 μg/L [16]. A Zn-MOF-modified CPE was employed to detect Ni(II) in water and food samples, achieving an LOD of 5.0×10⁻⁸ mol/L [17]. A Dowex 50W x12 resin-modified electrode enabled Ni(II) determination via AAdsSV with an LOD of 0.005 μg/L [18]. A 3D-printed DMG–graphite composite electrode based on ABS allowed Ni(II) analysis in the range of 5–100 μg/L, with an LOD of 1.693 μg/L [19].
These studies have demonstrated several analytical advantages, such as high sensitivity, low detection limits, and good repeatability. In the literature, sensitive voltammetric methods based primarily on square-wave adsorptive stripping voltammetry (SWAdSV) or differential pulse adsorptive stripping voltammetry (DPAdSV) have been developed using dimethylglyoxime (DMG) and related chelating agents on BiFE or HgFE electrodes. However, there is no available data on the determination of Ni (II) ions by cyclic voltammetry (CV) using nitroso-functionalized chromophoric reagents such as 1-nitroso-2-phenol (o-NF) on a silver amalgam film electrode (Hg (Ag)FE).
Although o-NF has previously been applied in spectrophotometric and spectrofluorimetric methods, its electrochemical properties have not yet been sufficiently investigated. Therefore, our study proposes the determination of Ni (II) ions using CV in the presence of o-NF on the Hg (Ag)FE electrode. This approach is expected to improve existing methods, enhance sensitivity and selectivity, and provide a deeper understanding of the redox mechanisms of the resulting complexes.
Materials and Methods
The following reagents and chemicals were used in this study: o-Nitrosophenol (L) (Sigma-Aldrich, China, purity ≥99%), standard solution of nickel(II) ions, concentrated hydrochloric and nitric acids (HCl and HNO₃, ≥99.95%), mercurous nitrate (Hg₂(NO₃)₂, ≥99.95%), potassium chloride (KCl, ≥99.0%, for Ag/AgCl reference electrode), sodium acetate (CH₃COONa, ≥99%) and acetic acid (CH₃COOH, ≥99%), as well as sodium hydroxide (NaOH, ≥98%). Distilled or deionized water was used for solution preparation. Nitrogen gas (N₂) was used to remove dissolved oxygen and create an inert environment.
Electrochemical measurements were performed using modern, high-precision laboratory equipment. The main instruments included a potentiostat/galvanostat (CS350, Corrtest), a silver amalgam-coated mercury working electrode (Hg (Ag)FE), an Ag/AgCl reference electrode (saturated KCl solution), a platinum counter electrode, a 30 mL quartz electrochemical cell, a nitrogen (N₂) purging system, a magnetic stirrer (BIOBASE), an analytical balance, and a bidi stiller (EASYpure LF, USA). Measurements were conducted at 22–25 °C using calibrated instruments.
For the experiments, 25 mL of the working solution containing 12 mg/L of nickel (II) ions (Ni²⁺) from a certified reference standard (GSO 7265-96) was diluted appropriately with bidi stilled water. Then, 2.0 μM o-nitroso phenol was added to the solution, and voltametric analyses were performed.
Measurements were carried out using a Hg (Ag)FE working electrode (electrode surface area A = 0.277 cm²) within a potential range of −1000 mV to +1500 mV at a scan rate of 30–55 mV/s. The accumulation time was set to 25 seconds. All potential values were measured relative to the Ag/AgCl reference electrode (saturated KCl solution, E⁰ = +0.222 V).
Results and Discussion
Stabilizing effect of acetate buffer in complex formation and redox equilibria.
Cyclic voltammetry (CV) is one of the most important and informative techniques for thoroughly analyzing the electrochemical behavior of complex-forming systems, redox activity of substances, reaction reversibility, kinetic processes at the electrode surface, and mass transport properties, including the half-wave potential (Ep₁/₂), number of electron transfers (n), and diffusion coefficient (D). Initially, the voltametric behavior of background solutions without o-nitroso phenol were studied in the presence of 0.1 N HCl and pH 5.1 acetate buffer. In both media, the recorded cyclic voltammograms did not show any well-defined redox peaks (Fig. 1 a and b).
