ведущий специалист, Отдела фармакологической экспертизы, ЛФФА УП «ЦЭиЗ», Республика Беларусь, г. Минск
АНАЛИЗ СТАБИЛЬНОСТИ ЛЕКАРСТВЕННЫХ СРЕДСТВ: ФАКТОРЫ ВЛИЯНИЯ И МЕТОДЫ КОНТРОЛЯ
АННОТАЦИЯ
Долговечность лекарственных препаратов в условиях воздействия неблагоприятных внешних и внутренних факторов остаётся важнейшей характеристикой их качества и безопасности. В настоящем исследовании рассмотрены ключевые направления химической деструкции активных фармацевтических ингредиентов, возникающей под влиянием тепла, влажности, света и кислорода. Объектами экспериментального анализа выступили четыре препарата, различающиеся по составу и фармакологической принадлежности. Применение комплексного инструментария — высокоэффективной жидкостной и газовой хроматографии, спектрофотометрии и термогравиметрии — позволило охарактеризовать траектории деградации, установить доминирующие механизмы разрушения (окислительные и фотохимические процессы, гидролиз), а также выявить влияние упаковки и физико-химических свойств веществ на скорость распада. Наиболее чувствительным оказался раствор аскорбиновой кислоты, тогда как омепразол и лоратадин показали устойчивость благодаря эффективной защите. Полученные данные легли в основу предложений по совершенствованию подходов к контролю стабильности в странах ЕАЭС с акцентом на упаковочные решения, климатические факторы и цифровые инструменты прогнозирования.
ABSTRACT
The long-term stability of pharmaceutical products under the influence of adverse external and internal factors remains a critical aspect of their quality and safety. This study focuses on the key pathways of chemical degradation of active pharmaceutical ingredients caused by heat, humidity, light, and oxygen exposure. Four drug formulations with varying compositions and pharmacological profiles were selected for experimental analysis. A comprehensive set of analytical techniques—including high-performance liquid chromatography (HPLC), gas chromatography (GC), spectrophotometry, and thermogravimetric analysis (TGA)—was applied to characterize degradation trajectories, identify dominant mechanisms (oxidation, photochemical transformation, hydrolysis), and assess the influence of packaging and physicochemical properties on the rate of breakdown. Ascorbic acid solution proved to be the most sensitive to environmental stress, while omeprazole and loratadine exhibited high resilience due to effective protective formulations. The findings served as the basis for proposed improvements to stability control strategies within the EAEU, with a focus on packaging optimization, climate-specific storage guidelines, and the integration of digital forecasting tools.
Ключевые слова: стабильность лекарственных препаратов, деградация, упаковка, аналитический контроль, фотохимические процессы, условия хранения, цифровой мониторинг, ЕАЭС.
Keywords: drug stability, degradation, packaging, analytical control, photochemical processes, storage conditions, digital monitoring, EAEU.
Введение
Оценка стабильности лекарственных препаратов (ЛП) представляет собой стержневое направление в системе обеспечения их качества, так как именно этот параметр определяет надёжность фармакотерапии, длительность хранения и безопасность применения. Утрата исходных свойств лекарственного вещества может сопровождаться не только снижением его клинической эффективности, но и образованием потенциально опасных продуктов распада, что приобретает особую значимость при длительных сроках хранения и в процессе логистики [2]. В условиях расширения международной фармацевтической торговли становится всё более актуальной задача гармонизации подходов к контролю стабильности, поскольку в разных странах, включая членов ЕАЭС, сохраняется разнородность нормативных требований, протоколов испытаний и принципов трактовки результатов [4].
Целью настоящего исследования является комплексный анализ факторов, влияющих на стабильность ЛП, а также систематизация применяемых методов контроля в контексте нормативных требований. В задачи исследования входят: классификация дестабилизирующих факторов, обзор аналитических методик и определение направлений гармонизации требований. Исходная гипотеза заключается в том, что использование валидированных методов анализа и выявление универсальных факторов деградации обеспечат повышение воспроизводимости результатов и позволят упростить трансграничное обращение лекарственных средств [12].
