PhD, Institute of the Chemistry of Plant Substances, Academy of Sciences of the Republic of Uzbekistan, Uzbekistan, Tashkent
CHEMICAL COMPOSITION OF Cousinia maracandica
ABSTRACT
This study investigates the chemical composition and biologically active constituents of Cousinia maracandica through the analysis of seed oil and extracts from aerial parts. Gas chromatography analysis revealed that the seed oil is predominantly composed of unsaturated fatty acids, with linoleic acid (57,74%) and oleic acid (32,44%) as the major components, which are known for their health-promoting properties. From the aerial parts, a flavonoid glycoside - Quercetin 3,4'-dimethyl 7-O-α-L-rhamnopyranosyl-(1→6)-O-β-D-glucopyranoside - was isolated in a yield of 4 grams. Infrared (IR) spectroscopy of both seed and aerial part samples confirmed the presence of phenolics, flavonoids, lipids, and polysaccharides. The results indicate that Cousinia maracandica is a valuable source of bioactive compounds, highlighting its potential application in pharmaceutical and nutraceutical formulations due to its antioxidant, anti-inflammatory, and health-supporting properties.
АННОТАЦИЯ
В данном исследовании проведён анализ химического состава и биологически активных веществ растения Cousinia maracandica, включая масло семян и экстракты надземных частей. По результатам газохроматографического анализа установлено, что масло семян преимущественно состоит из ненасыщенных жирных кислот, основными из которых являются линолевая (57,74%) и олеиновая (32,44%) кислоты, обладающие полезными для здоровья свойствами. Из надземных частей растения был выделен флавоноидный гликозид - кверцетин 3,4'-диметил 7-O-α-L-рамнопиранозил-(1→6)-O-β-D-глюкопиранозид в количестве 4 грамма. Инфракрасная (ИК) спектроскопия образцов семян и надземных частей показала наличие фенольных соединений, флавоноидов, липидов и полисахаридов. Полученные результаты подтверждают, что Cousinia maracandica является ценным источником биоактивных веществ и может рассматриваться как перспективное сырьё для использования в фармацевтической и функциональной пищевой промышленности.
Keywords: Cousinia maracandica, flavonoid glycoside, quercetin, unsaturated fatty acids, linoleic acid, oleic acid, infrared spectroscopy.
Ключевые слова: Cousinia maracandica, флавоноидный гликозид, кверцетин, ненасыщенные жирные кислоты, линолевая кислота, олеиновая кислота, инфракрасная спектроскопия.
Introduction
Nature has been a rich source of medicinal substances for humanity, with various plants being used as therapeutic agents since ancient times [1]. Currently, the study of secondary metabolites of plants, the evaluation of their pharmacological properties, and the identification of new sources of bioactive compounds are among the main directions of global scientific research [2,3].
The Asteraceae family (Compositae) is one of the largest and biologically active plant families in the world, comprising many plant species used in medicine [4]. Representatives of this family are characterized by their richness in flavonoids, phenolic acids, sesquiterpene lactones, and other biologically active compounds [5].
Specifically, members of the Cousinia genus are rich in flavonoids and phenolic compounds, which are among the main factors determining their pharmacological activity [6]. Studies have shown that species of Cousinia possess antioxidant, anti-inflammatory, antibacterial, and cytotoxic activities [7,8].
Flavonoids are among the most important metabolites of the Cousinia genus. They can neutralize free radicals, prevent lipid oxidation, and protect DNA and cell membranes from oxidative damage [9,10]. The high antioxidant and anti-inflammatory activities of flavonoids, particularly quercetin and its glycoside forms, have been confirmed by numerous scientific studies [11,12].
In addition, phenolic acids, such as caffeic, ferulic, and chlorogenic acids, possess antioxidant and anti-inflammatory properties and play an important role in the plant’s defense system [13,14].
Not only the secondary metabolites but also the mineral composition of plants determine their biological significance. The study of macro- and microelement composition of aboveground parts of plants is directly related to ecological adaptation, nutrient cycling, and their pharmacological properties [15,16]. The presence of elements such as iron (Fe), calcium (Ca), magnesium (Mg), potassium (K), sodium (Na), and zinc (Zn) has been shown to positively affect the biological activity of plants [17].
Moreover, the fatty acid profile of Cousinia maracandica seeds has been studied. The primary fatty acids identified were linoleic (C18:2), oleic (C18:1), and palmitic (C16:0) acids, which are of nutritional and pharmacological significance [18,19]. The ratio and quality of these fatty acids allow the seeds to be considered a promising raw material to produce nutraceutical and pharmaceutical preparations.