/Karabayeva.files/image001.jpg)
/Karabayeva.files/image002.jpg)
Figure 1. Cyclic voltammograms of background electrolytes in the absence of o-NF:
(a) 0.1 N HCl, (b) NaOAc buffer solution (pH = 5.1)
Upon the addition of o-NF at a concentration of 0.001 mol/L to the solution, its redox behavior changed significantly depending on the background electrolyte. In the HCl medium, the voltammogram showed only a low-amplitude reduction peak, while no oxidation peak was observed (Fig. 2). This phenomenon may be attributed to protonation, suppression of faradaic reactions, and limitations in complex formation.
/Karabayeva.files/image003.jpg)
Figure 2. Voltammogram of o-NF in 0.1 N HCl background electrolyte
In contrast, well-defined reduction and oxidation peaks of o-NF were observed in the acetate buffer medium (Fig. 3).
/Karabayeva.files/image004.jpg)
Figure 3. Voltamperogram of o-nitroso phenol in NaOAc (pH = 5.1) supporting electrolyte medium
The pH value of the buffer medium directly affects the ionization state of the o-NF molecule and its degree of adsorption on the electrode surface. This, in turn, indicates that the redox process exhibits a reversible character. This phenomenon can be explained by the following reaction mechanism.
1️. Anodic process (oxidation):
In the anodic process, o-nitroso phenol (Ar–NO) is oxidized to o-nitrophenol (Ar–NO₂):
/Karabayeva.files/image005.png)
2️. Cathodic process (reduction):
In the cathodic process, o-nitrophenol (Ar–NO₂) is reduced back to o-nitroso phenol (Ar–NO), or depending on the number of electrons and protons, it is converted to a hydroxylamine derivative (Ar–NHOH):
/Karabayeva.files/image006.png)
or
/Karabayeva.files/image007.png)
The buffering property of the acetate buffer is as follows:
/Karabayeva.files/image008.png)
This stable medium provides favorable conditions for the formation of ligand–metal complexes and the establishment of redox equilibrium.
Determination of the diffusion coefficient based on cyclic voltammograms of the o-nitroso phenol–nickel (II) complex.
In our earlier investigations (Karaboeva, G., et al. (2024). Development of a cyclic voltametric method for the determination of cobalt (II) ions using nitroso phenol. Manuscript under review, International Journal of Analytical Chemistry.), the electrochemical properties of o-nitroso phenol were thoroughly investigated by cyclic voltammetry. The diffusion coefficients were calculated using the Randles–Sevcik equation, with values of approximately 1.83 × 10⁻⁵ cm²/s (anodic) and 2.33 × 10⁻⁶ cm²/s (cathodic), indicating a faster oxidation process compared to reduction.
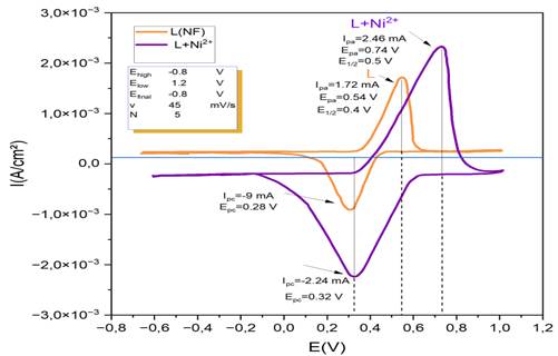
Electrochemical characterization of [Ni (NF)₂] complexes was performed using cyclic voltammetry. From the recorded voltammograms, key parameters such as anodic and cathodic peak potentials (Eₚₐ, Eₚc), half-wave potential (E₁/₂), and corresponding peak currents (Iₚₐ, Iₚc) were accurately determined (Fig.4 and Tab. 1).
/Karabayeva.files/image009.jpg)
Figure 4. Cyclic voltammogram demonstrating the redox behavior of the [Ni(L)₂] complex, recorded using the cyclic voltammetry technique.
Table 1.
Electrochemical redox parameters of o-nitroso phenol (ligand) and the [Ni(L)₂] complex obtained by cyclic voltammetry
|
№ |
Parameter |
Ligand (o-NF) |
Complex [Ni (NF)₂] |
|
1 |
Eₚₐ (V) |
0.54 |
0.74 |
|
2 |
Eₚc (V) |
0.28 |
0.32 |
|
3 |
E₁/₂ (V) |
0.40 |
0.50 |
|
4 |
Iₚₐ (A/cm²) |
0.00172 |
0.00246 |
|
5 |
Iₚc (A/cm²) |
–0.00090 |
–0.00224 |
The half-wave potential (E₁/₂) shifted from 0.40 V for the free ligand to 0.50 V in the [Ni (NF)₂] complex, indicating that a higher energy is required for the redox process and confirming the formation of the metal complex. The anodic peak potential (Eₚₐ) also shifted from 0.54 V for the ligand to 0.74 V in the Ni (II) complex, which reflects an increase in electron density and suggests strong complexation.