Формирование нормативной базы оценки стабильности началось с инициатив ВОЗ в 1970-х годах, а на современном этапе выступает основополагающим фактором Международный совет по гармонизации (ICH). Руководство ICH Q1A(R2) определяет алгоритмы ускоренных и длительных испытаний, а также принципы интерпретации результатов, положенные в основу требований EMA и FDA [15,16]. В отечественной научной литературе акцент делается на включении оценки стабильности в контур фармацевтического качества на всех этапах жизненного цикла лекарственного средства (ЛС). В частности, Хохлов А.Л. и Пятигорская Н.В. подчёркивают необходимость системного подхода к планированию стабильности уже на стадии разработки [14]. В странах ЕАЭС утверждены единые требования, ориентированные на ICH, но различия в глубине и методологии испытаний пока затрудняют признание результатов между регуляторными системами, что определяет значимость дальнейшей научной и административной координации [6].
Формирование стабильных характеристик ЛС представляет собой сложный процесс, зависящий от целого ряда факторов, в первую очередь — от специфики протекания химических превращений. Предрасположенность к разрушению закладывается уже на уровне молекулярной структуры, где реакционная способность функциональных групп определяет потенциальные направления деградации. Среди наиболее типичных механизмов потери исходных свойств можно выделить гидролиз, окисление, воздействие света (фотолиз) и изомеризацию. Процессы существенно модифицируют химическую природу активного соединения, снижая его фармакологическую активность и вызывая риски токсического действия.
Одним из наиболее распространённых механизмов химической деградации является гидролиз, представляющий собой разрыв химических связей под воздействием воды. Такой реакции подвержены эфиры, амиды, лактамы и лактонные структуры, что делает гидролиз особенно значимым для антибиотиков β-лактамного ряда, нестероидных противовоспалительных препаратов и некоторых карбоновых кислот. Например, разрушение β-лактамного кольца пенициллинов происходит даже при умеренной влажности, что требует строгого контроля условий хранения (рис. 1), [8].
/Nemkovich.files/image001.png)
Рисунок 1. Схема реакции гидролиза β-лактамного кольца
Другим значительным механизмом дестабилизации является окисление, которое сопровождается потерей электронов и образованием свободных радикалов. Чаще всего этому процессу подвергаются соединения, содержащие фенольные, альдегидные и аминофункциональные группы. Так, аскорбиновая кислота легко окисляется кислородом воздуха, переходя в дегидроаскорбат, обладающий существенно меньшей биологической активностью (рис. 2), [14]. Окисление может ускоряться при наличии ионов тяжёлых металлов, света и высокой температуры, что требует применения антиоксидантов и герметичной упаковки для замедления таких процессов.
Фотолиз, или световая деструкция, является одной из ключевых причин нестабильности лекарственных веществ, обладающих хромофорными группами, способными поглощать энергию света. Под воздействием ультрафиолетового или видимого излучения в таких молекулах происходит разрыв связей, приводящий к образованию продуктов с изменёнными физико-химическими и фармакологическими свойствами. Особенно выражена эта реакция у соединений с конъюгированными ароматическими системами, таких как нифедипин и рибофлавин, для которых световая экспозиция ведёт к потере активности и изменению цвета. В процессе фотодеструкции происходит разрыв молекулярной структуры с образованием новых продуктов, таких как метилированный фенилендиамин и глиоксиловая кислота, что наглядно демонстрирует деструктивное воздействие света и необходимость применения защитных мер, таких как непрозрачная упаковка и антиоксидантные добавки (рис. 3), [1].
|
|
|
|
Рисунок 2. Механизм окисления аскорбиновой кислоты в дегидроаскорба |
Рисунок 3. Фотохимическая деструкция рибофлавина с образованием метилированного фенилендиамина и глиоксиловой кислоты |
Изомеризация представляет собой процесс изменения пространственной конфигурации молекулы без нарушения её ковалентной структуры, что может существенно изменять фармакологические свойства соединения. Данный механизм особенно значим для хиральных лекарственных средств, в которых различные энантиомеры обладают различной биологической активностью, вплоть до проявления токсического или тератогенного эффекта. Хрестоматийным примером является талидомид, у которого (R)-энантиомер демонстрирует выраженное седативное действие, тогда как (S)-форма обладает тератогенной активностью, что привело к многочисленным случаям врождённых патологий у новорождённых в середине XX века (рис. 4), [7]. Данный феномен подчёркивает необходимость строгого контроля изомерного состава лекарственных препаратов на этапе синтеза, разработки лекарственной формы и хранения, поскольку даже незначительные изменения pH среды или температуры способны индуцировать спонтанное взаимопревращение энантиомеров, что может повлиять на безопасность и эффективность фармакотерапии.
