basic doctoral student of Samarkand State University named after Sh. Rashidov, Uzbekistan, Samarkand
STUDY OF SORPTION OF STRONG ELECTROLYTES BY POLYVINYL ALCOHOL GEL
АBSTRACT
The heterophase model of polymer gel structure was used to calculate the total amount of electrolyte in the phase of the established polyelectrolyte solution, the amount of sorbed electrolyte in the gel, the volume of one mole of polymer gel and the change in the degree of gel saturation. Experiments have shown that the ionic radii of cations and anions have a significant influence on the process of saturation of PVS gel with salt solutions. The Gibbs free energies of the processes of sorption and saturation of PVS gel from solutions of NaCl, NaI, NaBr and KCl salts were calculated and it was noted that the higher the concentration of the solution at equilibrium, the smaller the value of the Gibbs free.
АННОТАЦИЯ
Гетерофазная модель структуры полимерного геля использована для расчета общего количества электролита в фазе установившегося полиэлектролитного раствора, количества сорбированного электролита в геле, объема одного моля полимерного геля и изменения степени насыщения геля. Эксперименты показали, что ионные радиусы катионов и анионов оказывают существенное влияние на процесс насыщения геля ПВС растворами солей. Рассчитаны свободные энергии Гиббса процессов сорбции и насыщения геля ПВС из растворов солей NaCl, NaI, NaBr и KCl и отмечено, что чем выше концентрация раствора при равновесии, тем меньше значение свободной энергии Гиббса.
Keywords: Polyvinyl alcohol gel, salts solutions, volume, amount, activity, isotherm, Gibbs energy, concentration.
Ключевые слова: гель поливинилового спирта, растворы солей, объем, количество, активность, изотерма, энергия Гиббса, концентрация.
Introduction
Adsorption and sorption processes occur when synthetic polyelectrolytes, such as ionites, polymer sorbents and polymer gels, interact with aqueous and mixed solvent electrolyte solutions. As a result, the solution exhibits an interphase distribution of components. Scientists are researching the adsorption and sorption processes of polymer gels. The authors [1-4] investigated the physical and chemical properties of the polymer’s change in mass and volume during the adsorption process. Nagasawa M. [5] Zagorodni A.A. [6] and A.K. Sen Gupta [7] provide detailed information on the properties of polymer solutions, model views on the structure of polymer gels, the important role of heterogeneous and homogeneous models in adsorption and sorption processes, and the application of ionites in various sectors of the national economy. The authors [8,9] investigated the molecular sorption of tryptophan in the chlorine form of the strong basic anion AV-17-2P. They used thermodynamics to explain why the anionite’s sorption mechanism is so robust in its hydroxyl form. The work [10] investigated the sorption process of hydrogels made from chitazan and pectin in aqueous solutions. The strong acidic cationite KRS-8P was used to experimentally investigate the molecular sorption of KCl, KBr, and KI salts from systems with varied water-ethanol mixed solvent compositions [11]. Scientific research on the processes of sorption and sorption by polymer sorbents with dissociated and non-dissociated polar groups from mixed aqueous-alcoholic solutions using the microphotographic method [12] was reported. However, there is currently no single explanation addressing the sorption and desorption processes in polymer gels. This work is also dedicated to investigating the processes stated above.
Theoretical part
The theory of cross-linked polyelectrolyte solutions is more widely explained by the heterophase model of polymer gels, which states that a polymer gel suspended in water or solution consists of two phases: a cross-linked polyelectrolyte and a polymer gel. Various models have been developed to describe the interphase distribution of components and the establishment of equilibrium between them during the interaction of ion exchangers, polymer sorbents, and polymer gels with the solvent and solution.
/Ferapontov.files/image001.png)
Figure 1. Heterophasic model of polymer gels. 1-ionite matrix, 2-ionite counterions, 3-water in polyelectrolyte solution, 4-electrolyte in polyelectrolyte solution, 5-external solution at equilibrium
The algorithm for estimating the parameters of a prepared polyelectrolyte solution is as follows: The volume of one mole of polymer gel dissolved in water is estimated using equation (1).
(1)
The volume of gel in a column in equilibrium with an electrolyte solution of a given concentration is calculated as follows:
(2)
Knowing the total amount of electrolyte and the volume of gel in the column, the amount of sorbed gel is calculated as follows:
(3)
Equation (4) expresses the volume of one mole of polymer gel in each concentration of solution.