The peak potential difference (ΔEₚ = Eₚₐ – Eₚc) was calculated to be 0.26 V for the free ligand and increased to 0.42 V for the [Ni (NF)₂] complex, further supporting the changes in redox behavior upon coordination.
The cyclic voltammograms illustrate the redox mechanism of the Ni (II)–NF complex as follows:
Anodic oxidation process:
/Karabayeva.files/image010.png)
This step corresponds to the deprotonation and oxidation of the ligand molecule at the electrode surface.
Cathodic reduction process:
/Karabayeva.files/1.png)
This reaction indicates the electrochemical reduction of the nickel complex, leading to the release of free Ni²⁺ ions and the regeneration of the ligand.
The process of complex formation between o-nitroso phenol and Ni (II) ions is significantly influenced by the supporting electrolyte, specifically 0.1 M acetate buffer with a pH range of 5.0–6.5. Variations in pH have a noticeable effect on the voltammetric signal intensity and the efficiency of complex formation. The most stable complex is formed at an optimal pH of 5.1–5.2, at which the ligand exists partially in its deprotonated form, enabling stronger coordination with the metal ion. At higher pH values (pH > 5.3), Ni (II) ions tend to form hydroxocomplexes, which reduce the extent of complexation with the ligand.
The effect of scan rate on the cyclic voltammograms of the o-nitroso phenol–nickel (II) complex
In electrochemical measurements, the rate of potential change over time — i.e., the scan rate (v, mV/s) — significantly affects the shape of the voltammogram, the peak current (Ip), the position of the peak (Ep), and their symmetry. At low scan rates, electroactive components have sufficient time to diffuse to the electrode surface, allowing complete electron exchange and adsorption-desorption processes. As a result, the current values are usually recorded at a maximally stable level.
In this experiment, to determine the optimal measurement conditions for the Ni–NF solution, the scan rate was varied in the range of 30–55 mV/s (Fig. 5 and Tab. 2).
/Karabayeva.files/image012.jpg)
Figure 5. Effect of potential scan rate on the cyclic voltammograms of the Nickel (II)–o-NF complex
Table 2.
Voltammetric parameters of the Nickel (II)–o-NF complex recorded at various potential scan rates (30–55 mV/s, N=5).
|
№ |
Scan rate(V/s) |
Epa (V) |
Epc(V) |
ΔEp(V) |
E1/2(V) |
Ipa (μA) |
Ipc (μA) |
|
1 |
0.030 |
0.677 |
0.342 |
0.335 |
0.500 |
570.0 |
–440.0 |
|
2 |
0.035 |
0.638 |
0.311 |
0.327 |
0.500 |
734.0 |
–627.0 |
|
3 |
0.040 |
0.664 |
0.301 |
0.363 |
0.500 |
798.0 |
–672.0 |
|
4 |
0.045 |
0.743 |
0.30 |
0.443 |
0.500 |
100.0 |
–844.0 |
|
5 |
0.050 |
0.726 |
0.292 |
0.434 |
0.500 |
955.0 |
–801.0 |
|
6 |
0.055 |
0.691 |
0.290 |
0.401 |
0.500 |
875.0 |
–726.0 |
The analysis of the cyclic voltammograms recorded at various scan rates (Fig. 5) indicates that the electrochemical response of the nickel (II)–o-nitroso phenol (o-NF) complex is sensitive to scan rate. As the scan rate increases, the intensity of both anodic and cathodic peaks increases up to a certain point — specifically up to 45 mV/s. This behavior is associated with the efficient diffusion and adsorption of the [Ni(o-NF) ₂] complex onto the electrode surface. At this scan rate, the transport of complex particles to the electrode surface and their subsequent adsorption occurs optimally.
However, at higher scan rates such as 50 and 55 mV/s, a decrease in peak current is observed. This phenomenon can be explained by several factors, including diffusion limitations — at high scan rates, the rate of potential change increases, but the complex particles in the solution cannot reach the electrode surface in time. The sluggish reaction kinetics leads to a decrease in signal amplitude.