Furthermore, the extraction of quercetin glycosides from these plant seeds and the determination of their chemical structure provides an opportunity for a deeper understanding of their biological activity. Quercetin and its glycoside forms, such as quercetin-3-O-glucoside, have been widely reported in scientific literature to exhibit antioxidant, anticarcinogenic, and immunomodulatory properties [20,21].
Research Location and Methods.
1. Analytical Methods for Fatty Acid and Methyl Ester Characterization.
Methyl esters of fatty acids were obtained according to the method [GOST 31665-2012] using 2M CH₃ONa in methanol. The fatty acid composition of soybean oil was determined following the method [GOST 30418-96]. Gas chromatographic analysis was performed using a Nexis GC-2030 (Shimadzu, Japan). For the separation of methyl esters of fatty acids, an SP-2560 column (Sigma) was used. Identification of fatty acids was carried out using the standard solution Supelco 37 Component FAME Mix (Sigma).
2. Extraction and Fractionation
The aerial parts of Cousinia maracandica were air-dried in a shaded and dark environment (1 kg) and subsequently subjected to extraction. The dried plant material was extracted multiple times by cold maceration using 90% aqueous methanol. The resulting methanolic extract was filtered and concentrated under reduced pressure to yield 132 g of crude dry extract. This extract was diluted with water and successively partitioned using immiscible solvents: n-butanol, chloroform, and hexane. As a result of the fractionation, the n-butanol-soluble fraction (52 g) was obtained.
Isolation and Purification
The n-butanol fraction was subjected to column chromatography on silica gel (SiO₂) using a gradient elution system. Several individual compounds were isolated because of chromatographic separation. The isolated substances were analyzed using various physicochemical techniques including thin-layer chromatography (TLC), ultraviolet (UV) spectroscopy, infrared (IR) spectroscopy, proton, and carbon-13 nuclear magnetic resonance (¹H and ¹³C NMR), and mass spectrometry (MS) to determine and confirm their chemical structures.
Result and discussion:
FTIR Spectral Analysis of Cousinia maracandica Samples from the seeds (Figure 1) and aerial parts (Figure 2) of the plant Cousinia maracandica were analyzed using infrared (IR) spectroscopy. The seed sample showed absorption peaks around 3278, 2924, 2854, and 1743 cm⁻¹, indicating the presence of lipid components (C–H, C=O), phenolic compounds, flavonoids, and polysaccharides. In the aerial part sample, peaks at 3301, 1603, 1235, and 1029 cm⁻¹ suggest the existence of phenolic and flavonoid compounds, as well as aromatic structures and polysaccharides.
Overall, the IR spectral analysis confirms that Cousinia maracandica contains biologically active substances, including phenolics, flavonoids, polysaccharides, and lipids. These compounds may contribute to the plant’s antioxidant, antibacterial, or anti-inflammatory properties.
|
Figure 1. IR spectrum of the seed of the plant Cousinia maracandica |
Figure 2. IR spectrum of the aerial part of the plant Cousinia maracandica |
The fatty acid composition of the seed oil from Cousinia maracandica was thoroughly analyzed, with the resulting data presented in Table 1 and Figure 3.
Table 1.
Fatty Acid Composition of Cousinia maracandica Seeds
|
fatty acids |
chemical formula |
%, by weight |
|
Myristic |
14:0 |
0,37 |
|
Palmitic |
16:0 |
6,78 |
|
Palmitoleic |
16:1 |
0,33 |
|
Stearic |
18:0 |
1,99 |
|
Oleic |
18:1 |
32,44 |
|
Linoleic |
18:2 |
57,74 |
|
Linolenic |
18:3 |
0,35 |
|
Σsaturated fatty acids |
9,14 |
|
|
Σunsaturated fatty acids |
90,86 |
|
The fatty acid composition of Cousinia maracandica seed oil was analyzed. The results show that the oil is primarily composed of unsaturated fatty acids, with linoleic acid (18:2) being the most abundant, making up 57,74% of the total fatty acids. Oleic acid (18:1) is also significant, accounting for 32,44%. These unsaturated fatty acids are known for their beneficial health effects. Saturated fatty acids are present in smaller amounts, with palmitic acid (16:0) making up 6,78%, and stearic acid (18:0) at 1,99%.