(4)
The amount of solution of a given concentration in one mole of polymer gel is equal to:
(5)
The volume of phases in one mole of polymer gel is calculated using the following equations:
(6)
(7)
According to the heterophase model of the structure of polymer gels, if the electrolyte does not pass into the polymer solution phase during the process (no sorption process is observed), then the electrolyte in the gel is only present in the external solution, which is calculated by the following equation:
(8)
In these equations:
- volume of one mole of polymer dissolved in water,
- volume of one mole of dry polymer,
- volume of water absorbed from the vapor phase,
- volume of free water in the polymer gel,
- volume of polymer gel in the column, Q- total amount of electrolyte,
- amount of sorbed electrolyte in the gel,
- volume of one mole of polymer gel.
Therefore, using the equations presented above, the interphase distribution of components during the sorption process can be calculated based on experimental data.
Experimental part
The experiments were carried out on polyvinyl alcohol (PVS) gels that were prepared using a heterophase model of polymer gel structure. Salts such as NaCl, NaI, NaBr, and KCl were used during the experiments. All experiments were carried out dynamically using a column method. Ion concentrations were determined using flame photometry, potentiometry, and titration. Using the results from the experiments, the volume and number of electrolytes in the PVS gel were calculated using the equations presented in the theoretical section. Table 1 shows the ionic radii of cations and anions in electrolyte solutions, while Table 2 shows the solution concentrations and water activities. The flow rate of the solution through the ion exchange.
Table 1.
Ionic radius for some cations and anions [15]
|
Ions |
Ionlar |
Li+ |
Na+ |
K+ |
Cs+ |
F- |
Cl- |
Br- |
I- |
|
Radius (Ǻ) |
Radius (Ǻ) |
0.68 |
0.98 |
1.33 |
1.65 |
1.33 |
1.81 |
1.96 |
2.20 |
Table 2.
NaCl, NaI, NaBr, KCl solutions concentrations and in solutions of water activities
|
NaCl |
||||||
|
C,n |
0.5 |
1.0 |
1.5 |
2.0 |
2.5 |
3.0 |
|
aW |
0.984 |
0.968 |
0.946 |
0.932 |
0.908 |
0.884 |
|
NaBr |
||||||
|
C,n |
0.5 |
1.0 |
1.5 |
2.0 |
2.5 |
3.0 |
|
aW |
0.983 |
0.965 |
0.946 |
0.925 |
0.902 |
0.877 |
|
|
|
|
KCl |
|
|
|
|
C,n |
0.5 |
1.0 |
1.5 |
2.0 |
2.5 |
3.0 |
|
aW |
0.984 |
0.968 |
0.945 |
0.930 |
0.910 |
0.900 |
|
|
|
|
NaI |
|
|
|
|
C,n |
0.5 |
1.0 |
1.5 |
2.0 |
2.5 |
3.0 |
|
aW |
0.982 |
0.963 |
0.938 |
0.914 |
0.882 |
0.856 |
Results and discussion
PVS gel was formed by crosslinking PVS granules with epichlorohydrin in an alkaline medium. The reaction equation is given below:
/Ferapontov.files/image017.jpg)
The synthesized PVS gel was loaded onto an ion exchange column and the specific gravity of the gel was determined. The calculated results are shown in Table 3.
Table 3.
Comparative sizes of PVS gel
|
Polymer gel |
Average molecular weight |
Volume of 1 mol PVS, ml |
Polymer solution volume, ml |
Volume of PVS in water, ml |
E V, mg-eq/ml |
Oh my, mg-eq/g |
ρ, g/cm 3 |
|
PVS-20 |
65 |
51 |
250 |
770 |
20.1 |
15.8 |
1.26 |
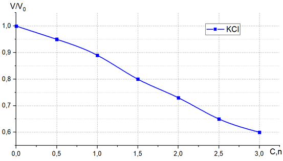
Following determining the PVS gel’s relative values, experiments were conducted to study the sorption process with different electrolyte solutions at different concentrations. Using the results, equations 3, 4, and 8 were used to calculate the volume of the polymer gel in the column, the total amount of electrolyte in the column, the amount of sorbed electrolyte in the gel, the volume of one mole of polymer gel, and the change in the degree of gel saturation. One of these findings is shown in Table 4 and Figures 2 and 3 for the PVS-KCL system.