Table 3.
Calculation of anodic and cathodic diffusion coefficients for the nickel (II)–o-NF complex (T = 293.15 K, A = 0.277 cm², n = 2, CNᵢ = 0.040 μM)
|
№ |
Scan rate (V/s) |
Ipa (μA) |
Ipc (μA) |
D_anodic (cm²/s) |
D_cathodic (cm²/s) |
|
1 |
0.030 |
570.0 |
–440.0 |
1.50 × 10⁻1 |
9.00 × 10⁻2 |
|
2 |
0.035 |
734.0 |
–627.0 |
2.16 × 10⁻1 |
1.58 × 10⁻1 |
|
3 |
0.040 |
798.0 |
–672.0 |
2.23 × 10⁻1 |
1.59 × 10⁻1 |
|
4 |
0.045 |
999.0 |
–844.0 |
3.11 × 10⁻1 |
2.22 × 10⁻1 |
|
5 |
0.050 |
955.0 |
–801.0 |
2.56 × 10⁻1 |
1.80 × 10⁻1 |
|
6 |
0.055 |
875.0 |
–726.0 |
1.95 × 10⁻1 |
1.35 × 10⁻1 |
|
Doʻr |
|
|
|
2.25 × 10⁻1 |
1.57 × 10⁻1 |
Based on these findings, a scan rate of 45 mV/s was selected as the optimal value for subsequent experiments, as it yielded the maximum and most stable electrochemical response. For the complex formed with Ni (II) ions, the diffusion coefficients were found to be relatively high: D = 2.25 × 10⁻¹ cm²/s for the anodic process and D = 1.57 × 10⁻¹ cm²/s for the cathodic process. These values are 10³ to 10⁴ times greater than that of the free ligand, indicating that the redox processes occurring at the electrode surface proceed very rapidly and efficiently. The close similarity between the anodic and cathodic diffusion coefficients suggests that a reversible electron transfer takes place for this complex, implying proximity to thermodynamic equilibrium.
Investigation of the redox reactions and electron transfer mechanism of the Ni (II)–o-NF complex by cyclic voltammetry.
Redox processes occur through the transfer of one or more electrons. Cyclic voltammetry (CV) plots are highly effective for analyzing pure electron transfer reactions, allowing for the prediction of reaction mechanisms, the number of electrons involved, and even the structure of complexes. Based on the current–potential curve of the o-NF + Ni (II) complex, the number of electrons transferred was determined using the Randles–Ševčík equation and found to be approximately n ≈ 3. This indicates that the redox process involves a two-electron transformation of Ni (II)/Ni (0) and a one-electron redox transition of the ligand. The determination of the number of electrons was carried out using the Randles–Ševčík equation (7).
(I𝑝= (2.69x105) 𝑛3/2 𝐴 C 𝐷1/2𝑣1/2 (7)
(8)
/Karabayeva.files/image014.png)
/Karabayeva.files/image015.png)
Figure 6. Cyclic voltammogram of the o-NF + Ni (II) complex
(Scan rate: 45 mV/s; 2.0 μM o-NF; 0.20 μ/L Ni²⁺; accumulation time: 10 s; accumulation potential: 50 mV)
Table 4.
Experimental parameters of the o-NF + Ni (II) complex
|
№ |
Parameter |
Obtained Value |
Remark |
|
1 |
Ip |
2.46 μA = 2.46×10⁻⁶ A |
Anodic peak current |
|
2 |
A |
0.277 cm² |
Electrode surface area |
|
3 |
C |
1×10⁻⁸ mol/cm³ |
Metal ion (Me) concentration |
|
4 |
V |
45 mV/s = 0.045 V/s |
Scan rate |
|
5 |
D |
1×10⁻⁵ cm²/s (typical value) |
Diffusion coefficient |
|
6 |
T |
298 K |
Room temperature |
In this system (n ≈ 3), the formation of a complex between Ni²⁺ ions and o-nitroso phenol occur, and this complex participates in redox cycling processes (Ni (II) ↔ Ni (0)) at the electrode surface. The involvement of an additional electron suggests redox activity of the ligand itself, likely associated with a one-electron transformation of the NO group to NHOH. This mechanism fully explains the quasi-reversible voltammetric behavior of the Ni (II) ion, involving both complex formation and subsequent reduction to the metallic state.