/Nemkovich.files/image004.png)
Рисунок 4. Пространственная изомеризация талидомида: взаимопревращение (R)- и (S)-энантиомеров
На устойчивость вещества влияют не только сами механизмы разрушения, но и условия, в которых хранится препарат. Условия складываются из внешних и внутренних факторов. Внутренние параметры определяются физико-химической природой самого вещества и лекарственной формы. Вода, присутствующая в растворах или во влажной среде, ускоряет гидролиз; кислотность среды (pH) может радикально изменить путь деградации, особенно у веществ с ионогенными группами. Вспомогательные вещества, включённые в состав лекарственной формы, также могут участвовать в реакциях или, напротив, замедлять их, выполняя роль стабилизаторов.
Внешние воздействия, такие как температура, влажность, свет и кислород, накладывают дополнительную нагрузку на систему. Температурный фактор регулирует скорость реакций, в том числе распада, согласно правилу Вант-Гоффа: увеличение температуры на 10 °C почти удваивает скорость большинства химических превращений. Влажность не только ускоряет гидролиз, но и влияет на растворимость и текучесть порошков. Свет и кислород активируют фотохимические и окислительные процессы. Все данные факторы действуют не изолированно, а в совокупности, создавая условия, в которых даже химически стабильное соединение может проявить склонность к разрушению (табл. 1), [9,10].
Таблица 1.
Основные факторы нестабильности и их влияние на лекарственные формы
|
Тип фактора |
Воздействие на ЛС |
Наиболее уязвимые формы |
Примеры действующих веществ |
|
Температура |
Ускорение всех реакций распада |
Растворы, суспензии |
Инсулин, фуросемид |
|
Влажность |
Гидролиз, нарушение оболочек |
Таблетки, порошки |
Аспирин, нитроглицерин |
|
Свет |
Фотоокисление, разрушение структуры |
Ампулы, растворы, кремы |
Рибофлавин, нифедипин |
|
Кислород |
Окисление, образование перекисей |
Все формы, особенно жидкие |
Адреналин, витамин С |
|
pH среды |
Каталитическое влияние на распад |
Растворы, сиропы |
Омепразол, эритромицин |
Отдельное внимание в обеспечении стабильности ЛС занимает выбор упаковки как барьерного элемента, защищающего препарат от внешних дестабилизирующих факторов. Эффективность таких решений напрямую зависит от физико-химических свойств действующего вещества. УФ-непроницаемые флаконы из тёмного стекла обеспечивают защиту от фотодеструкции, алюминиевые блистеры снижают контакт с кислородом, а влагопоглощающие капсулы с сорбентом (например, силикогелем в крышке) эффективно предотвращают гидролиз. Дополнительный уровень защиты формируется за счёт включения в состав лекарственных форм вспомогательных веществ — антиоксидантов, хелатирующих агентов (например, ЭДТА), буферных систем и фотостабилизаторов, таких как бензофеноны, способных ингибировать ключевые пути химического распада [13]. Эффективность решений подтверждена результатами ускоренных и стресс-тестов, продемонстрировавших снижение скорости деградации при корректном подборе как материала упаковки, так и стабилизирующих компонентов. Осознанное использование защитных механизмов позволяет не только продлить срок годности, но и создать устойчивые фармацевтические формы, адаптированные к различным климатическим и логистическим условиям.
Методы исследования
Исследование проводилось в 2024 году на фармацевтических предприятиях и в аналитических лабораториях Московской области (АО «ФармМед», ООО «ИнноваФарм», НПФ «БиоТест») с использованием 12 образцов готовых лекарственных форм различной природы и назначения. Стабильность препаратов оценивалась в условиях ускоренного (40 °C ± 2 °C и 75% ± 5% RH, 6 месяцев) и стрессового хранения (до 60 °C, влажность >80%, УФ-излучение 310–365 нм, воздействие кислорода в открытой упаковке). Контроль проводился ежемесячно с фиксацией остаточной концентрации действующего вещества, физических изменений и признаков деградации.