Table 4.
Distribution of interphase components in the PVS-KCL system
|
№ |
1 |
2 |
3 |
4 |
5 |
6 |
|
Ci, n |
0.50 |
1.00 |
1.50 |
2.00 |
2.50 |
3.00 |
|
V/V0 |
0.95 |
0.89 |
0.80 |
0.73 |
0.65 |
0.60 |
|
aW |
0.984 |
0.968 |
0.945 |
0.930 |
0.910 |
0.900 |
|
nW |
3.70 |
2.42 |
1.93 |
1.72 |
1.48 |
1.24 |
|
Vig, ml |
100.2 |
94.3 |
85.8 |
77.2 |
68.4 |
62.5 |
|
Qi |
92.1 |
180.2 |
262.7 |
333.8 |
415.6 |
482.1 |
|
|
42.5 |
81.4 |
118.6 |
133.5 |
147.0 |
154.6 |
/Ferapontov.files/image019.png)
Figure 2. Sorption isotherm of PVS gel from KCL solutions of different concentrations
/Ferapontov.files/image020.png)
Figure 3. KCL variety concentrated PVS gel from solutions roar level change
The obtained graphs show that the concentration of the KCl solution in equilibrium with the PVS gel increases the amount of sorbed electrolyte in the gel. This result can be explained by a decrease in the degree of gel saturation as the concentration of the equilibrium solution increases. In other words, as the gel absorbs the electrolyte, the process of desorption of solvent molecules in the polymer gel begins.
The thermodynamics of electrolyte solutions show that ion hydration occurs during solution formation. The interaction of ions with solvent molecules causes their movement to slow down, resulting in the formation of positive and negative hydrations. Ions like Na+, Κ+, and H+ provide positive hydration, but ions like Cl-, Br-, and I- also do. As a result, hydrogen bonds hydrate anions, whereas donor-acceptor bonds hydrate cations. As a result, cations have higher hydration.
Experiments were carried out to determine the sorption isotherm of PVS gel using the isopiest technique, and utilizing the results, the Gibbs free energy change of the adsorption process was computed using the equations provided in [16,17].
(9)
- Gibbs free energy change of the quenching process, T - temperature,
- sorbed water activity in the polymer gel phase, R - universal gas constant.
Table 5, Figures 4 and 5, show some of the collected results.
Table 5.
Sorption isotherm and roar Gibbs free process energy change
|
№ |
1 |
2 |
3 |
4 |
5 |
6 |
7 |
8 |
|
|
0.996 |
0.982 |
0.950 |
0.928 |
0.886 |
0.844 |
0.802 |
0.775 |
|
|
4.3 |
3.2 |
2.3 |
1.9 |
1.6 |
1.0 |
0.8 |
0.5 |
|
- |
9.91 |
44.57 |
126.30 |
184.99 |
299.64 |
420.98 |
544.80 |
695.86 |
/Ferapontov.files/image029.png)
Figure 4. Sorption isotherm obtained from KCl solutions of PVS gel using the isopiest method
/Ferapontov.files/image030.jpg)
Figure 5. The dependence of the change in Gibbs free energy on the amount of adsorbed water during the PVS gelation process
Conclusion
The heterophase model of polymer gel structure was used to calculate the total amount of electrolyte in the phase of the assembled polyelectrolyte solution, the amount of sorbed electrolyte in the gel, the volume of one mole of polymer gel, and the change in the degree of saturation of the gel. It was discovered that the sorption and saturation processes of PVS gel are dependent on the hydration energies of ions in the solution. Furthermore, tests showed that the ionic radii of cations and anions had a significant impact on the degree of saturation of PVS gel. Furthermore, the Gibbs free energies of the sorption and saturation processes of PVS gel from various electrolyte solutions were computed, and it was discovered that the higher the concentration of the solution at equilibrium, the lower the Gibbs free energy.
References:
- Tang, Z.; Yang, J.; Li, S.; Wu, Z.; Mondal, A. K. Anti-Swellable, Stretchable, Self-Healable, Shape-Memory and Supramolecular Conductive TA-Based Hydrogels for Amphibious Motion Sensors. European Polymer Journal 2024, 211, 113034. [Electronic resource] URL: https://doi.org/https://doi.org/10.1016/j.eurpolymj.2024.113034.