In conclusion, the electronic parameters and molecular properties determined via quantum chemical calculations are in good agreement with the experimental electrochemical observations. This provides scientific validation for the stable complexation of Ni (II) with o-NF (Fig. 7).
/Karabayeva.files/image017.png)
Figure 7. Structural formula of the o-NF + Ni (II) complex compound
This structure suggests that a stable complex is formed through coordination of the metal ion with two o-nitroso phenol ligands, which is fully consistent with the observed electrochemical behavior.
The effect of Ni (II) ion concentration on the analytical signal.
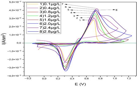
To evaluate the accuracy of the developed method, cyclic voltammetry (CV) analysis was carried out for the complexes formed between o-nitroso phenol (o-NF) and Ni (II) ions in 0.1 M acetate buffer at various concentrations. The experimental results were statistically analyzed at a 95% confidence level, and relative errors (RE%) were calculated using the ‘added–found’ method. Additionally, the correlation coefficient (R²) was determined to assess linearity. The analyses for nickel (II) were conducted in the concentration range of 0.1–0.28 µg/L. For each measurement, constant optimal accumulation parameters were maintained (E_dep = 50 mV, t_dep = 90 s), ensuring consistent conditions for all experiments (Fig. 8, Tab. 5).
/Karabayeva.files/image018.jpg)
Figure 8. Cyclic voltammogram showing the relationship between the concentration of nickel (II) ions and the analytical peak current (Ip).
According to the cyclic voltammogram data presented in Figure 8, a linear relationship was observed between the analytical signal and the concentration of Ni²⁺ ions in the range of 0.1–2.8 µg/L. At higher concentrations, deviations in the signal values were recorded. This phenomenon can be attributed to the complex relationship between molecular weight and the diffusion coefficient (D) in the solution. Although there is no direct correlation between D and molecular weight, their interaction is well-established. As the initial concentration increases, the number of charge carriers in the solution rises, leading to an increase in the signal. However, beyond a certain concentration, the excessive accumulation of charge carriers causes a slowdown in diffusion processes. As a result, the analytical signal begins to decrease. The electrical conductivity of the solution is influenced by ion mobility, their concentration, and the internal structure of the solution.
/Karabayeva.files/image019.jpg)
Figure 9. Linear calibration curve showing the relationship between Ni (II) ion concentration and peak current (Ip).
As shown in Figure 9, a strong linear relationship was observed between the Ni (II) ion concentration in the range of 0.10 to 2.8 µg/L and the analytical signal, with a correlation coefficient of R = 0.9998. This value being very close to 1 indicates the high accuracy and reliability of the proposed method.
Based on the analytical signals (current intensities) obtained in the low concentration range (0.10–0.80 µg/L) and the calculated standard deviations of the measured concentrations, the limit of detection (LOD) and limit of quantification (LOQ) values were determined. As a result, the LOD and LOQ were found to be 0.033 µg/L and 0.101 µg/L, respectively. These values indicate that the developed voltametric method possesses high sensitivity and allows for the reliable detection of nickel (II) ions at very low concentrations. In particular, the LOQ value of 0.101 µg/L confirms the suitability of the method for determining trace amounts of Ni (II) in environmental, technological, or industrial samples.
Conclusion
The results of the conducted study enabled the development of an effective and sensitive cyclic voltametric method for the determination of nickel (II) ions. The electrochemical behavior of nickel (II) ions forming a complex with o-nitroso phenol was investigated, and the optimal conditions were established. Measurements were carried out in a 0.1 M acetate buffer medium within the potential range of –1.0 V to +1.5 V (vs. Ag/AgCl), and a scan rate of 45 mV/s was selected as optimal. The obtained detection limit (LOD = 0.033 µg/L) and quantification limit (LOQ = 0.101 µg/L) demonstrate the high sensitivity and reliability of the developed method. The proposed approach was successfully validated using real water samples, proving its potential for environmental monitoring and routine analytical applications.
References:
- Barceloux D. G., Barceloux D. Nickel //Journal of toxicology: Clinical Toxicology. – 1999. – Vol. 37. – №. 2. – PP. 239-258. [in English].
- Klein C. B., Costa M. A. X. Nickel //Handbook on the toxicology of metals. – Academic Press, 2022. – PP. 615-637. [in English].