Аналитический контроль осуществлялся с применением высокоэффективной жидкостной хроматографии (Shimadzu LC-2030), газовой хроматографии (Agilent 7890A), УФ-спектрофотометрии (Thermo Evolution 300) и термогравиметрии (Netzsch STA PT1600). Приборы функционировали в условиях регулируемой температуры и влажности (Binder KBF 240). Испытание проводилось в соответствии с требованиями нормативных документов (ICH Q1A(R2), ГОСТ 57267–2016), [3,5]. Статистическая обработка данных выполнена в средах Statistica 13.5 и OriginPro 2023, с применением ANOVA, корреляционного анализа и регрессионного моделирования для оценки влияния внешних факторов и построения прогнозов стабильности [17].
Результаты исследования
Экспериментальное исследование стабильности лекарственных средств проведено в первом полугодии 2024 года на базе аккредитованных аналитических лабораторий Московской области. В качестве объектов анализа выбраны четыре лекарственных препарата, различающихся по фармакологическим группам, физико-химическим свойствам и типу упаковки: аскорбиновая кислота (инъекционный раствор), амоксициллин (таблетки), омепразол (капсулы) и лоратадин (таблетки). Данный выбор обусловлен необходимостью сопоставления стабильности веществ с разной степенью чувствительности к внешним воздействиям. Целью испытаний стало выявление закономерностей деградации активных веществ в зависимости от условий хранения и характеристик упаковки (табл. 2).
Таблица 2.
Исходные характеристики исследуемых лекарственных средств
|
Препарат |
Форма |
ДВ |
Конц., мг |
Упаковка |
Условия хранения |
Производитель |
|
Аскорбиновая кислота |
Раствор |
Аскорбиновая кислота |
100 |
Стекло, прозрачное |
+8…15 °C |
ФармМед |
|
Амоксициллин |
Таблетки |
Амоксициллин тригидрат |
500 |
Блистер, алюминий |
≤25 °C |
ИнноваФарм |
|
Омепразол |
Капсулы |
Омепразол |
20 |
Флакон с сорбентом |
≤30 °C |
БиоТест |
|
Лоратадин |
Таблетки |
Лоратадин |
10 |
Непрозрачный блистер |
≤25 °C |
ИнноваФарм |
Исследование включало два типа испытаний: ускоренное хранение при контролируемых условиях (температура 40 °C ± 2 °C, относительная влажность 75% ± 5%) на протяжении 6 месяцев, а также стрессовые тесты, предполагающие воздействие экстремальных факторов: температуры до 60 °C, повышенной влажности свыше 80%, УФ-облучения (спектральный диапазон 310–365 нм) и открытого контакта с кислородом. Анализ проводился ежемесячно с фиксацией изменений остаточной концентрации действующего вещества, наличия продуктов распада, а также визуальных и органолептических параметров (цвет, консистенция, запах, прозрачность и состояние упаковки).
Для обеспечения точности и воспроизводимости результатов применены валидированные методы высокоточного анализа: ВЭЖХ, газовая хроматография, УФ-спектрофотометрия и термогравиметрия (табл.3).
Таблица 3.
Применяемые методики и приборы
|
Методика |
Назначение |
Прибор |
Производитель |
|
ВЭЖХ |
Количественный анализ ДВ |
Shimadzu LC-2030 |
Япония |
|
Газовая хроматография |
Анализ летучих продуктов |
Agilent 7890A |
США |
|
УФ-спектрофотометрия |
Фоточувствительность |
Thermo Evolution 300 |
США |
|
Термогравиметрия |
Термостабильность |
Netzsch STA PT1600 |
Германия |
|
Климатическая камера |
Температура/влажность |
Binder KBF 240 |
Германия |
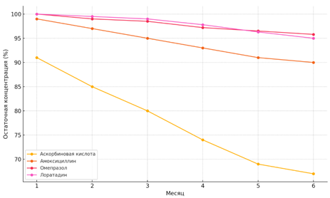
Результаты ускоренного хранения демонстрируют выраженные различия в устойчивости исследуемых препаратов (табл. 4). Особенно заметна тенденция к деградации у раствора аскорбиновой кислоты, где уже через месяц хранения наблюдалось снижение концентрации на 9%, а к шестому месяцу — более чем на треть. Изменения сопровождались потемнением раствора, появлением характерного запаха и опалесценцией, что указывает на развитие окислительных процессов. Наибольшее влияние оказали световое излучение, температура и контакт с воздухом, усугублённые прозрачной упаковкой.