- Trobov Kh. et al. Kinetics of swelling of polyvinyl alcohol gel in solutions of organic acids and their salts // Sorption and chromatographic processes, 2021, Vol. 21, No. 6. – PP. 860–867. [In Russian]
- Tang, Z.; Yu, M.; Mondal, A. K.; Lin, X. Porous Scaffolds Based on Polydopamine/Chondroitin Sulfate/Polyvinyl Alcohol Composite Hydrogels. Polymers 2023, 15 (2). – PP. 271.
- Alam, M. A.; Debnath, A.; Tasnim, K. T.; Sarker, S. S.; Uddin, M. T.; Kamruzzaman, S.; Chowdhury, I. F.; Shawon, M. T. A.; Tang, Z.; Mondal, A. K. Facile Strategy of Fe3+ Rich Collagen-Based Composite Hydrogel for Antibacterial, Electricity Harvesting and Sensing Applications. Materials Today Communications 2024, 41, 110391. [Electronic resource] URL: https://doi.org/https://doi.org/10.1016/j.mtcomm.2024.110391.
- Nagasawa M. Physical chemistry of polyelectrolyte solutions. Advances in chemical physics. Vol. 158. 2015. – PP. 291.
- Zagorodni A.A. Ion exchange materials: Properties and applications, Elsevier, 2007 – PP. 478.
- K. Sen Gupta /Ion Exchange in Environmental Processes. // JohnWiley & Sons, Inc. 2017. – PP. 491.
- Khokhlov, V. Yu. Thermodynamics of superequivalent sorption in multicomponent ion-exchange systems with amino acids / V. Yu. Khokhlov, O. Yu. Bashlykova, E.S. Trunaeva // Journal of Physical Chemistry. 2017. No. 4. - PP. 155-159. [In Russian]
- Chepkina E.F., Khokhlova O.N., Khokhlov V. Yu. Differentiating effect of solvent during non-exchange sorption of amino acids by ion exchangers. Sorption and chromatographic processes. 2019. Vol. 19. No. 4. - PP. 460-466. [In Russian]
- Vildanova R.R. Swelling and destruction of hydrogels based on chitosan and pectin and their modifications in aqueous solutions. Macromolecular compounds. Series B, 2023, Vol. 65, No. 1. - PP. 37–42. [In Russian]
- Starobinets G.L., Rakhmanko E.M., Mechkovsky S.A., Borshchenskaya T.I. Effect of the structure of water-ethanol binary solutions on the molecular sorption of potassium halides by sulf-polystyrene cation exchanger. Journal of Physical Chemistry, 2001. Vol. 75, No. 12. - PP. 1265-1274. [In Russian]
- Rudakov et al. Artifacts in the Kinetics of Swelling of Polymer Granules in Water-Alcohol Solutions and Their Interpretation. Sorption and Chromatographic Processes. 2011. Vol. 11, Issue 6. - PP. 880-886. [In Russian]
- Ferapontov N.B., Gorshkov V.I., Parbuzina L.R., Trobov H.T. et al. // React. Funct. Polym. 1999. Vol. 41. - PP. 213.
- Tokmachev M.G., Ferapontov N.B., Agapov I.O. Trobov Kh.T. (2018). The influence of polymer properties and solution composition on the distribution, properties, and amount of water in swollen ion exchangers. Colloid. magazine. Vol. 80. No. 1. – PP. 96-101.
- Gagarin A.N., Tokmachev M.G., Trobov H.T., Ferapontov N.B. Effect of ion hydration energy on the swelling degree of cross-linked polyvinyl alcohol gel. Russian Journal of Physical Chemistry, 2020, Vol. 94, No. 1. - PP. 82–88.
- Ivanov V.A., Karpyuk E.A., Gavlina O.T. The role of temperature dependence of the enthalpy of ion exchangeе and the prediction of the behavior of the ion exchange system. The journal is physical. Vol. 93, No.10. 2019. – PP. 1522-152819.
- Ivanov V. A., Karpyuk E. A. //Thermodynamics of ion exchange. Moscow 2016. – PP. 134.
/Ferapontov.files/image018.png)
/Ferapontov.files/image026.jpg)
/Ferapontov.files/image027.jpg)
/Ferapontov.files/image028.jpg)