/Khamidov.files/image003.jpg)
Figure 3. Gas Chromatography–Mass Spectrometry (GC-MS) Chromatogram of fatty acids in the seed oil of Cousinia maracandica
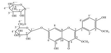
In this study, 4 grams of the flavonoid compound Quercetin 3,4'-dimethyl 7-O-α-L-rhamnopyranosyl (1→6)-O-β-D-glucopyranoside was isolated from the aerial parts of Cousinia maracandica. This compound was identified based on its structural properties, as shown in Figure 4.
/Khamidov.files/image004.jpg)
Figure 4. Quercetin 3,4'-dimethyl 7-O-α-L-rhamnopyranosyl (1→6)-O-β-D-glucopyranoside
This compound is characterized by a complex glycosidic structure, consisting of a methylated quercetin aglycone linked to a disaccharide moiety composed of rhamnose and glucose residues. This flavonoid glycoside has been reported in the scientific literature to exhibit various biological activities, including antioxidant, anti-inflammatory, and capillary-protective (vasculoprotective) properties. These effects are associated with its potential role in reducing oxidative stress and modulating inflammatory pathways, suggesting its relevance for pharmaceutical and nutraceutical applications.
Conclusion
The chemical analysis of the seed oil and bioactive compounds obtained from the aerial parts of Cousinia maracandica revealed significant findings. The seed oil was found to be rich in unsaturated fatty acids, with linoleic acid (18:2) and oleic acid (18:1) as the predominant components, comprising 57,74% and 32,44%, respectively. These fatty acids are well-recognized for their beneficial effects on human health.
In addition, the flavonoid glycoside Quercetin 3,4'-dimethyl 7-O-α-L-rhamnopyranosyl-(1→6)-O-β-D-glucopyranoside was successfully isolated from the aerial parts of the plant. This compound, characterized by its complex glycosidic structure, has been documented in scientific literature for its antioxidant, anti-inflammatory, and vasculoprotective properties.
These findings collectively confirm that Cousinia maracandica is a valuable source of bioactive compounds, underscoring its potential as a promising raw material for use in the pharmaceutical and functional food industries.
References:
- Rahman, M. A., et al. (2021). Phytochemical and pharmacological potential of Asteraceae family: A review. Biomedicine & Pharmacotherapy.
- Seca, A. M. L., et al. (2018). Plant secondary metabolites as anticancer agents. International Journal of Molecular Sciences.
- Panero, J. L., et al. (2008). Classification of Compositae family: A review. Botanical Review.
- Sadraei, H., et al. (2019). Anti-inflammatory and antioxidant activities of Cousinia extracts. Journal of Ethnopharmacology.
- Karimov, S. Kh., et al. (2015). Biologically active compounds from Cousinia species. Chemistry of Natural Compounds.
- Kabata-Pendias, A. (2011). Trace Elements in Soils and Plants. CRC Press.
- Alloway, B. J. (2013). Heavy Metals in Soils. Springer.
- Naseri, V., et al. (2020). Mineral content of Asteraceae plants. Environmental Science and Pollution Research.
- Nussinovitch, A. (2010). Plant Gum Exudates of the World: Sources, Distribution, Properties, and Applications. CRC Press.
- Salunkhe, D. K., et al. (1989). Seed Technology and its Biological Significance.
- Gunstone, F. D. (2011). Vegetable Oils in Food Technology. Wiley-Blackwell.
- Shahidi, F. (2006). Nutraceutical and Specialty Lipids and their Co-Products. CRC Press.
- Simopoulos, A. P. (1999). Essential fatty acids in health and chronic disease. American Journal of Clinical Nutrition.
- Gharby, S., et al. (2015). Characterization of seed oils from selected Moroccan plants. Industrial Crops and Products.
- Justesen, U. (2000). Bioavailability and metabolism of flavonoids. Free Radical Research.
- Crozier, A., et al. (2009). Dietary flavonoids: bioavailability and bioactivity. Phytochemistry.
- Boots, A. W., et al. (2008). Health effects of quercetin: from antioxidant to nutraceutical. European Journal of Pharmacology.
- Dabeek, W. M., et al. (2019). Dietary quercetin and kaempferol: bioavailability and potential cardiometabolic health benefits. Nutrients.
- Ross, J. A., et al. (2002). Dietary flavonoids: bioavailability, metabolic effects, and safety. Annual Review of Nutrition.
- Cuyckens, F., et al. (2004). Mass spectrometry in the structural analysis of flavonoids. Journal of Mass Spectrometry.
- Jaiswal, Y. S., et al. (2017). A review on the phytochemical and pharmacological properties of flavonoids. Future Science OA.
/Khamidov.files/image001.jpg)
/Khamidov.files/image002.jpg)