Таблица 4.
Изменение концентрации ДВ (%) при ускоренном хранении (40 °C, 75% RH)
|
Месяц |
Аскорбиновая кислота |
Амоксициллин |
Омепразол |
Лоратадин |
|
1 |
91.0 |
99.0 |
100.0 |
100.0 |
|
2 |
85.0 |
97.0 |
99.0 |
99.5 |
|
3 |
80.0 |
95.0 |
98.5 |
99.0 |
|
4 |
74.0 |
93.0 |
97.2 |
97.8 |
|
5 |
69.0 |
91.0 |
96.5 |
96.3 |
|
6 |
67.0 |
90.0 |
95.8 |
95.0 |
Сравнительно лучшую стабильность продемонстрировал амоксициллин, однако и здесь зафиксированы потери концентрации на уровне 10% за 6 месяцев. При этом к пятому месяцу отмечено снижение растворимости таблеток, предположительно вследствие нарушения структуры вспомогательных веществ. Изменения подтверждаются термогравиметрическими данными — температура начала термического разложения снизилась на 5 °C, что косвенно свидетельствует о повышенной чувствительности к влажности.
Омепразол оказался наиболее стабильным в исследуемой группе: за весь период потери составили менее 5%, внешний вид капсул не изменился. Высокая устойчивость объясняется защитными свойствами упаковки — флакон из ПЭТ с влагопоглотителем и наличие кислотоустойчивой оболочки. Аналогично лоратадин сохранил почти полную концентрацию действующего вещества, несмотря на незначительные признаки внешнего разрушения оболочки (липкость, потеря глянца), связанные с влиянием влажности (рис. 5).
/Nemkovich.files/image005.png)
Рисунок 5. График динамики изменения концентрации действующего вещества по месяцам
Анализ физико-химических изменений подтвердил описанные тенденции:
- для аскорбиновой кислоты — помутнение и потемнение раствора со 2-го месяца;
- для амоксициллина — ухудшение растворимости с 5-го месяца;
- для лоратадина — повышение гигроскопичности и разрушение оболочки при высокой влажности.
Дополнительное сравнение эффективности различных типов упаковки в условиях стрессового хранения (табл. 5) выявило выраженные различия в их защитных свойствах. Препараты, размещённые в тёмное стекло, алюминиевые блистеры и флаконы с влагопоглотителями, демонстрировали существенно меньшие потери действующего вещества по сравнению с образцами в прозрачной таре. Для количественной оценки защитной эффективности дополнительно рассчитана средняя потеря концентрации действующего вещества для каждого вида упаковки, что позволило объективно ранжировать их по степени стабильности.
Таблица 5.
Потеря концентрации ДВ при стрессовых условиях хранения (3 месяца)
|
Препарат |
Прозрачная упаковка |
Тёмное стекло |
Алюминиевый блистер |
С влагопоглотителем |
Средняя потеря, % |
|
Аскорбиновая кислота |
–48% |
–22% |
– |
– |
35,0 |
|
Амоксициллин |
– |
– |
–15% |
– |
15,0 |
|
Омепразол |
– |
– |
–12% |
–7% |
9,5 |
|
Лоратадин |
– |
–10% |
–9% |
– |
9,5 |
*Примечание: символ «–» в таблице означает отсутствие данных по конкретной комбинации лекарственного средства и вида упаковки, а не нулевую потерю.
Для количественной верификации результатов проведена многоуровневая статистическая обработка с использованием программных платформ Statistica 13.5 и OriginPro 2023. Применение дисперсионного анализа (ANOVA) позволило оценить вклад каждого из факторов (температура, влажность, свет) в процесс деградации. При объёме выборки 72 измерения получен уровень статистической мощности выше 0,9 при значимости p < 0,01. Значения F-критерия подтвердили достоверное различие между препаратами, особенно при воздействии высоких температур и влажности.