- Jousse M. B. G. et al. A modification of the dimethylglyoxime method for Nickel determination: Application in bioremediation processes //Journal of Trace Elements and Minerals. – 2024. – Vol. 8. – PP. 100130. [in English].
- Yag’murog’li, O Trace determination of nickel in Thymus serpyllum L. (wild thyme) tea with a matrix matching strategy by UV-Viis spectrometry after vortex-assisted DES/DPS-based microextraction// Microchemical journal-2025. - PP. 112-755 [in English].
- Gu C. et al. Synthesis of nitrogen-doped fluorescent carbon dots for determination of nickel ions and morin from aqueous solution simultaneously //Microchemical Journal. – 2024. – Vol. 200. – PP. 110-317. [in English].
- Ma G., Duan X., Sun J. Chelate vapor generation using ethanol as efficiency-enhancing reagent for nickel determination in samples by atomic fluorescence spectrometry //Spectrochimica Acta Part B: Atomic Spectroscopy. – 2018. – Vol. 149. – PP. 57-61. [in English].
- Zhou F. et al. A spectrophotometric method for simultaneous determination of trace ions of copper, cobalt, and nickel in the zinc sulfate solution by ultraviolet-visible spectrometry //Spectrochimica Acta Part A: Molecular and Biomolecular Spectroscopy. – 2019. – Vol. 223. – PP. 117-370. [in English].
- Dos Anjos S. L. et al. Multivariate optimization of a procedure employing microwave-assisted digestion for the determination of nickel and vanadium in crude oil by ICP OES //Talanta. – 2018. – Vol. 178. – PP. 842-846. [in English].
- Kokkinos C. et al. Disposable mercury-free cell-on-a-chip devices with integrated microfabricated electrodes for the determination of trace nickel (II) by adsorptive stripping voltammetry //analytica chimica acta. – 2008. – Vol. 622. – №. 1- 2. – PP. 111-118. [in English].
- Anchidin-Norocel L. et al. Determination of trace levels of nickel (Ii) by cyclic voltammetry with spes from food products //Food and Environment Safety Journal. – 2021. – Vol. 20. – №. 3. [in English].
- Anchidin-Norocel L. et al. Biopolymers Used for Receptor Immobilization for Nickel-Detection Biosensors in Food //Micromachines. – 2023. – Vol. 14. – №. 8. – PP. 1529. [in English].
- Ferancová A. et al. Electrochemical monitoring of nickel (II) in mine water //Mine Water and the Environment. – 2016. – Vol. 35. – №. 4. – PP. 547–552. [in English].
- Kapturski P., Bobrowski A. The silver amalgam film electrode in catalytic adsorptive stripping voltammetric determination of cobalt and nickel //Journal of Electroanalytical Chemistry. – 2008. – Vol. 617. – №. 1. – PP. 1-6. [in English].
- Miglione A. et al. An integrated electrochemical platform empowered by paper for fast nickel detection in cosmetics //Electrochimica Acta. – 2022. – Vol. 434. – PP. 141-332. [in English].
- Gonzalez P., Cortınez V. A., Fontan C. A. Determination of nickel by anodic adsorptive stripping voltammetry with a cation exchanger-modified carbon paste electrode //Talanta. – 2002. – Vol. 58. – №. 4. – PP. 679-690. [in English].
- Rosal M. et al. Dimethylglyoxime modified screen-printed electrodes for nickel determination //Journal of Electroanalytical Chemistry. – 2019. – Vol. 839. – PP. 83-89. [in English].
- Aya. E, Ali et al. Theoretical and experimental approaches to the preparation, characterization, and application of a newly synthesized mesoporous Zn-MOF as a selective ionophore for Ni (II) ion in carbon paste electrode matrix //Journal of molecular structure. -2023. - Vol. 1285. – PP. 135 475. [in English].
- Gonzalez P., Cortınez V. A., Fontan C. A. Determination of nickel by anodic adsorptive stripping voltammetry with a cation exchanger-modified carbon paste electrode //Talanta. – 2002. – Vol. 58. – №. 4. – PP. 679–690. [in English].
- Fernandes B. L. M. et al. A new sustainable approach using a composite material based on dimethylglyoxime and graphite immobilized on a 3D printed support for selective nickel detection //Journal of Electroanalytical Chemistry. – 2023. – Vol. 941. – PP. 117-538. [in English].