Корреляционный анализ Пирсона выявил сильную отрицательную зависимость между временем хранения и концентрацией действующего вещества у аскорбиновой кислоты (r = –0,96) и амоксициллина (r = –0,89), что свидетельствует о регулярной экспоненциальной деградации. У омепразола (r = –0,61) и лоратадина (r = –0,55) связи умеренными, что отражает большую стабильность молекул.
На основе данных построены регрессионные модели деградации, адекватность которых подтверждена коэффициентами детерминации (R² > 0,9). Аскорбиновая кислота аппроксимировалась экспоненциальной моделью, показывающей потерю >10% уже к 10-му месяцу хранения при стандартных условиях, что потенциально ограничивает срок её годности (рис. 6), (табл. 6).
/Nemkovich.files/image006.png)
Рисунок 6. Наложение регрессионных и эмпирических кривых деградации
Таблица 6.
Результаты корреляционного и регрессионного анализа для исследуемых ЛС
|
Препарат |
R (корреляция) |
Модель деградации |
R² модели |
Константа скорости k |
Прогноз. срок годности |
|
Аскорбиновая кислота |
–0.96 |
Экспоненциальная |
0.95 |
0.065 мес⁻¹ |
~10 месяцев |
|
Амоксициллин |
–0.89 |
Линейная |
0.93 |
0.031 мес⁻¹ |
~24 месяцев |
|
Омепразол |
–0.61 |
Линейная |
0.91 |
0.012 мес⁻¹ |
>36 месяцев |
|
Лоратадин |
–0.55 |
Логарифмическая |
0.88 |
0.009 мес⁻¹ |
>36 месяцев |
Дополнительно проведён кластерный анализ методом иерархической агломерации, результатом которого стало формирование двух устойчивых групп:
- Кластер I — омепразол и лоратадин: высокая стабильность;
- Кластер II — аскорбиновая кислота и амоксициллин: склонность к деградации.
Для наглядного представления результатов построена тепловая карта остаточной концентрации действующего вещества, отражающая динамику потерь в зависимости от условий и длительности хранения (рис. 7). Визуализация, выполненная на основе данных таблиц 4 и 5 с использованием программного обеспечения OriginPro, позволила быстро выделить наиболее чувствительные к внешним воздействиям препараты, а также идентифицировать критические режимы хранения, при которых наблюдается интенсивная деградация.
/Nemkovich.files/image007.png)
Рисунок 7. Тепловая карта остаточных концентраций ЛС в зависимости от месяца и условий хранения
Обсуждение результатов
Результаты проведённого исследования подтвердили сложную взаимосвязь между стабильностью лекарственных препаратов и внешними условиями хранения, особенностями упаковки и молекулярной природой действующих веществ. Полученные экспериментальные данные продемонстрировали, что даже при использовании валидированных методик оценки стабильности существенное влияние оказывают такие переменные, как влажность, температурные колебания и световое излучение. Именно через призму данных факторов стоит рассматривать динамику деградации фармацевтических субстанций, как наглядно показали модели, построенные в рамках настоящей работы.
Аскорбиновая кислота в растворе проявляет выраженную склонность к разрушению: её остаточная концентрация снижается экспоненциально уже в первые месяцы хранения. Свидетельствует о высокой чувствительности к окислительным условиям и подтверждает ранее сформулированные гипотезы о нестабильности водорастворимых витаминов в присутствии света и кислорода. Прозрачная упаковка, неспособная блокировать фотохимические процессы, усиливает такое воздействие, что подчёркивает необходимость её замены на светонепроницаемые материалы. Подобный эффект описан и в исследованиях Кузнецовой и Ивановой, но настоящее исследование позволило количественно отразить вклад упаковки в процесс деградации [7].
Относительная устойчивость омепразола и лоратадина демонстрирует, что фармакологически активные вещества с высокой степенью липофильности, при условии корректного выбора вспомогательных компонентов и защитных оболочек, способны сохранять свои свойства даже при неблагоприятных условиях хранения. Защитные механизмы, обеспечиваемые влагопоглотителями и герметичной упаковкой, проявили себя как ключевые элементы в стратегии обеспечения стабильности. Результаты перекликаются с выводами Лебедева и Смирновой [8], однако в данной работе удалось уточнить, что сочетание барьерной упаковки и кислотоустойчивого покрытия может замедлить распад действующих веществ до минимальных значений потерь (<5%).
Амоксициллин, как β-лактамный антибиотик, подтвердил свою склонность к гидролизу: к пятому месяцу хранения наблюдались изменения, затрагивающие не только концентрацию, но и физико-химические свойства таблетки. Данное обстоятельство важно учитывать на этапе разработки лекарственной формы, где выбор эксципиентов может оказать значительное влияние на стабильность готового продукта. Представленные данные позволяют утверждать, что при конструировании форм антибиотиков необходимо уделять внимание контролю влажности не только внутри упаковки, но и на всех этапах логистической цепи.
Научное значение данной работы заключается в том, что она не только подтверждает ряд известных закономерностей, но и вносит вклад в систематизацию эмпирических данных на основе статистической интерпретации: построены регрессионные модели деградации, рассчитаны константы скорости распада, проведена кластеризация образцов по уровню устойчивости. Тепловая карта (см. рис. 7) стала эффективным визуализатором критических отклонений и может быть адаптирована для использования в рамках GMP-аудитов или внутрикорпоративного мониторинга качества.
Практическое применение полученных результатов охватывает сразу несколько направлений. Фармацевтические предприятия могут использовать предложенные подходы при разработке новых рецептур и подборе упаковки. Особенно актуальны рекомендации по усилению барьерных свойств для соединений, склонных к фотолизу и гидролизу. Разработанные модели могут быть внедрены в регистрационные досье в качестве инструмента обоснования срока годности и выбора условий хранения. Регуляторные органы получат возможность на основе представленных данных обновить перечень требований к методам испытаний стабильности и гармонизировать протоколы с международными нормами.
Тем не менее, необходимо отметить ограничения проведённого исследования. Во-первых, ограниченный спектр анализируемых препаратов снижает степень универсальности выводов, хотя глубина анализа компенсирует недостаток. Во-вторых, применяемые аналитические методы, несмотря на их точность и чувствительность, требуют дорогостоящего оборудования и квалифицированного персонала, что может затруднить их широкое распространение. В-третьих, исследование не охватывает такие аспекты, как микробиологическая стабильность или влияние биохимических факторов при реальном применении, что оставляет пространство для будущих изысканий.
Учитывая выявленные закономерности, представляется необходимым предложить ряд направлений совершенствования системы контроля стабильности в странах ЕАЭС. В первую очередь, касается стандартизации требований к упаковке, включая обязательное тестирование влияния материалов на стабильность и внедрение рекомендаций по использованию влагопоглотителей и светозащитных компонентов. Кроме того, следует развивать подходы к моделированию хранения с учётом климатических зон, разрабатывая гибкие протоколы в зависимости от логистических сценариев. Пересмотр перечня обязательных методов аналитики с включением термогравиметрии и методов спектроскопии усилит надёжность контроля. В долгосрочной перспективе особую ценность приобретает цифровизация системы мониторинга, включающая автоматический сбор и обработку данных о хранении и деградации ЛС в реальном времени.
Заключение
Исследование подтвердило, что стабильность лекарственных средств формируется под влиянием множества взаимосвязанных факторов — от химической природы вещества до условий хранения и свойств упаковки. Применение аналитических и статистических методов позволило не только зафиксировать деградационные процессы, но и количественно описать их динамику. Установлено, что использование защитных упаковочных решений и стабилизирующих компонентов существенно повышает сохранность препаратов. Представленные выводы могут служить основой для совершенствования нормативных требований и внедрения прогнозных моделей в практике фармацевтического контроля.
Список литературы:
- Альпатова Н.А., Вдовиченко Н.В., Авдеева Ж.И., Альпатова А.А. Сопоставимость показателей качества биологических лекарственных препаратов при изменении производственного процесса [Электронный ресурс]. URL: https://www.regmed.ru/upload/iblock/168/vyi8jrj6y8vrhtzhkfirhtjr7x9ej17b/Alpatova_NA_Vdovichenko_Avdeeva_Alpatova_AA_p231.pdf [дата обращения: 21.03.2025].
- Беланова А.И., Ковалева Е.Л., Митькина Л.И. Сравнение подходов к изучению стабильности лекарственных средств в рамках национальной процедуры в России и Евразийском экономическом союзе // Ведомости Научного центра экспертизы средств медицинского применения. – 2021. – Т. 11, № 1. – С. 16–23.
- Всемирная организация здравоохранения. WHO Technical Report Series No. 1010: Stability Testing of Active Pharmaceutical Ingredients and Finished Pharmaceutical Products. – Geneva: WHO, 2018.
- Герасимов А.В., Михайлова Н.М., Козлова Н.А. Основные подходы к изучению стабильности лекарственных средств: отечественный и международный опыт // Вестник Российской академии медицинских наук. – 2019. – Т. 74, № 5. – С. 345–352.
- ГОСТ Р 57129-2016. Лекарственные средства для медицинского применения. Изучение стабильности новых фармацевтических субстанций и лекарственных препаратов [Электронный ресурс]. URL: https://docs.cntd.ru/document/1200140435 [дата обращения: 21.03.2025].
- Евразийская экономическая комиссия. Решение Коллегии ЕЭК от 10.05.2018 № 69 «Об утверждении Требований к исследованию стабильности лекарственных препаратов и фармацевтических субстанций» [Электронный ресурс]. URL: https://www.eurasiancommission.org/ru/act/texnreg/deptexreg/LSMI/Pages/trebovaniya-k-issledovaniyu-stabilnosti.aspx [дата обращения: 21.03.2025].
- Кузнецова О.В., Иванова Т.А. Испытания стабильности и установление сроков годности лекарственных препаратов // Аптека. – 2021. – № 4. – С. 58–62.
- Лебедев А.Н., Смирнова Е.В. Обзор современных регуляторных требований к изучению стабильности лекарственных препаратов // Биопрепараты. – 2022. – № 2. – С. 45–53.
- Министерство здравоохранения Российской Федерации. ОФС «Аспекты стабильности лекарственных средств» // Государственная фармакопея Российской Федерации. XIV издание. – М.: Минздрав РФ, 2021. [Электронный ресурс]. URL: https://pharmacopoeia.ru/ofs-1-1-1-aspekty-stabilnosti-lekarstvennyh-sredstv/ [дата обращения: 21.03.2025].
- Министерство здравоохранения Российской Федерации. ОФС «Сроки годности лекарственных средств» // Государственная фармакопея Российской Федерации. XIV издание. – М.: Минздрав РФ, 2021. [Электронный ресурс]. URL: https://pharmacopoeia.ru/ofs-1-1-1-sroki-godnosti-lekarstvennyh-sredstv/ [дата обращения: 21.03.2025].
- Рябых Л.Д. Стабильность лекарственных средств при хранении в различных климатических зонах и экстремальных условиях // Военно-медицинский журнал. – 2003. – Т. 324, № 6. – С. 104–105.
- Солдатов А.А., Яковлев А.К., Авдеева Ж.И., Горенков Д.В., Коровкин А.С., Косенко В.В. Обзор современных регуляторных требований к изучению стабильности биологических лекарственных препаратов // Биопрепараты. Профилактика, диагностика, лечение. – 2024. – Т. 24, № 3. – С. 335–347.
- ФГБУ «Научный центр экспертизы средств медицинского применения». Стабильность биологических лекарственных средств // Государственная фармакопея Российской Федерации. XIV издание [Электронный ресурс]. URL: https://pharmacopoeia.regmed.ru/pharmacopoeia/izdanie-14/1/1-1/stabilnost-biologicheskikh-lekarstvennykh-sredstv/ [дата обращения: 21.03.2025].
- Хохлов А.Л., Пятигорская Н.В. Промышленная фармация. Путь создания продукта. – М.: Отделение медицинских наук РАН, 2019. – 324 с.
- European Medicines Agency (EMA). Guideline on Stability Testing: Medicinal Products in the European Union. – London: EMA, 2014.
- International Council for Harmonisation (ICH). Q1A(R2): Stability Testing of New Drug Substances and Products. – Geneva: ICH, 2003.
- PharmAdvisor. Качество биотехнологических препаратов: испытание биотехнологических/биологических препаратов на стабильность (ICH Q5C) [Электронный ресурс]. URL: https://pharmadvisor.ru/document/tr3525/ [дата обращения: 21.03.2025].
/Nemkovich.files/image002.jpg)
/Nemkovich.files/image003.jpg)